Desenvolvimento de um Software de Ajuste de Curvas Aplicado à Dosimetria Interna

Aluno: Vinicius de Carvalho
Orientador: Prof. Ms. Thiago R. Claro

dez/2016

Roteiro

  • Introdução à Proteção Radiológica
    Exposição ocupacional, valor de limite de dose, programa de monitoração do IPEN
     
  • Dosimetria Interna
    Modelo compartimental, cálculo de dose
     
  • Ajuste de Curvas
    Interpolação polinomial, regressão linear, regressão log-linear
     
  • Desenvolvimento do Software
    Planejamento, arquitetura e funcionamento
     
  • Resultados, Conclusões e Trabalhos Futuros

Vinicius de Carvalho

[TGL] Dogg      |      Vini Dogg LL

• tgl_dogg@outlook.com

• github.com/tgl-dogg

• facebook.com/TGL_Dogg

Todo bom nerd tem sua toalha!

Proteção Radiológica

Radionuclídeos

  • Elementos Radioativos
    Césio-137, Iodo-131, Urânio-235, etc.

     
  • Detrimento Biológico
    Probabilidade de incidência de câncer, danos hereditários e redução da expectativa de vida (OKUNO, E.; YOSHIMURA E., 2010)

Proteção Radiológica

  • Exposição Ocupacional
    Manipulação de fontes não-seladas
     
  • Programa de monitoração do IPEN
    Medidas in vivo e in vitro
     
  • Valor limite de dose
    Limite anual de segurança (20 mSv por ano)

Problema

http://www.abc.net.au/news/2011-03-29/simpsons-nuke-episodes-no-laughing-matter/2638488

  • Exposição Ocupacional
    Riscos à saúde!

Problema

Sherlock Holmes - Speed Painting
https://www.youtube.com/watch?v=hSS6MSFxtZY

  • Procedimentos trabalhosos
    Trabalho de investigação
     
  • Quando? Quanto?
    Estimativas de dose

Ideia

+

Ciência da Computação

Pergunta

Como a Ciência da Computação pode auxiliar nas estimativas de data e dose em caso de contaminação?

Objetivo

Desenvolvimento de um software que auxilia nas estimativas de data e dose!

Objetivos Específicos

  • Implementação de métodos de ajuste de curva
    Aproximar medidas dos exames às curvas que representam os radionuclídeos
     
  • Elaboração de um programa de computador
    Utiliza o ajuste de curvas para estimar data de ocorrência e dose incorporada

Dosimetria Interna

Modelo Compartimental

Esquema de compartimentos e taxas de transferência

Regiões do sistema respiratório humano, adaptado da ICRP 66 (CLARO, 2011)

Compartimentos representam órgãos ou regiões do corpo humano

Modelo Compartimental

Esquema de compartimentos e taxas de transferência

Modelo compartimental para o trato respiratório, adaptado da ICRP 78 (CLARO, 2011)

Representação Matemática

  • Taxas de transferência constantes
    Bem conhecidas das publicações da ICRP
     
  • Sistema de EDO
    Rosenbrock, Runge-Kutta, etc. (MINGATOS, 2015)

Dada a dose inicial, existem maneiras de calcular a retenção e eliminação de cada compartimento em função do tempo!

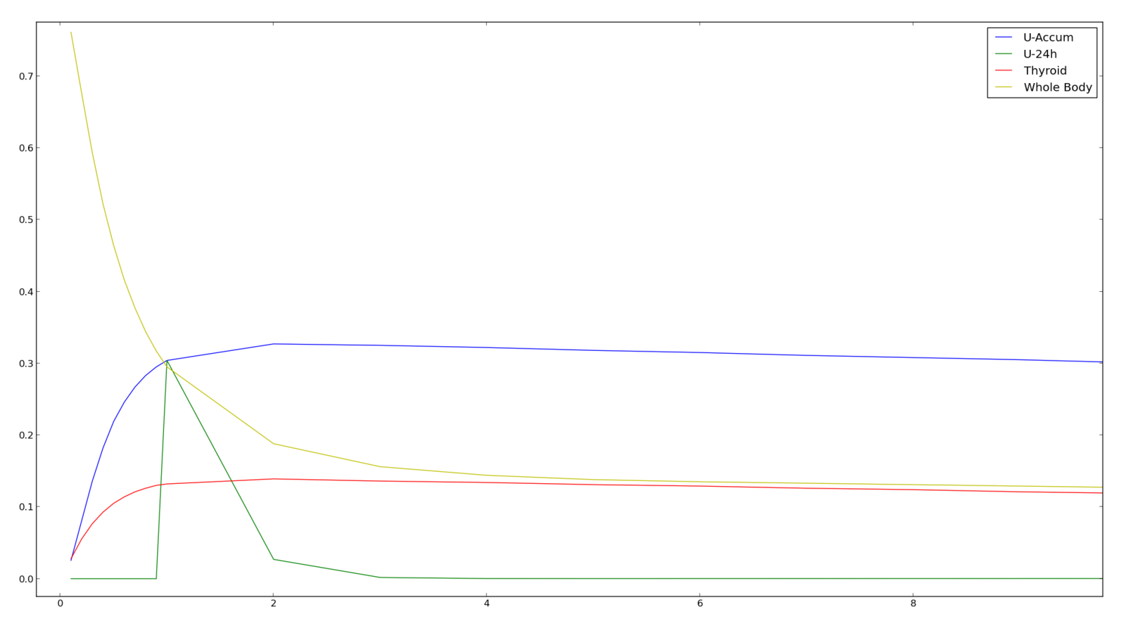
Representação Matemática

Curvas do modelo compartimental para o Iodo, geradas a partir de uma base de dados do IPEN

Problema

Dados os valores das medidas experimentais, como estimar a data e dose inicial da contaminação?

Ajuste de Curvas

Estratégia

  • Curvas com comportamento conhecido
    Publicações da ICRP
     
  • Valores das medidas experimentais
    Resultados dos exames dos indivíduos

Ajustar os pontos das medidas experimentais em uma curva que tem comportamento conhecido para estimar o valor e a data iniciais

Ajuste de Curvas Polinomial

 Permite a construção de um novo conjunto de dados a partir de um conjunto previamente conhecido.
(adaptado de: BURDEN; FAIRES, 2011)
 

  • Métodos clássicos
    Polinômio de Lagrage, de Newton, de Hermite e Splines Cúbicos
     
  • Método dos Mínimos Quadrados
    Redução de erro diminuindo a soma dos quadrados das diferenças entre os valores observados e os valores estimados

Ajuste de Curvas Exponencial

  • Curvas desejadas são curvas exponenciais
     
  • Regressão log-linear
    Aplicação do Método dos Mínimos Quadrados utilizando o logaritmo da imagem dos pontos conhecidos

ln y = mx + c

Desenvolvimento do Software

Levantamento de Requisitos

  • Estudo de viabilidade dos algoritmos
    Ajuste de curva
     
  • Trabalhos relacionados
    Mestrado de Claro (2011)
     
  • Prototipagem e alinhamento de expectativas
    Trabalho feito junto ao IPEN

Levantamento de Requisitos

  • Programa para Windows
     
  • Computador pessoal moderno
    250 GB de HDD, 4 GB de RAM, dual-core @ 2.3 Ghz (VALVE, 2016)
     
  • Estimar data de ocorrência e dose aproximada
     
  • Geração de relatórios

Levantamento de Dados

  • Identificador do caso
     
  • Radionuclídeo
  • Medidas experimentais
    Dadas por data, medida (em Bq) e erro (em Bq)
     
  • Fator de conversão de dose
    Medidas em Bq (decaimento de um núcleo por segundo) para doses em Sv (impacto da radiação sobre as células humanas)
  • Isótopo (I-125, I-131)
  • Tipo (F, M, S)
  • AMAD (Diâmetro Aerodinâmico Mediano Aproximado)
  • Respectiva modelagem compartimental

Arquitetura

  • Aplicação local
    Conhecidas como "desktop" ou "standalone"
     
  • Sistema de arquivos
    CSV com dados da modelagem compartimental dos radionuclídeos
     
  • Interfaces de Entrada e Saída de dados
    Módulo de cálculo intermediando a troca de informações
     

Desenvolvimento

  • Linguagem Java
    Popularidade e conhecimentos prévios
     
  • Foco em usabilidade
    Familiaridade, utilização de boas práticas na construção de interfaces
    (NIELSEN, 1993; COOPER, 2004; KRUG, 2005; GOOGLE, 2015)

CSIDogg

Computer Software for Internal Dosimetry

(with graphic generation)

Interface de Entrada

Interface de Entrada

  • Importação de arquivos
    Modelagem compartimental e fator de conversão de dose
     
  • Parametrização de simulações
    Radionuclídeo, datas aproximadas e medidas experimentais
     
  • Opção de salvar
    Utilizar parametrizações para outras ocasiões

Parametrização de Radionuclídeo

Parametrização de Datas

Parametrização de Medidas

Interface de Saída

Interface de Saída

  • Soluções encontradas
    Limitações na escolha de soluções
     
  • Resultados
    Data aproximada, incorporação estimada e dose estimada
     
  • Visualização gráfica
     
  • Relatório
    Sumarização dos resultados encontrados

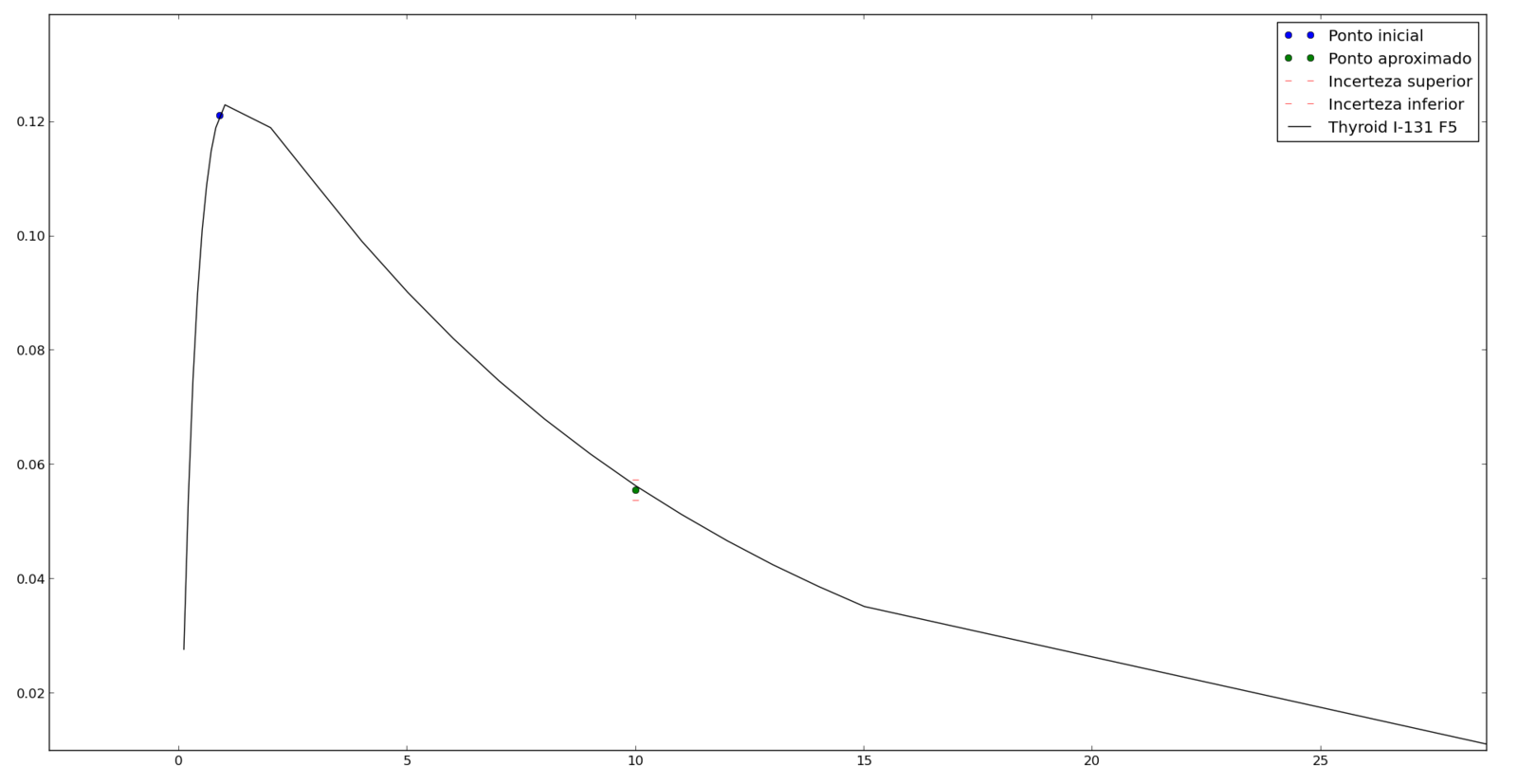
Método do Emparelhamento

  • Necessidade de soluções mais precisas
    Apenas o MMQ Log-Linear não dava os resultados buscados
     
  • Interpretação diferente sobre os dados
    Medidas experimentais e modelagem compartimental são duas maneiras de ver a mesma informação!
     
  • Utilização dos conhecimentos de especialistas
    Parametrização de datas

Método do Emparelhamento

Método do Emparelhamento

Método do Emparelhamento

Método do Emparelhamento

Método do Emparelhamento

Método do Emparelhamento

Método do Emparelhamento

Como calcular Alfa e Gama?

  • Alfa
    Utilizando a(s) medida(s) com menor variação de erro
     
  • Gama
    Utilizando as datas possíveis da parametrização

Resultados e Discussões

Simulações

  • Desenvolvimento incremental
    Aprimoramento das técnicas à medida que as necessidades surgiam
     
  • Precisão como fator determinante
    Faixa de erro aceitável de ±20%, segundo a ICRP
     
  • Dados de incorporações
    Exercícios propostos pelo IPEN para validação dos cálculos
     
  • Validação de dados junto ao IPEN

Simulação I

  • Primeiros 10 dias do Iodo I-131
    Valores presentes nas publicações da ICRP
     
  • Ajustes de curvas por polinômios
    Lagrange, Newton, Hermite, Splines Cúbicos e MMQ

Resultados

Simulação II

  • Primeiros 20 dias do Iodo I-131

     
  • Ajustes de curvas por polinômios

Dificuldades

Simulação III

  • Primeiros 20 dias do Iodo I-131

     
  • Ajustes de curvas por exponenciais
    Tentativa de melhorar os resultados obtidos anteriormente

Resultados

Simulação IV

  • Exercício proposto pelo IPEN
    Dados de contaminações, com data, medida (em Bq) e erro (em Bq)
     
  • Curvas do modelo compartimental

     
  • Ajustes de curvas por exponenciais

Resultados =(

Simulação V

  • Exercício proposto pelo IPEN
    Dados de contaminações, com data, medida (em Bq) e erro (em Bq)
     
  • Curvas do modelo compartimental

     
  • Ajustes de curvas pelo Método do Emparelhamento

Resultados!!!

...mas com suas devidas limitações

Conclusões e Trabalhos Futuros

Conclusões

  • Objetivos atingidos...
    Proposta: auxiliar no cálculo de dose estimando data de ocorrência e valor da dose de uma determinada contaminação
     
  • ... com precisão...
    Resultados das simulações indicam que as faixas de erro são aceitáveis
     
  • e com foco no usuário!
    O software foi desenvolvido de forma que seja simples e intuitivo de utilizar, se valendo principalmente dos conhecimentos que um usuário de PC já possui para proporcionar uma experiência agradável.

Trabalhos Futuros

  • Discernimento entre variações de um radionuclídeo
    Limitações no discernimento de isótopos e tipos
     
  • Estimativa para doses crônicas
    O software atual só trabalha com doses agudas
     
  • Estudo de outros métodos
    Ex: MMQ Ponderado, métodos estocásticos
     
  • Integração com a base de dados do IPEN
    Centralização das informações

Contribuições da/para a Ciência da Computação

  • Como fazer
    Algoritmos, estruturas de dados, sistemas operacionais
     
  • O que fazer
    Matemática computacional, cálculo numérico
     
  • Fazer direito
    Engenharia de software, programação orientada à objeto, paradigmas de linguagem de programação, análise e projeto de algoritmos, usabilidade e interface humano-computador
     
  • Fazendo com autonomia
    Projetos integradores

Referências Bibliográficas

Referências Bibliográficas

  • ICRP. Human Respiratory Tract Model for Radiological Protection. ICRP Publication 66, 1993.
     

  • ICRP. Individual monitoring for internal exposure of workers - Replacement of ICRP Publication 54.
    ICRP Publication 78, 1997.

     

  • SANCHEZ, G.; LOPEZ-FIDALGO, J.
    Mathematical techniques for solving analytically large compartmental systems.
    Health Physics Society, v. 2, n. 85, p. 184–193, 2003.

Referências Bibliográficas

  • CLARO, T. R. Desenvolvimento de um código computacional de apoio ao cálculo de dose interna para radionuclídeos de interesse do IPEN, 2011.
     

  • MINGATOS, D. dos S. Consistência e Sensibilidade de Modelos Compartimentais Aplicados à Dosimetria Interna, 2015.

Obrigado =)!

Slides para quando a banca começar a fazer perguntas

TCC II - Final

By Vinicius de Carvalho | [TGL] Dogg

TCC II - Final

Apresentação realizada no dia 06/12/2016 durante a banca de Trabalho de Conclusão de Curso II do curso de Bacharelado em Ciência da Computação do Centro Universitário SENAC - São Paulo.

  • 884