Министерство образованиея и науки РФ Федерального государственного автономного образовательного учреждения высшего образования
"Национальный исследовательский технологический университет МИСиС"
Курсовая работа на тему:
Обработка и анализ сигналов измерительной информации (вариант 5)
Выполнил: Дырков А.В.
Руководитель: Гусева С.Е.
ВФ НИТУ МИСиС
Разложение сигнала в ряд фурье

Разложение сигнала в ряд фурье




Разложение сигнала в ряд фурье



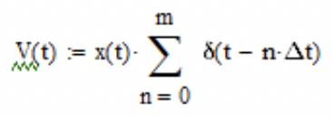
Дискретизация сигнала

Дискретизация сигнала



Квантование сигнала

Квантование сигнала



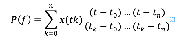
Интерполяция данных

Линейная интерполяция

Кубическая интерполяция

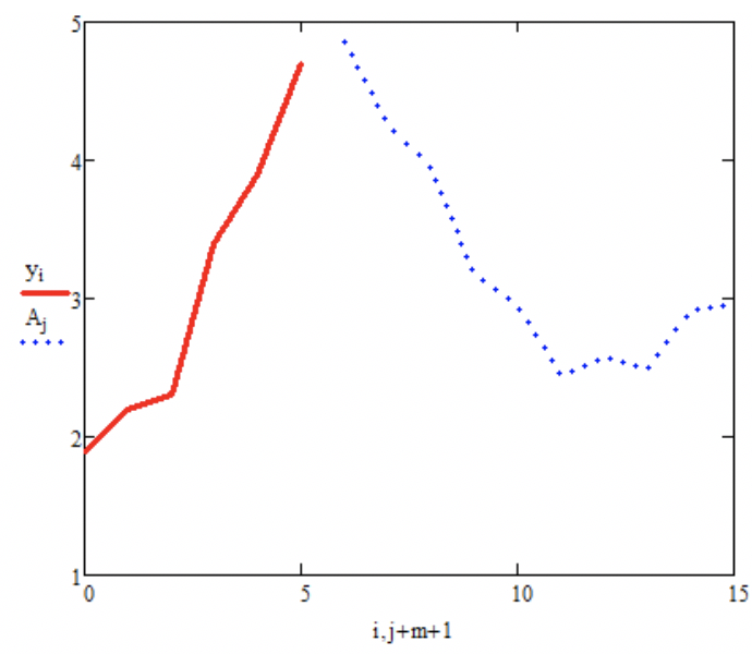
Экстраполяция данных

Экстраполяция данных

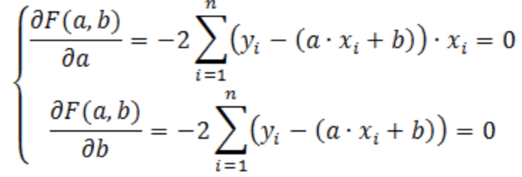
Линейная аппроксимация данных


Линейная аппроксимация данных

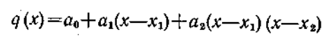
Полиномиальная аппроксимация данных

Полиномиальная аппроксимация данных

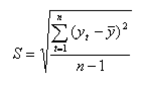
Обработка результатов эксперимента

математическое ожидание

СКО
Обработка результатов эксперимента

Обработка результатов эксперимента

Обработка результатов эксперимента

15.086 при P=0.099 и k=5
КП ИИС
By AndreyDyrkov
КП ИИС
КП ИИС
- 75