DEEP LEARNING

ARTIFICIAL INTELLIGENCE

LET'S BUILD TOGETHER

https://rocka.co

xergioalex

Sergio A. Florez

TECH LEAD && FULL STACK DEVELOPER

LET'S BUILD TOGETHER

ARTIFICIAL INTELLIGENCE

LET'S BUILD TOGETHER

WEAK AI

LET'S BUILD TOGETHER

LET'S BUILD TOGETHER

STRONG AI

LET'S BUILD TOGETHER

SUPER AI

LET'S BUILD TOGETHER

SINGULARITY AI

LET'S BUILD TOGETHER

LET'S BUILD TOGETHER

LET'S BUILD TOGETHER

BIASED ALGORITHMS

LET'S BUILD TOGETHER

LET'S BUILD TOGETHER

LET'S BUILD TOGETHER

LET'S BUILD TOGETHER

LET'S BUILD TOGETHER

LET'S BUILD TOGETHER

LET'S BUILD TOGETHER

LET'S BUILD TOGETHER

LET'S BUILD TOGETHER

LET'S BUILD TOGETHER

LET'S BUILD TOGETHER

LET'S BUILD TOGETHER

"AI is the new electricity"

Andrew Ng

LET'S BUILD TOGETHER

LET'S BUILD TOGETHER

LET'S BUILD TOGETHER

LET'S BUILD TOGETHER

LET'S BUILD TOGETHER

LET'S BUILD TOGETHER

LET'S BUILD TOGETHER

LET'S BUILD TOGETHER

LET'S BUILD TOGETHER

MACHINE LEARNING

Field of A.I focused on systems that can learn autonomously.

LET'S BUILD TOGETHER

Learning in this context means finding complex patterns in millions of data

 

SUPERVISED LEARNING

LET'S BUILD TOGETHER

Allows to make future predictions based on behaviors or characteristics that have been seen in the data already stored

LET'S BUILD TOGETHER

1

CAT

0

NON-CAT

?

UNSUPERVISED LEARNING

LET'S BUILD TOGETHER

Use historical data that are not labeled The purpose is to explore them to find the structure or the way to organize them.

LET'S BUILD TOGETHER

?

?

?

NEURONAL NETWORKS

LET'S BUILD TOGETHER

They are the basis of all AI. They work like the neurons of our brain at least at the conceptual level.

PERCEPTRON

LET'S BUILD TOGETHER

LET'S BUILD TOGETHER

LET'S BUILD TOGETHER

PREDICTIONS

(Markov chains)

LET'S BUILD TOGETHER

DEEP LEARNING

Learning at multiple levels, each hidden layer is responsible for recognizing different characteristics, and deliver them as input to the next layer.

LET'S BUILD TOGETHER

MATEMHATICS, LINEAR ALGEBRA, CALCULUS, STATISTICS && GRAPHS

LET'S BUILD TOGETHER

VECTORIZATION

The art of getting rid of the for loops in the code

LET'S BUILD TOGETHER

SIMD

Single Instruction

Multiple Data

It is a technique used to achieve parallelism at the data level.

LET'S BUILD TOGETHER

LET'S BUILD TOGETHER

CPU VS GPU

LET'S BUILD TOGETHER

LET'S BUILD TOGETHER

HOW DEEP LEARNING WORKS

INPUT X

DATA TRANSFORMATION LAYER

DATA TRANSFORMATION LAYER

PREDICTION Y

LOSS

FUNCTION

OPTIMIZER

FUNCTION

Lineal Operations

+

No-lineal operations

OBJECTIVES Y

LET'S BUILD TOGETHER

Forward propagation

Backward propagation

HOW DEEP LEARNING WORKS

LET'S BUILD TOGETHER

Z = Wx + b

Logistic Regresion

activation

function

(Z)

prediction

Loss Function

Cost Function

NON CAT (0)

HOW DEEP LEARNING WORKS

LET'S BUILD TOGETHER

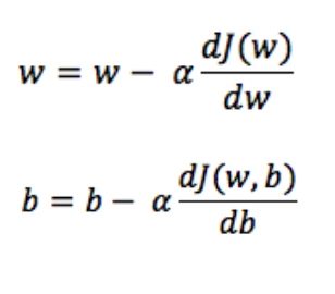
GRADIENT DESCENT

(Optimizer function)

LET'S BUILD TOGETHER

GRADIENT DESCENT

(Optimizer function)

f'(x) = 0

LET'S BUILD TOGETHER

GRADIENT DESCENT

LET'S BUILD TOGETHER

COMPUTER

VISION

LET'S BUILD TOGETHER

SPECTROGRAM

LET'S BUILD TOGETHER

SPECTROGRAM

LET'S BUILD TOGETHER

SPECTROGRAM

LET'S BUILD TOGETHER

LET'S BUILD TOGETHER

CONVOLUTIONAL NEURONAL NETWORKS

LET'S BUILD TOGETHER

CONVOLUTIONAL NEURONAL NETWORKS

LET'S BUILD TOGETHER

CONVOLUTIONAL NEURONAL NETWORKS

https://www.deeplearning.ai/

LET'S BUILD TOGETHER

CONVOLUTIONAL NEURONAL NETWORKS

LET'S BUILD TOGETHER

CONVOLUTIONAL NEURONAL NETWORKS

LET'S BUILD TOGETHER

CONVOLUTIONAL NEURONAL NETWORKS

LET'S BUILD TOGETHER

LET'S BUILD TOGETHER

Sara

COMPUTER VISION

LET'S BUILD TOGETHER

LET'S BUILD TOGETHER

COMPUTER VISION

LET'S BUILD TOGETHER

LET'S BUILD TOGETHER

LET'S BUILD TOGETHER

LET'S BUILD TOGETHER

https://rocka.co

xergioalex

Sergio A. Florez

TECH LEAD && FULL STACK DEVELOPER

Deep learning from academia to practice

By Sergio Alexander Florez Galeano

Deep learning from academia to practice

You will learn how deep learning models have driven the evolution of artificial intelligence, towards the development of means of transformation that allow achieving new levels of optimization and development in the industry.

  • 3,074