NTU Speech Lab Presentation-3

2015.11.5

資訊四    吳肇中、鍾毓安

Outlines

Part 1. Progress report

             - ideas & coding

 

Part 2. Paper survey

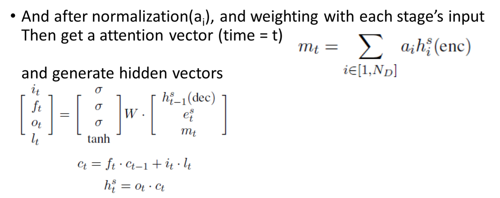
             - A hierarchical Neural Autoencoder for Paragraphs and Documents

Part 1. Progress report

             - ideas and coding

Recall last time ...

Part 2. Paper survey

             A hierarchical Neural Autoencoder

               for Paragraphs and Documents

NTU Speech Lab Presentation-3

By Yu-An, Chung

NTU Speech Lab Presentation-3

  • 575