Presentations
Templates
Features
Teams
Pricing
Log in
Sign up
Log in
Sign up
Menu
Modelo dinámico de un robot manipulador
Dinámica
Tipos de robots
"Brazo" manipulador
Modelo dinámico
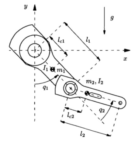
Robot de codo planar
Ecuaciones de movimiento
Ecuaciones de movimiento
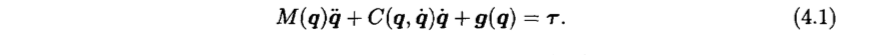
Modelo dinámico del robot de codo planar
Calculando K
1
Calculando K
1
Calculando K
2
Calculando K
2
Calculando energía Potencial, U
Construcción del Lagrangiano
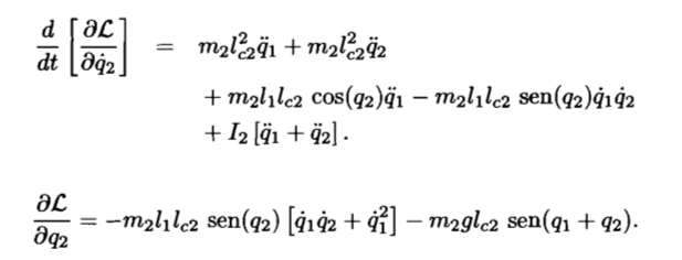
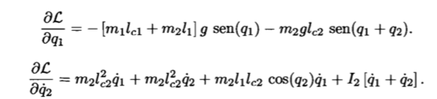
Ecuaciones de movimiento
Ecuaciones de movimiento
Ecuaciones de movimiento
Robot codo planar
Robots en pick & place
Modelo dinámico de un manipulador
By aflp
Made with Slides.com
Modelo dinámico de un manipulador
266
aflp
More from
aflp