Addressing Measurement Invariance in Scales for PTSD Using Nonlinear Latent Variable Models
Veronica T. Cole
Center for Developmental Science, UNC-Chapel Hill
Department of Psychology, Wake Forest University
Symposium Title
Confirmatory Factor Analysis Models of PTSD:
A Critique and Some Best Practice Suggestions
Agenda
- A brief introduction to measurement invariance
-
Why should PTSD researchers care about measurement invariance?
- General consequences
- Measurement invariance in PTSD
- Modeling measurement using nonlinear factor models
- The Galveston Bay Recovery Study
- A brief introduction to measurement invariance
-
Why should PTSD researchers care about measurement invariance?
- General consequences
- Measurement invariance in PTSD
- Modeling measurement using nonlinear factor models
- The Galveston Bay Recovery Study
$$y_{i1}$$
$$y_{i2}$$
$$y_{i3}$$
$$\eta_{i1}$$
$$y_{i4}$$
$$y_{i5}$$
$$y_{i6}$$
$$\eta_{i2}$$
Confirmatory factor analysis
A key assumption
When we measure a latent variable with a set of items, these items measure the latent variable equally well for all subjects.
Millsap, 2012; Meredith, 1993
HACK : WRITING ::
TRUANT : SCHOOL
THIEF : PROPERTY
MERCENARY : WARFARE
CRIMINAL : FELONY
DEFENDANT : ACCUSATION
Curley & Schmitt, 1993
Example: SAT Analogies
$$y_{i1}$$
$$y_{i2}$$
$$y_{i3}$$
$$\eta_{i1}$$
$$y_{i4}$$
$$y_{i5}$$
$$y_{i6}$$
$$\eta_{i2}$$
Configural measurement invariance
Meredith, 1993
$$y_{i1}$$
$$y_{i2}$$
$$y_{i3}$$
$$\eta_{i1}$$
$$y_{i4}$$
$$y_{i5}$$
$$y_{i6}$$
$$\eta_{i2}$$
Weak metric invariance
Meredith, 1993
$$y_{i1}$$
$$y_{i2}$$
$$y_{i3}$$
$$\eta_{i1}$$
$$y_{i4}$$
$$y_{i5}$$
$$y_{i6}$$
$$\eta_{i2}$$
Strong metric invariance
Meredith, 1993

- A brief introduction to measurement invariance
-
Why should PTSD researchers care about measurement invariance?
- General consequences
- Measurement invariance in PTSD
- Modeling measurement using nonlinear factor models
- The Galveston Bay Recovery Study
(Why) do PTSD researchers care?
In order for the assumption of measurement invariance to be a concern for PTSD researchers, there needs to be evidence that...
- violations of this assumption undermine the validity of inferences in latent variable models
- this assumption is violated in current indices of PTSD
(Why) do PTSD researchers care?
In order for the assumption of measurement invariance to be a concern for PTSD researchers, there needs to be evidence that...
- violations of this assumption undermine the validity of inferences in latent variable models
- this assumption is violated in current indices of PTSD
Consequences of Violating MI Assumption: In Theory
In the absence of...
- configural invariance: no between-groups comparisons of any kind are possible.
- weak metric invariance: no between-groups comparisons of factor variances or covariances are possible.
- strong metric invariance: no between-groups comparisons of factor means are possible.
Meredith, 1993; Widaman & Reise, 1997; Vandenberg & Lance, 2000
Consequences of Violating MI Assumption: In Practice
- Configural invariance is absolutely necessary.
-
Partial weak and strong metric non-invariance may be tolerable.
-
Equivocal findings about unmodeled effects
- Factor score estimates are unbiased in some cases
- More severe bias in regression coefficients
- We will discuss methods of directly accommodating measurement non-invariance
-
Equivocal findings about unmodeled effects
Byrne, Shavelson, & Muthén, 1989; Chalmers, 2016; Curran et al., 2016, 2018
(Why) do PTSD researchers care?
In order for the assumption of measurement invariance to be a concern for PTSD researchers, there needs to be evidence that...
- violations of this assumption undermine the validity of inferences in latent variable models
- this assumption is violated in current indices of PTSD
(Why) do PTSD researchers care?
In order for the assumption of measurement invariance to be a concern for PTSD researchers, there needs to be evidence that...
- violations of this assumption undermine the validity of inferences in latent variable models
- this assumption is violated in current indices of PTSD
Measurement Invariance in PTSD
-
Males vs. females
- Minor non-invariance between male and female veterans
- More substantial non-invariance across male and female survivors of a broader range of traumas
-
Original vs. translated measures
- Some evidence that Spanish and English versions of PCL-C show metric invariance
- Minor differences in items, not consequential at scale level
-
Older vs. younger
- Particularly between age groups of children and adolescents
King et al., 1995; Chung & Breslau, 2008; Marshall, 2004; Orlando & Marshall, 2002; Miles et al., 2008; Contractor et al.,2013
Measurement Invariance in PTSD
-
Military deployment
- DTC is invariant across veterans from pre-Vietnam, Vietnam, and Iraq/Afghanistan
- Weak metric invariance for PCL in deployed vs. non-deployed
-
Country of origin
- Configural, but not metric, invariance of the HTC across asylum seekers from different global regions
- General factor structure assessed in a few refugee samples
- US-resettled refugees of Khmer Rouge
- Refugees from civil war in Sierra Leone, 2001-2006
McDonald et al., 2008; Mansfield et al., 2010; Rasmussen et al., 2016; Palmieri et al., 2007; Vinson & Chang, 2012
- A brief introduction to measurement invariance
-
Why should PTSD researchers care about measurement invariance?
- General consequences
- Measurement invariance in PTSD
- Modeling measurement using nonlinear factor models
- The Galveston Bay Recovery Study
$$y_{i1}$$
$$y_{i2}$$
$$y_{iJ}$$
...
$$\eta_{i}$$
$$x_{ip}$$
Directly modeling measurement non-invariance
Moderated nonlinear factor analysis (MNLFA) allows measurement parameters to be linear functions of the parameters, thus accommodating both impact and measurement non-invariance.
$$E\left(y_{ij}|\eta_i, x_{ip}\right) = g^{-1}\left(\lambda_{ij}\eta_i + \nu_{ij}\right)$$
$$\lambda_{ij} = \lambda_0 + \lambda_p x_{ip}$$
$$\nu_{ij} = \nu_0 + \nu_p x_{ip}$$
$$\eta_i \sim \left(\alpha_i,\psi_i\right)$$
$$\alpha_i = \alpha_0 + \alpha_p x_{ip}$$
Bauer & Hussong, 2009; Bauer, 2017
Automated MNLFA
$$y_{i1}$$
$$y_{i2}$$
$$y_{iJ}$$
...
$$\eta_{i}$$
$$x_{i1}$$
Gottfredson et al., 2018; Cole et al., 2018
- Used a data-driven search procedure to test each covariate for measurement non-invariance and impact.
- Procedure iterates through multiple models containing different combinations of measurement non-invariance
- Implemented via R package aMNLFA now on CRAN.
$$x_{i2}$$
.
.
.
$$x_{iP}$$
Automated MNLFA
$$y_{i1}$$
$$y_{i2}$$
$$y_{iJ}$$
...
$$\eta_{i}$$
$$x_{i1}$$
Gottfredson et al., 2018; Cole et al., 2018
- Used a data-driven search procedure to test each covariate for measurement non-invariance and impact.
- Procedure iterates through multiple models containing different combinations of measurement non-invariance
- Implemented via R package aMNLFA now on CRAN.
$$x_{i2}$$
.
.
.
$$x_{iP}$$
Automated MNLFA
$$y_{i1}$$
$$y_{i2}$$
$$y_{iJ}$$
...
$$\eta_{i}$$
$$x_{i1}$$
Gottfredson et al., 2018; Cole et al., 2018
- Used a data-driven search procedure to test each covariate for measurement non-invariance and impact.
- Procedure iterates through multiple models containing different combinations of measurement non-invariance
- Implemented via R package aMNLFA now on CRAN.
$$x_{i2}$$
.
.
.
$$x_{iP}$$
Automated MNLFA
$$y_{i1}$$
$$y_{i2}$$
$$y_{iJ}$$
...
$$\eta_{i}$$
$$x_{i1}$$
Gottfredson et al., 2018; Cole et al., 2018
- Used a data-driven search procedure to test each covariate for measurement non-invariance and impact.
- Procedure iterates through multiple models containing different combinations of measurement non-invariance
- Implemented via R package aMNLFA now on CRAN.
$$x_{i2}$$
.
.
.
$$x_{iP}$$
Automated MNLFA
$$y_{i1}$$
$$y_{i2}$$
$$y_{iJ}$$
...
$$\eta_{i}$$
$$x_{i1}$$
Gottfredson et al., 2018; Cole et al., 2018
- Used a data-driven search procedure to test each covariate for measurement non-invariance and impact.
- Procedure iterates through multiple models containing different combinations of measurement non-invariance
- Implemented via R package aMNLFA now on CRAN.
$$x_{i2}$$
.
.
.
$$x_{iP}$$
- A brief introduction to measurement invariance
-
Why should PTSD researchers care about measurement invariance?
- General consequences
- Measurement invariance in PTSD
- Modeling measurement using nonlinear factor models
- The Galveston Bay Recovery Study
Galveston Bay Recovery Study
- Study of experiences following Hurricane Ike, which hit the Galveston Bay on 9/13/2008
- N = 656 adult residents of Galveston and Chambers Counties
- First measured between 2 and 5 months after the hurricane
-
Demographics
- 15.5% Black; 11.1% Hispanic/Latinx
- 59.9% Female
- 38.3% over 55

PCL-C Re-Experiencing
- The PTSD Checklist Civilian Version (PCL-C) was administered at all three assessments
- Only considering the first time point here
- PCL-C pertains to "most traumatic" experience of subject's life
- Here we consider the re-experiencing factor due to its relatively stable structure
- Items assessed how much a given symptom bothered subject
- Measured on a five-point scale
- Not at all
- A little bit
- Moderately
- Quite a bit
- Extremely
- Final sample: N = 512
PCL-C Re-Experiencing
How much were you bothered by...
- Repeated, disturbing memories, thoughts, or images of this stressful experience?
- Repeated, disturbing dreams of this stressful experience
- Suddenly acting or feeling as if this stressful experience were happening again, as if you were reliving it?
- Feeling very upset when something reminded you of this stressful experience?
- Having physical reactions, for example, heart pounding, trouble breathing, sweating, when something reminded you of this stressful experience?
Analytic strategy
- Maximum likelihood for categorical outcomes
- Standard fit statistics not available
- Use WLSMV to test model without covariates
- Unidimensional model with one residual covariance showed adequate fit, \(\chi^2(4) = 19.328, RMSEA = .086, CFI = .99, TLI = .99)\)
- Accounted for complex sampling
- Subjects sampled from 77 segments in 5 strata, rated from most to least hurricane damage
- Sampling weights used in all analyses
- Three covariates: self-reported gender (male vs. female); age group; race/ethnicity
Memories
Re-Experiencing
Dreams
Reliving
Upset when Reminded
Physical Reaction
Male
Black
Hispanic
Age
Final Model
Memories
Re-Experiencing
Dreams
Reliving
Upset when Reminded
Physical Reaction
Male
Black
Hispanic
Age
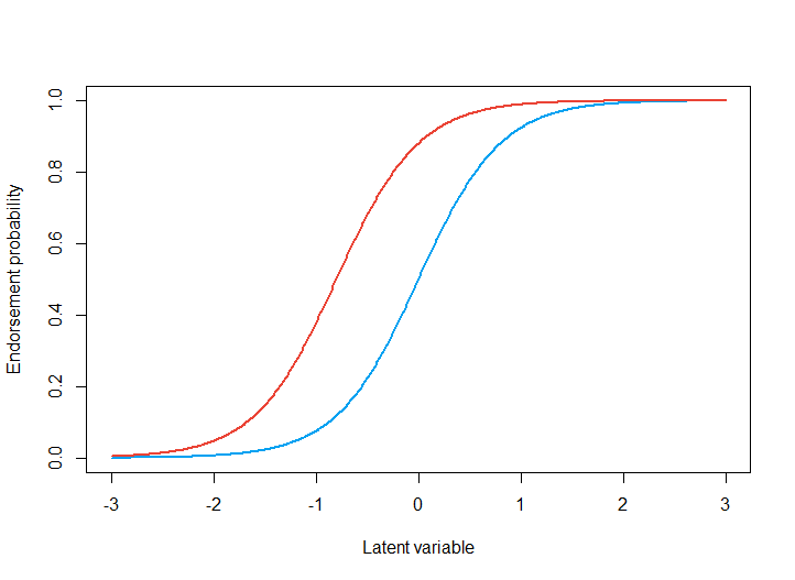
Age Non-Invariance: Memories

Gender Non-Invariance: Dreams

Conclusions
These results underscore an important rule about measurement non-invariance:
\[ \neq \]
statistically significant
practically meaningful
As in many of the prior studies, measurement non-invariance here likely would not cause scale scores to be particularly biased.
Conclusions
These results underscore an important rule about measurement non-invariance:
\[ \neq \]
statistically significant
practically meaningful
However...
- The age effect may be worthy of further investigation
- This group was largely homogeneous with regard to trauma type, so results may be stronger for others
- Potential confounding of memory and PTSD symptoms?
- This could be an interesting problem for explanatory IRT.
De Boeck & Wilson, 2004
Acknowledgements





Susan Ennett
Nisha Gottfredson
Andrea Hussong
Dan Bauer
Patrick Curran
Funding
F31 DA040334 (Fellow: Cole)
T32 HD007376 (PI: Hussong)
R01 DA034636 (PI: Bauer)
R01 DA037215 (PI: Hussong)


Thank you!
colev@wfu.edu
PTSD APS 05262019
By Veronica Cole
PTSD APS 05262019
- 432