Introduction
to
Machine Learning
Tyson Thomas
tysonthomas.90@gmail.com
About Me
Currently Software Architect at
Kadima Consulting
BE ECE - CMRIT
2008-12
Co-Founder of
"Machine Learning is the field of study that gives computers the ability to learn without being explicitly programmed."
- Arthur Samuel
Types of Machine Learning

Applications
- Detecting spam emails
- Forecasting stock prices
- Recognizing objects in an image
- Diagnosis of illness
- Self-driving cars
Deep Learning
Neural Networks
Vaugley mimics the process of how the brain operates with neurons that fire bits of information

Neural network that recognizes images of a cat

Example Classification Problem

Example Classification Problem - Solution



Classification Problem - Mathematical Representation

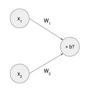
A Neuron classifying a data point into two kinds


Mathematical Representation of a single neuron

A neuron classifies any data point into one of two kinds

Using a single neuron to perform image recognition
28 Pixels * 28 Pixels = 784 Total Pixels

Training Dataset

Classification of an image as 8 or not?

Weights Distribution

How are the parameters determined?
(weights & biases)
- Backpropagation
- Gradient Descent
Deep Neural Networks

Classification Problem - 2

Classification Problem - 2


Feature Space Representation
A hidden layer transforms inputs to feature space, making it linearly classifiable

Neural network can extract insights from (seemingly) random signals

Classification Problem - 3

Classification Problem - 3

Deep Convolutional Neural Networks
Real World
Examples

Self Driving Car in Arizona, USA
Shopping Technology
Google DeepMind
Alpha Go


Alpha Go Zero using
Reinforcement Learning
Google Deep Mind reduces energy cost in datacenter

Locomotion Behaviours in Rich Environments
Getting into Machine Learning

Raspberry Pi + Intel Movidius Neural Chip

Nvidia Jetson
Resources
Questions?
Thank you
Tyson Thomas
tysonthomas.90@gmail.com
Machine Learning
By Tyson Thomas
Machine Learning
- 932