Presentations
Templates
Features
Teams
Pricing
Log in
Sign up
Log in
Sign up
Menu
Logic gates
Basic Logic gates:
NOT, AND, OR, NOR, NAND, XOR
Within them, NAND and NOR are said to be universal
with NAND / NOR you can build any other gates
Exercise: With NAND gate only, build NOR gate
In ICs (CPU, RAM etc)
The circuit is most likely build with NAND gates
only
NAND gates have better performance than NOR
Keeping all building blocks in IC (Integrated circuit) the same so the cost will be cheaper / easier to manufacturer
Flip-flops
SR/JK flip-flop
Sometimes it's called a 'latch'
A sequential circuit which output depends on the input and previous output
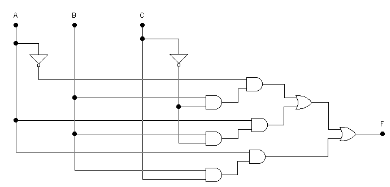
Simplifying Circuit using Boolean Expression
Write Circuit in Boolean Expression
Simplify the Expression
Redraw the simplified circuit
Verify in Truth Table
Simplify the followings
\overline{(\bar A.\bar B)}
A.B + A.\bar B
A.(B+1)
\overline{A.B} + \overline{(A+\bar B)}
(X+Y).(X+\bar Y)
\overline{\bar A + \overline{(B.A)}}
A.B.\bar C+A.\bar C
B.(A+\bar A)
A.B + B
\bar B.\overline{\bar A+\bar B}
(B+AC).(B+\bar A)
(B+A\bar B).(C+AC)
[CSAL] Boolean Algebra and Logic Circuits
By Andy tsui
Made with Slides.com
[CSAL] Boolean Algebra and Logic Circuits
415
Andy tsui
More from
Andy tsui