
Almog Yalinewich - Pulsar Coffee 12.6.20
Plan of the Talk:
- Previous Observations
- Recent Observations
-
Implications for magnetar models
- Interior models
- Exterior models
Previous Observations
SGR 1806-20
Mini EMP from SGR 1806-20
on 21:30:26.5 UT, Dec 27, 2004

10% of the magnetic energy
SGR 1806-20 - Afterglow
Recent Observations
Transient
Radio Component

400-800 MHz band
two 5ms bursts separated by 30ms pause
8 second delay after x ray
Fluence: 6 MJy ms
X Ray Component
X Ray Component 2
Fluence 6.8e−7 erg /cm^2
Energy 8e38 erg
Peak photon energy 70 keV
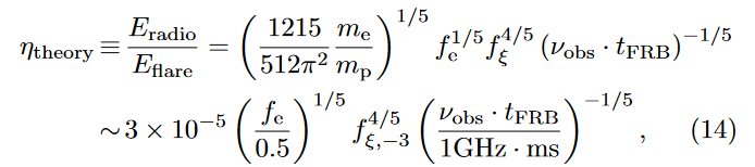
Magnetars are terribly inefficient at producing FRBs
Luminosity 5e40 erg/s
SGR 1935-20
Mature magnetar originally detected in X ray by swift
SNR G57.2+0.8

Distance 6.6kpc
Age 1.6e4
Precision 10%
Comparison to other Magnetar Flares

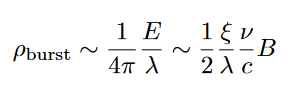
Suppression of Compton Scattering in Strong Magnetic Fields

E oscillating, B static, both mutually orthogonal
Magnetic Eddington Limit
Implications for Models
Occurance Rates
Is the radio transient part of the population of previous FRBs?
Lifetime
Energy budget
Time averaged radio luminosity
Lifetime
No galactic magnetar is as potent as cosmic FRB sources
Exotic formation channel? (SLSNe, AIC)
Event Rate

Prospect for Extragalactic Detection

Energy Distribution

Theoretical Models
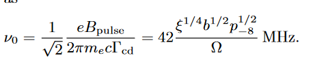
Low Twist Model
Why is it important that the twist is low?




otherwise burst is masked

Transient Features
Time changing linear polarisation angle
Simultaneous x ray and radio
Blackbody x ray spectrum
Comparable energy in X rays and radio
Other Magnetospheric Models have similar Issues
curvature radiation
Outflow interaction with the magnetosphere
Spindown models
Similar X -ray and radio energies
changes in period?
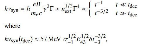
Synchrotron Maser Blast Wave
Coherent Emission
Stimulated Emission

Antenna emission

Synchronisation



Cyclotron Maser in Relativistic Shock waves
Precursor wave
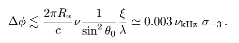
Suppression of Low Frequencies

Relativistic cyclotron frequency
The reason such low frequencies were never observed is that they are up - scattered by induced Compton
X-Ray Emission from Shocks
Incoherent synchrotron


Magnetar Environment

Where exactly does the shock occur?
At the nebula - remnant interface
Lower radio to X-ray luminosity ratio compared to FRB200428
Collision with previously ejected material
can be made to fit X-ray to luminosity ratio
Model Postdictions


Conclusion
Association of SGR1935-20 with other FRBs is inconclusive
Magnetar models where the emissions happens inside the magnetosphere produce a radio to X-ray luminosity ratio that is too high
Shock wave at the nebula - remnant boundary produce a ratio that is too small
Internal shocks can reproduce this ratio and also the peak X-ray photon energy
questions?
FRBs and Magnetars
By almog yalinewich
FRBs and Magnetars
- 374












