

Angie Vanessa Penagos Rios
Daniela Zuluaga Ocampo
IMPLEMENTACIÓN DE UN SISTEMA DE SIMULACIÓN PARA LA ESTIMACIÓN DEL IMPACTO DE LOS VEHÍCULOS ELÉCTRICOS SOBRE EL SISTEMA ELÉCTRICO EN LA CIUDAD DE PEREIRA








Objetivo general
Simular los niveles de energía consumida por vehículos eléctricos para
diferentes porcentajes de penetración en la ciudad de Pereira



Simulación de Monte-Carlo
Algoritmo que tiene como objetivo la generación de objetos o procesos aleatorios por medio de una computadora en objetos que pueden surgir naturalmente, esta puede ser usada como muestreo, estimación y optimización de modelos



Simulación de Monte-Carlo



Simulación de Monte-Carlo




Simulación de Monte-Carlo




Simulación de Monte-Carlo



Estructura
Ejemplo


Simulación de Monte-Carlo


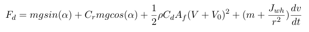
| Datos utilizados |
|---|
| Área frontal (m) |
| Radio rueda (m) |
| Momento de inercia |
| Coeficiente aredinámico |
| Coeficiente de rodadura |
| Masa del vehiculo (kg) |


Simulación de Monte-Carlo









Resultados



Resultados



Resultados



Resultados



Resultados



Resultados



Resultados



conclusiones
- En los resultados obtenidos se puede observar que la subestación eléctrica Dosquebradas es la que más energía deberá suministrar a la ciudad de Pereira.
- La simulación implementada establece que las sub-estaciones de distribución deben poder suplir los siguientes niveles de energía: 2.67E+14 W para Centro, 4.74E+14 W para Dosquebradas, 7.61E+13 W para Ventorrillo, 2.49E+14 W para Cuba y 1.15E+14 para Naranjito.
- Las subestaciones eléctricas que pertenecen a la ciudad de Pereira necesitarán suministrar más energía en la hora pico que corresponde al horario de 6:00 a 9:00 de la mañana.


Repositorio
https://github.com/Nany262/MonteCarlo-Simulation

Tesis ISC-UTP
By Vanessa Penagos
Tesis ISC-UTP
Presentación tesis para Ingeniería de Sistemas y Computación de la Universidad Tecnológica de Pereira
- 687