Presentations
Templates
Features
Teams
Pricing
Log in
Sign up
Log in
Sign up
Menu
Modelo cinemático directo de un robot manipulador con cuaternios
Cinemática
Tipos de robots
"Brazo" manipulador
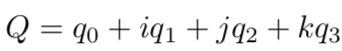
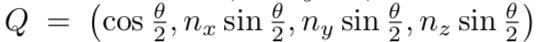
Cuaternios
Title Text
Robots en la industria
Cinemática con cuaternios
By aflp
Made with Slides.com
Cinemática con cuaternios
293
aflp
More from
aflp