Title Text

Vicki Moeller-Chan

Vicki Moeller-Chan

Data = IRS Form 990

Vicki Moeller-Chan

Dealing with Data

 

 

battling zombies

Vicki Moeller-Chan

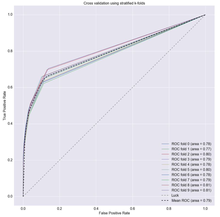
Logistic Regression

Vicki Moeller-Chan

Logistic Regression

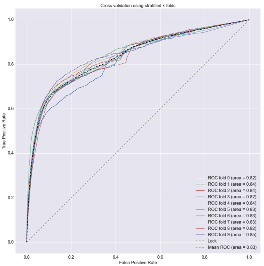
Verified using stratified k-folds

Vicki Moeller-Chan

Random Forest

Confusion Matrices

Feature Importance

Vicki Moeller-Chan

Feature Importance

Vicki Moeller-Chan

Survival Analysis

 

 

lifelines

Survival Analysis

 

 

Survival Function

S(t)=Pr(T>t)
S(t)=Pr(T>t)

Kaplan Meier Fitter

Survival Analysis

 

Cumulative

Hazard Function

 

\Lambda(t) = -\log S(t)
Λ(t)=logS(t)

Nelson Aalen Fitter

Survival Analysis

 

Hazard Curve

 

\lambda(t) =\lim_{dt\to0} \frac{Pr(t \leq T < T +dt)}{dt \cdot S(t)}
λ(t)=limdt0dtS(t)Pr(tT<T+dt)

NA Fitter with kernal smoothing

Survival Regression

 

 

 

Aalen Additive Filter

Vicki Moeller-Chan

The Stack

StellarNPObyVickiMoellerChan

By Vicki Moeller-Chan

StellarNPObyVickiMoellerChan

  • 695