NIPoPoWs under Velvet Fork
Andrianna Polydouri, Dionysis Zindros, Aggelos Kiayias

National and Kapodistrian University of Athens
Department of Informatics and Telecommunications
Decrypto Seminar
July 2021
Βlockchain model
Players in the peer-to-peer network
-
miners
- generate new blocks by solving the PoW puzzle
-
full nodes
- store whole blockchain information
-
clients
- request up-to-date information
Prover - Verifier model
Client
Synchronization
Do we have to download the whole chain?
Light clients
Simplified Payment Verification (SPV)



Light clients
SPV protocol
- not efficient enough
- data grow linearly to the size of the chain
Superlight clients
-
logarithmic amount of data to the size of the chain
- Superblock NIPoPoWs


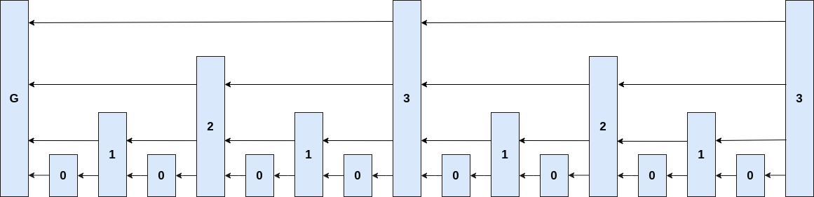
Superblock NIPoPoWs

- all valid blocks:
- "luckier" μ-level superblocks:





Superblock NIPoPoWs
Ideal superblock distribution

Superblock NIPoPoWs
Synchronization proof
- security parameter m
- proof contains at least m superblocks

Example for m = 3:
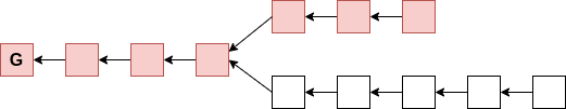
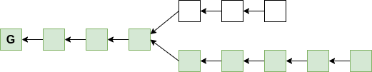
Superblock NIPoPoWs

Suffix proof π: contains some superblocks...


Superblock NIPoPoWs
How could the client do any verification on these unlinked blocks?

Superblock NIPoPoWs
Consensus Protocol changes
- interlink data struture in block header
- pointers to every most recent superblock

Consensus Protocol Update
Hard fork
- not backwards compatible
- change block header contents
- unupgraded parties do not accept upgraded blocks and vice versa
- may lead to permanent fork
Soft fork
- backwards compatible
- auxiliary data in coinbase transaction
- unupgraded parties accept upgraded blocks but not vice versa
- generally believed as less dangerous
Consensus Protocol Update
Velvet fork
- backwards compatible
- auxiliary data in coinbase transaction
- unupgraded parties accept upgraded blocks and vice versa
- protocol changes come as a recommendation
- only a minority of miners is needed to upgrade
magic!
Superblocks under Velvet Fork
"Superblocks protocol can be deployed as-is under velvet fork"

Superblocks under Velvet Fork
The naive protocol

Superblocks under Velvet Fork
What could go wrong?
adversarial blocks may include false super-pointers
Is there a way to attack?
Just ignore them as unupgraded!


Superblocks under Velvet Fork
Is there a way to attack?
False super-pointers could mean...
- pointing to superblocks of incorrect level
but the client can verify the level of a block - not pointing to the most recent superblock
but this would mean less superblocks in the adversarial proof
... so, can the adversary only harm his proofs by not playing fair?

Superblocks under Velvet Fork
Is there a way to attack?
False super-pointers could also mean...
- pointing to a block of a fork chain

Superblocks under Velvet Fork
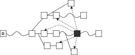
"Thorny" blocks

Is there a way to attack?
Superblocks under Velvet Fork
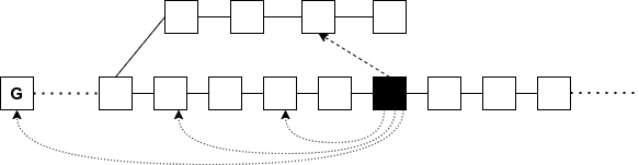
The Chainsewing Attack
cut-and-paste portions of the honest chain

Superblocks under Velvet Fork
A specific Chainsewing Attack
cut-and-paste portions of the honest chain
skip honest upgraded blocks of attacked level

Superblocks under Velvet Fork
The patch
honest miners ignore unupgraded and thorny blocks while updating the interlink


Superblocks under Velvet Fork
Combined Attack
Suppression & Chainsewing






Superblocks under Velvet Fork
Security
velvet honest majority assumption
Superblocks under Velvet Fork
Intuition


Superblocks under Velvet Fork
Security
simple chain quality does not suffice!
the adversary may attack only some superblocks...

Thank you!
Questions?
andriannapolyd@gmail.com
NIPoPoWs under Velvet Fork
By andrian
NIPoPoWs under Velvet Fork
- 926