Finance Research for Blockchains & DeFi
 

Andreas Park

 



 

Conceptually, what is a blockchain?

What our financial infrastructure looks like

payments

stocks, bonds, and options

swaps, CDS, MBS, CDOs

insurance contracts

payments

stocks, bonds, and options

swaps, CDS, MBS, CDOs

insurance contracts

\(\Rightarrow\) a single common resource

  • easy value management
  • straightforward transfers & ownership accounting
  • new types of contracts and usage of assets
  • \(\ldots\)

What would the most efficient financial infrastructure look like?

  1. Self-custody of assets
  2. Access to financial infrastructure
  3. Conceptually non-custodial services
  4. Value management layer = common resource
  5. Platform approach to commerce

What makes blockchain-based finance different from TradFi?

{

{

features

consequences

Consensus: Proof-of-Stake

Blockchain organization

Slot 1

Slot 2

Slot 32

...

12 seconds

epoch\(_t\)

epoch\(_{t+1}\)

epoch\(_{t-1}\)

Block inclusion

Committee #1 of validators

Slot 1

Slot 2

Slot 32

...

proposer #1 assembles transactions in block and proposes to a committee

attests validity

Block inclusion

Committee #2 of validators

Slot 1

Slot 2

Slot 32

...

proposer #2 assembles transactions in block and proposes to a committee

attests validity

Block inclusion

Committee #32 of validators

Slot 1

Slot 2

Slot 32

...

proposer #32 assembles transactions in block and proposes to a committee

attests validity

Blockchain finality rules

Slot 1

Slot 2

Slot 32

...

12 seconds

epoch\(_t\)

epoch\(_{t+1}\)

epoch\(_{t-1}\)

checkpoint

checkpoint

checkpoint

checkpoint

Blockchain finality rules

...

epoch\(_t\)

epoch\(_{t+1}\)

epoch\(_{t-1}\)

checkpoint

checkpoint

checkpoint

checkpoint

all validators vote on validity

all validators vote on validity

all validators vote on validity

all validators vote on validity

(for clarity: checkpoint voting happens over time, by all validators)

Blockchain finality rules

...

epoch\(_t\)

epoch\(_{t+1}\)

epoch\(_{t-1}\)

checkpoint

checkpoint

checkpoint

checkpoint

valid?
\(\Rightarrow\) "justified"

last justified block becomes "final"

valid?
\(\Rightarrow\) "justified"

last justified block becomes "final"

  • a checkpoint is "justified" once \(\frac{2}{3}\) of all validators vote for validity
  • once a checkpoint is justified, the last justfied checkpoint becomes final

valid?
\(\Rightarrow\) "justified"

Validators, Committees, Proposers

ETH owners lock up funds (\(\ge32\)ETH) in a special smart contract

validators selected at random based on proportional ownership of total stake

Slot 1

proposer

Slot 2

proposer

Slot 32

proposer

Validators, Committees, Proposers

Slot 1

proposer

Slot 2

proposer

Slot 32

proposer

validation
committee

validation
committee

validation
committee

128 validators per committee (\(\Rightarrow\) 32 x 128) are selected at random based on proportional ownership of total stake

Rewards and Punishments

What do we need from validators?

  1. Participation
  2. Honesty

if "lazy"

misses out on rewards

if dishonest

Concretely they need to

  1. vote on checkpoints
  2. attest in committees
  3. propose valid blocks

What rewards?

proposer

  • coinbase
  • "tips"/fees
  • MEV

Committee

  • coinbase

 

What penalties?

offline

  • small penalty based on time offline

misbehavior

  • stake slashing (usually 1 ETH)
  • exclusion from validation
  • goes per node

Ethereum is "full"

Source: Etherscan w re-scaling

Basic idea of a Rollup

rollup
API

rollup
layer

by a sequencer

The process explained

users lock up funds in a special smart contract

a

b

 

e

f

g

perform operations or transact

sequencer creates a digest of bundled/rolled-up transactions

sequencer posts digest to mainnet

What's this?

Optimistic roll-up:

  • sequencer posts transactions/data and it's assumed correct unless challenged
  • challenge period = 1 week
  • there are challenge rewards
  • correctness/faultiness is provable
  • (the concept is called a fraud proof)

ZK-Rollups

  • sequencer creates a proof that transactions are correct
  • easy to check, hard to fake
  • (the concept is called a zero knowledge proof)

Pros

  • easy to post/create

Cons

  • delay in checks/finality
  • requires collateral

Pros

  • easy and fast to check

Cons

  • proofs are hard to generate
  • only works for simple transactions
  • "account abstraction"
    • ​= smart contract wallets
    • no gas payments in crypto ("sponsored")
    • great simplification

Some things you can do with a rollup

  • high throughput applications
    • ​trading platforms
    • payments systems
    • reward systems
  • AML/KYC checks
    • => determine who gets to play on your rollup
    • be regulatory compliant
  • create "local" tokens
  • ​non-finance applications
  • private transactions using zero-knowledge proofs
  • digital ID applications

Research questions:

  • Rollups often secured by re-staking - what are the risks and benefits?
  • Long-term lock-in risk
  • security check incentives

a

b

 

e

f

g

users lock up funds in a special smart contract

sequencer creates a digest of bundled/rolled-up transactions

perform operations or transact

sequencer posts digest to mainnet

How is a rollup different from a crypto-trading platform?

  • crypto platform: ownership transferred to platform

crypto platform: transactions enabled on a seperate system with no proftable relation to blockchain

rollup: ownership transferred to smart contract; retain control within rules of smart contract

rollups:

  • transactions follow blockchain rules (digitally signed)  
  • blockchain mainnet checks vality
  • sequencer subject to punishment for violations
  • sequencer has no direct control over funds

More data

What's happening? Is the L2 party already over?

EIP-4844: enabling of data blobs

basic idea:

  • reserved space in blocks for "data blobs"
  • collections of transactions from rollups
  • much cheaper gas fees for sequencers

Research questions:

  • token prices with scaling? 
  • blob pricing?
  • token/cryptocurrency supply management?
  • internal vs external rollups: how does it affect cryptocurrency values
  • interoperability of rollups

Challenge: How do you get data onto a blockchain?

The Oracle Problem

<standings: 7,3,8,4,2,1,6,5> + digital signatures

Disagreement? 

Majority Vote

The Oracle Problem

1 ETH = $4780

1 ETH = $4789

1 ETH = $4781

  • average?
  • median?

The Oracle Problem

  • An Oracle needs
    • providers to be online
    • providers to be truthful
    • providers not to be lazy
  • Need to think of
    • payments for service
    • rewards for honesty
    • penalties for laziness
  • collect fees from dAPPs
  • Nodes stake LINK
    • More LINK staked
    • \(\to\) more jobs taken
  • staked LINK can be slashed

Chainlink

Same follow-on challenge for builders: how can you fit staking, rewards, and inevitable  speculation into securities law?

  • One solutions: use tokens
    • internal payment and reward system
    • tied to platform success
    • used as bond to enable penalties

The Oracle Problem: tokenomics

Research questions:

  • decentralized rollups with token-models?
  • punishment vs verifiability
  • Eigenlayer is an alternative for oracles (and rollups) - what's the risk model, the capital usage, the incentives?

Decentralized Trading

Decentralized trading using automated market makers (AMM)

Liquidity providers

Liquidity demander

Liquidity Pool

No effect on the marginal price

Let's look at some stylized facts

Research questions:

  • AMMs are used as distribution tools for tokens (Raydium mostly). What's the economics of this? Is this better for offerings than bookbuilding or auctions?

\(\to\) simply connect with MetaMask (or similar wallet)

How does this look in practice?

Key feature: these "exchanges" are non-custodial

AMM Theory: Price Functions

Basic Requirements for "unconstrained" two-asset liquidity pool

  • Two assets:
    • cash and an asset 
    • deposits in pool of \(c\) cash and \(a\) asset
  • AMMs should be self-contained: pricing rule based on
    • deposits \(a,c\) and
    • liquidity demanded \(q\)
  • implied value of the asset at deposit: \[p=\frac{c}{a}.\]
  • marginal price: an infinitesimal unit should cost \[p^m=p\]

What does an AMM need?

  • trades create linear changes:
    • a trade of \(q\in(-\infty,a),\) will cost \(\Delta c(q)\)
    • liquidity changes
      • \(a\) \(\to\) \(a-q\)
      • \(c\) \(\to\) \(c+\Delta c(q)\)
    • \(\to\) marginal price after trade of \(q\) is

      \[p^m(0)=\frac{c}{a}~~\to~~p^m(q)=\frac{c+\Delta c(q)}{a-q}.\] 

quantity

price

\(q\)

\(p^m(q)\)

\(\Delta c(q)=p(q)^m\times q\)

Traditional pricing: auctions/open outcry/RFQ: uniform price

idea: cost of \(q=\) price\(\times\) quantity

Some Pricing Rules from Traditional Markets: Uniform Price

  • assume cost is price \(\times\) quantity: \[\Delta c(q)=q\cdot p^m(q)\]
  • plus assume average price \(=\) marginal price after trade

    \[p^m(q)=\frac{c+q\cdot p^m(q)}{a-q}~~\Leftrightarrow~~p^m(q)=\frac{c}{a-2q}.\]
     
  • formalized and analyzed by Canidio and Fritsch (2023) and implemented in COW-Swap

\(q=2\)

Example: \(\Delta c(q)= q\times p^m(q)=2\times 15.5\)

Main pricing rule in stock exchanges: limit order book

quantity

price

\(q\)

\(p^m(q)\)

\(\Delta c(q)=\int_0^qp^m(s)~ds\)

again note: the marginal pricing function \(p(q)\) does not have to be linear

Some Pricing Rules from Traditional Markets: Limit Order Book

  • For AMM: assume continuity \(\to\) price of "final" marginal unit coincides with price of  "first" marginal unit of next trade \[\Delta c(q)=\int_0^q p^m(s) ds~\to~\Delta c'(q)=p^m(q).\]
  • Also "first" unit costs nothing \(\Delta c(0)=0\)
  • This gives us a differential equation
    \[p^m(q)=\frac{c+\Delta c(q) }{a-q}~~\Leftrightarrow~~\Delta c'(q)=\frac{c+\Delta c(q)}{a-q},\]
  • with solution \[\Delta c(q)=q\cdot\frac{c}{a-q}.\]
  • Idea of pricing: liquidity before trade \(=\) after trade
    \[L(a,c)=L(a-q,c+\Delta c)\]
  • \(L=\)"iso-liquidity curve"
  • special form: \(L=a\cdot c\)

Most Common Pricing Rule in DeFi: Constant Product

Most Common Pricing Rule in DeFi: Constant Product

  • With \[a\cdot c= (a-q) (c+\Delta c(q))\]
     
  • we compute cost \[\Delta c(q)=q\cdot  \frac{c}{a-q},\]
     
  • and marginal price \[p^m(q)=\frac{c+\frac{cq}{a-q}}{a-q}=\frac{ac}{(a-q)^2}.\]

Insight: AMM pricing function is the same as a limit order book when we require

  • that prices are continuous and
  • that prices are determined by liquidity deposits only
  • price \(\times\) quantity: \[p(q)=\frac{c}{a-2q}\]
  • limit order book: \[p(q)=\frac{c}{a-q}.\]
  • constant product: \[p(q)=\frac{c}{a-q}.\]  

average prices

Some insights on pricing functions

  • Price \(\times\) quantity
    • nice feature:
      • regret-free price: if price move is due to information, you have no positional loss
    • poor feature:
      • you can always save by order-splitting (formally shown by Canidio and Fritsch (2023)) 
      • limit price for splitting = limit order book price
  • LOB/CP
    • nice feature:
      • order splitting doesn't pay
    • poor feature:
      • prices not regret-free: if price move is due to information, you always lose

The Pricing Function

  • liquidity provider makes asset and cash deposit
  • more deposits flatten price curve
    • may attract more volume
    • but larger "positional" dollar loss when prices move
  • larger liquidity deposits \(a\) \(\Rightarrow\) 
    • lower costs (price impact) for liquidity demanders

Transaction cost (here: price impact) of buying \(q\) 

\[\frac{p(q)-p(0)}{p_0}=\frac{q}{a-q}\]

 

UniSwap v3

UniSwap v3 has "concentrated liquidity provision"

\(p_d\)

\(p_u\)

\(p_0\)

UniSwap v1/v2: provide liquidity \(a,c\) for all prices
\(p^m\in(0,\infty)\)

UniSwap v3: provide liquidity \(u,\Delta c(d)\) for price interval
\(p^m\in[p_d,p_u]\)

\(u\)

\(d\)

\(\}\)

\(\Delta c(d)\)

the pricing curve for each interval is determined by the constant product rule

UniSwap v3 has "concentrated liquidity provision"

  • liquidity provision choice in v2: 
    • submit \(a,c\) at the marginal \(p_0=\frac{c}{a}\)
    • \(\to\) for given \(p_0\), there is ONE degree of freedom
    • provide liquidity
      • for all prices \(p\in(0,\infty)\)
      • all asset amounts \(q\in(0,a)\)
      • all cash amounts \(\Delta c\in (0,c)\)
  • liquidity provision choice in v3: 
    • submit \(u,\Delta c (d)\) 
    • choose price range \([p_d,p_u]\)
    • provide liquidity
      • for all prices \(p\in[p_d,p_u]\)
      • all asset amounts \(q\in(0,u)\)
      • all cash amounts \(\Delta c\in (0,\Delta c(d))\)

Just a little more institutional details

  • users submit liquidity positions \((u,d,p_u,p_d)\) and receive an ERC-721 (=NFT) token as a receipt 

  • the code segments liquidity into discrete exponential intervals \([p_k,p_{k+1}]\) with \[p_k=(1+\delta)^k. ~~~(\text{numerically: }p(k)=1.0001^k)\]

  • it aggregates liquidity over these intervals

  • the pricing curve for each interval is determined by the constant product rule

  • intervals may be "empty"

How the price is determined

  • if the marginal price reaches the upper bound \(p_u\), you will sell \(u\) units of the asset
  • if the marginal price reaches the lower bound \(p_d\), you will sell \(d\) units of the cash
  • the price is still using constant product
  • virtual liquidity = v2 liquidity that would pertain if you'd supply liquidity on the entire interval of prices
  • constant product \(\Rightarrow\) marginal price curve has functional form \[p^m(q)=\frac{\tilde{a}c}{(\tilde{a}-c)^2}\]

where \(\tilde{a}\) is the virtual liquidity

quick disclaimer: what follows is not how UniSwap is explained on its website etc. But the resulting maths are the same

\(p_d\)

\(p_u\)

\(p_0\)

UniSwap v3: An Example

\(p_u=15\)

\(p_d=7\)

\(u=2\)

\(p_0=10\) (that's exogenous, not a choice)

marginal price

\[p^m(s)=\frac{\tilde{a}c}{(\tilde{a}-s)^2}.\]

Finding virtual liquidity factor \(\tilde{a}\)

marginal price

\[p^m(s)=\frac{\tilde{a}c}{(\tilde{a}-s)^2}.\]

\(p_u=15\)

\(p_d=7\)

\(u=2\)

\(p_0=10\) (that's exogenous, not a choice)

= find the right curve

= find the right "\(\tilde{a}\)"

such that \[p^m(u|\tilde{a})=p_u\]

Finding the fourth parameter \(\Delta c(d)\)

\(p_u=15\)

\(p_d=7\)

\(u=2\)

\(d=?\)

required cash deposit \(\Delta c(d)=\) the amount that I pay for \(d\)

marginal price

\[p^m(s)=\frac{\tilde{a}c}{(\tilde{a}-s)^2}.\]

Given \(\tilde{a}\) solves \(\gamma(u)=p_u\), we

  • solve \(p^m(d|\tilde{a})=p_d\) for \(d\)
  • determine \(\Delta c(d|\tilde{a})=\) the required cash

Solutions

  •  virtual liquidity factor: \[\tilde{a}=\frac{u}{1-\sqrt{p_0/p_u}}=u\cdot \frac{\sqrt{p_u}}{\sqrt{p_u}-\sqrt{p_0}}.\]
  • required quantity to reach \(p_d\) \[p^m(-\tilde{d})=\frac{\tilde{a}\tilde{c}}{(\tilde{a}+\tilde{d})^2}=p_d.~~\Leftrightarrow~~d^*=-\tilde{a}(1-\sqrt{p_0/p_d})\]
  • required cash deposit \[\Delta c(\tilde{d})=-\tilde{a}(1 - \sqrt{p_0/p_d})\sqrt{p_0p_d}=-u\sqrt{p_0p_d}\frac{1 - \sqrt{p_0/p_d}}{1 - \sqrt{p_0/p_u}}\]
  • marginal pricing function \[p^m(q)=\frac{\tilde{a}^2p_0}{(\tilde{a}-q)^2}=\frac{u^2p_0p_u}{((u-q)\sqrt{p_u}+q\sqrt{p_0})^2}.\]

For those in the know: These formulae/solutions are exactly the same as those in the UniSwap v3 whitepaper

Numerical example

  • Suppose \(p_0=\$10\).
  • LP is willing to sell up  to \(u=100\)
  • v2 liquidity:
    • Required cash deposit: \(c=100\times 10=1000\)
    • liquidity \(c\cdot a=100\times 1,000\)
  • For v3: suppose willing to supply liquidity in \([\$9,\$11]\)
  • v3 liquidity:
    • virtual liquidity factor: \(\tilde{a}\approx 2,150\)
    • required cash \(c^*=\$1,100\)
  • consider a buy order of \(q=10\)
  • cost per unit 
    • v2: \(=11.11\)
    • v3: \(=10.05\)

Want to read more?

  • A Primer on UniSwap v3 Math: As Easy as 1,2, v3 https://blog.uniswap.org/uniswap-v3-math-primer
  • Elts 2012: Liquidity Math in UniSwap v3
  • Hasbrouck, Riviera, Saleh (2023):
    • UniSwap Liquidity Provision is like a covered call,
    • whereas a standard market (Copeland & Galai JF 1983) is a short strangle (call at the ask, put at the bid)

Liquidity Supply and Demand in an Automated Market Maker

Facts about modelling liquidity provision

  • You provide liquidity when the marginal price at the AMM and elsewhere is \(p(t_0)=p.\)
     
  • You make a decision what to do next at \(t_1>t_0\)
     
  • Many things can happen, for instance:
    • AMM trades
    • price moves in the broader markets

Key questions:

  1. Is there arbitrage at \(t_1\)?
  2. What is the "correct" price for your liquidity position at \(t_1\)?
  3. What has happened between \(t_0\) and \(t_1\)?

Two broad approaches for modelling liquidity provision

  1. Provide-and-Forget Liquidity provision
    • Check-in times are far apart, \(t_1\gg t_0\)
    • Price at \(t_1\) is efficient/the truth
    • There was a price-moving trade and lots of other trades
    • \(\to\) liquidate position at fair price
       
  2. Liquidity Provision using options-like thinking
    • Check-in time close to original time  \(t_1=t_0+dt\)
    • Price at \(t_1\)  may be right or wrong
    • \(\to\) may be able to rebalance position cheaply at another price
    • hedge risk like an options market maker

You worry about the positional loss relative to any income.

You worry whether you can rebalance your liquidity profitably.

(im)permanent loss

"LVR" = loss-vs-rebalancing

  • Aoyagi and Ito (2021), Cartea, Drissi, Monga (2023), Milionis, Moallemi, Roughgarden, and Zhang (2022), Milionis, Moallemi, Roughgarden (2024)
  • Lehar and Parlour (2021), Hasbrouck, Riviera, Saleh (2023), Park (2021), Malinova and Park (2023)

Provide-and-Forget Liquidity Provision

  • Deposit asset & cash when the asset price is \(p\)
  • Withdraw at price \(p'\ne p\) 

 

 

Buy and hold

Provided liquidity

in the pool

  • Why?
    • adverse selection losses
    • arbitrageurs trade to rebalance the pool 
  • \(\to\) always positional loss relative to a "buy-and-hold"

Provide-and-Forget Liquidity Provision

Basic idea of liquidity provision: earn more on balanced flow than what you lose on price movement

\[\text{fee income} +\underbrace{\text{net change in cash (my income)}-\text{true value of trade}}_{\text{adverse selection loss}} \ge \text{cost of capital} \]

in AMMs:
protocol fee

in tradFi: bid-ask spread

  • Malinova & Park (2023): express equation with returns
  • single variable decision problem as fraction of shares outstanding
  • allows calibration to any market
  • With constant product AMM (includes v3), when the fundamental moves, there is always a positional loss.
  • With COW Swap pricing,  when the fundamental moves, there is  never  a positional loss.

Provide-and-Forget Liquidity Provision

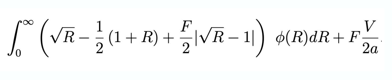
\[\underbrace{F \int DV \mu(DV) }_{\text{fees earned on}\atop \text{balanced flow}}+\int_0^\infty\underbrace{(\Delta c(q^*)-q^*p_t(R)}_{\text{adverse selection loss} \atop \text{when the return is {\it R}}} +\underbrace{F \cdot \Delta c(q^*))}_{\text{fees earned}\atop \text{from arbitrageurs}}~\phi(R)dR \ge r.\]

\(q^* \) is what arbitrageurs trade to move the price to reflect \(R\)

Basic idea of liquidity provision: earn more on balanced flow than what you lose on price movement

\[\text{fee income} +\underbrace{\text{what I sold it for}-\text{value of net position}}_{\text{adverse selection loss}} \ge \text{cost of capital} \]

in AMMs:
protocol fee

in tradFi: bid-ask spread

  • Malinova & Park (2023): express equation with returns
  • single variable decision problem as fraction of shares outstanding
  • allows calibration to any market
  • With constant product AMM (includes v3), when the fundamental moves, there is always a positional loss.
  • With COW Swap pricing,  when the fundamental moves, there is  never  a positional loss.

Sidebar: we can quantify how much a PASSIVE LP loses when the price moves by \(R\)

for orientation:

  • If the stock price drops by 10% the incremental loss for liquidity providers is 13 basis points on their deposit
    • \(\to\) total loss=-10.13%
  • If the stock price rises by 10%, the liquidity provider gains 12 basis points less on the deposit
    • \(\to\) total gain =9.88%

\[\frac{\text{adverse selection loss when the return is \(R\)}}{\text{initial deposit}}=\sqrt{R}-\frac{1}{2}(R+1)\]

see Barbon & Ranaldo (2022)

adverse selection loss
(or: impermanent loss)

Liquidity Demander's Decision & (optimal) AMM Fees

  • Two opposing forces in equilibrium for fee \(F\nearrow\) 
    1.  more liquidity provision
      \(\to\) lower price impact
    2. more fees to pay

Result:

competitive liq provision\(\to\) there exists an optimal (min trading costs) fee \(>0\)

  • \(\to\) derive closed form solution for competitive liquidity provision
  • depends on return distribution, balanced volume, quantity demanded

Similar to Lehar&Parlour (2023) and Hasbrouck, Riviera, Saleh (2023)

  • For trading of a fixed quantity:

    \[\text{LD cost}=\text{AMM price impact} +\text{AMM fee} .\]

\[F^\pi=\frac{1}{E[|\sqrt{R}-1|/2]+V}\left(-2q\ E[\text{position loss}]+ \sqrt{-2qV\ E[\text{position loss}]}\right).\]

assume: liquidity providers add liquidity until they break even in expectation

Liquidity Provision as Options

  • Liquidity = give others the option to trade
     
  • Limit order book: (Copeland & Galai JF 1983) liquidity provision \(=\) is a short strangle: call at the ask, put at the bid
     
  • Hasbrouck, Riviera, Saleh (2024): AMM v3 Liquidity Provision is a covered call
    • long in the underlying (when price drops, they hold the asset)
    • sell a call (when the price rises, their payoff is as if writng a call)
    • earn fees (premium) when the price is below the strike
       
  • Milionis, Moallemi, Roughgarden, and Zhang (2022): A LVR strategy has several analogies in options pricing
    • it's a bit like a protective put: rebalancing protects against losses
    • it's a bit like Delta-Hedging to stay neutral to price movements

Ciamac Moallemi will explain details later!

Loss-vs-Rebalancing

  • Idea:
    • price moves in broader market
    • can rebalance at external price - sometimes at a profit
       
  • Example: in UniSwap v2, your position in the risk asset as a function of its broader price \(P\) for starting liquidity \(L\)  should be \(a(P)=L/\sqrt{P}\) (so: rebalance if not!)
     
  • Value of the rebalancing portfolio \(= \)initial value \(+\) weighted sum of all rebalancing actions
     
  • Loss-vs-rebalancing \(=\) rebalanced portfolio value \(-\) un-rebalanced portfolio
     
  • Theorem (Milionis, Moallemi, Roughgarden, Zhang 2022): non-negative, no decreasing, deterministic function with explicit functional form.

Loss-vs-Rebalancing

\[\text{Liquidity position P\&L}=\text{fee income} +\text{pool value after at \(t\)} -\text{pool value  at \(0\)}\]

\[=\text{rebalanced value at \(t\)} -\text{pool value at \(0\)} +\text{fee income}-\text{LVR}.\]

\[=\underbrace{\text{rebalanced value at \(t\)} -\text{pool value at \(0\)}}_{\text{is hedge-able (Delta-hedge type strategy)}} +\text{fee income}-\text{LVR}.\]

  • How is this useful? \(\to\) compute the P&L of liquidity provision!

\[\text{{\it hedged} Liquidity position P\&L}=\text{fee income}-\text{LVR}.\]

Ciamac Moallemi will later explain how hedging then improves the Sharpe Ratio substantially!

LVR vs IPL

\[\text{{\it hedged} Liquidity position P\&L}=\text{fee income}-\text{LVR}.\]

What's the difference of LVR to ImPermanent Loss?

  1. ex ante they are the same
  2. but LVR allows "profitable" rebalancing (arbitrage against yourself)
  3. IPL assumes someone else does arbitrage \(\to\) creates fees

\(\Rightarrow\) different perspective of market making

\[\text{{\it unhedged} Liquidity Position P\&L}=\text{fee income}-\text{IPL}.\]

Empirical Work

Lehar and Parlour (2021)

Barbon & Ranaldo (2023)

Other notables:

  • Lehar, Parlour, Zoican (2022):
    • study and document fragmentation of liquidity across different fee levels
    • most intense provision-withdrawal activity for low fees \(\to\) UniSwap v3 starts mimicking tradfi
  • Capponi & Jia (2022) study impact of curvature of pricing function
    • Theory: curvature of optimal pricing curve \(\nearrow\) volatility
    • Empirics: cost volatility is 60% lower for stable-coin pairs
    • corr(deposit inflows ,volatility)<0
      corr(deposit inflows ,volume)>0

Malinova & Park (2023): AMM applied to equities would reduce trading costs by 30%

The Microstructure is evolving

A brief look under the hood: the workflow

liquidity pool

blockchain

user

website

router

liquidity pool

blockchain

user

A brief look under the hood: the workflow

aggregator protocol

router

pool 1

blockchain

user

pool 2

multiple
pools

A brief look under the hood: the workflow

back to UniSwap

pool 1

blockchain

user

pool 2

A brief look under the hood: the workflow

back to UniSwap

pool 1

blockchain

user

pool 2

just-in-time
liquidity bots

A brief look under the hood: the workflow

back to UniSwap

pool 1

blockchain

user

pool 2

just-in-time
liquidity bots
in the settlement layer ("MEV")

The big insight: this system is getting more and more sophisticated!

  1. Key Economic Advantages
    • non-custodial
    • risk sharing
    • fee sharing
    • easy use
    • can free up unused capital
  2. Other feature
    • anyone can create a token
    • anyone can use a DEX as a distribution platform
    • nobody really controls the smart contract and how its used
    • \(\Rightarrow\) fair number of scam tokens on DEXes
    • crazy speculation

Take-Home Insights

Concerns around Automated Market Makers

a

b

c

d

e

f

g

Problem 1: Sandwich (MEV) attacks

related paper: “Maximal Extractable Value and Allocative Inefficiencies in Public Blockchains”. A. Capponi, R. Jia, and Y. Wang (2023)

  • With v2 AMM pricing, losses are arbitrarily large (Park 2023)
  • Slippage protection can mitigate losses but comes with execution risk

NB: PBS does not solve the problem

a

b

c

d

e

f

g

Problem 2: Arbitrage Trades that Reduce LVR

  • Key LVR Idea:
    • rebalancing benefits liquidity providers
    • allows lower equilibrium fees

PBS creates the problem

builder/searcher

  • Arbitrage
    • reduces rebalancing benefits
    • \(\to\) eliminates the fee advantage
    • \(\to\) increases equilibrium fees

Problem 3a: Just-In-Time Liquidity (single trade cream skimming)

X-Router

Liquidity pool

OTC

Problem 3b: Just-In-Time Liquidity (at the builder/MEV level)

X-Router

Liquidity pool

searcher/builder

 balanced orders

add as much liquidity as possible

withdraw liquidity

 unbalanced orders

  • the issue: 
    • order flow segmentation increases adverse selection
    • JIT: not enough fees from balanced order flow

related paper: Capponi, Jia, and Zhu (2024) "The Paradox of Just-in-Time Liquidity in Decentralized Exchanges: More Providers Can Lead to Less Liquidity"

Research questions:

  • there is significant empirical work on impermanent loss etc, but eyeballing the data, I am not sure whether the results are right...
  • JIT merits a model that looks at blocktimes etc
  • the routing model creates a new microstructure - relatively unexplored
  • "intent-based markets" vs RFQ? 

 Blockchain: a history

History of Crypto and Blockchain how I'd like you to see it

single-purpose digital money

general purpose platform

DeFi applications

alternative digital money

alternative smart contract platforms

scaling solutions and higher level (d)apps

money applications

An Alternative View of Blockchain

crazy internet money with no value

a vehicle to create unlimited crazy internet money

utility
tokens

DAOs

NFTs

Meme

other crazy
 money

alternative vehicles for vaporware

Crypto-Pumpers are getting more honest

  1. Early new blockchains
    • "Hey, look at my new blockchain and see what it can do - now buy my cryptocurrency" 
    • => 200-300 failed
  2. ICO Bubble
    • "Hey look at the platform that I am going to build! It's going to revolutionize [insert flavor du jour], now buy my utility token"
    • => >1,000 failed
  3. DAO bubble
    • "Hey look at this entity that I created - it's called a DAO and it's totally decentralized and can do all these wonderful things. Now buy my DAO token"
    • => 1,000s failed
  4. NFT bubble
    • "Hey look at this cool picture of an ape - I'm going to create a series of these and people will totally gonna buy this! It's like the Mona Lisa on blockchain! Now buy into my NFT series"
    • => 100,000s failed and 1,000s of rug pulls
  5. Meme coins
    • "Hey, I created this coin. Nothing special about it except its linked to this AI generated picture. Let's pump it on Telegram, maybe some bots pick it up. No, it has no value, just buy it for fun.
    • => failure technically not possible

?

 = Meme Coins!

p'nut

DogWIFHat

Research questions:

  • I don't understand any of this ...
  • Is there a difference between a meme-coin and Bitcoin?

The Bigger Picture and Last Words

Last Words

  • AMMs are a genuinely new market institution
     
  • evolving space, new ideas come up  all the time:
    • UniSwap v4 is here - can it solve the problems?
    • may be embedded in many applications and processes
    • lots to learn
       
  • Will we re-discover and re-create many of the problems of existing markets?

Last Words on Research Questions: The DON'Ts

  • Don't write a paper on Bitcoin (unless you have something interesting to say vis-a-vis memecoins)
  • Definitely don't write an empirical paper on Bitcoin
  • Don't write a paper on factor pricing of crypto-assets
  • Be careful about writing scam related papers: you better be sure and you are not policemen

@financeUTM

andreas.park@rotman.utoronto.ca

slides.com/ap248

sites.google.com/site/parkandreas/

youtube.com/user/andreaspark2812/

From Vitalik Buterin's post on the topic:

https://ethresear.ch/t/improving-front-running-resistance-of-x-y-k-market-makers/1281

  • February 2022: UniSwap (V2), ETH-USDC
    • 38,100 ETH
    • 118M USDC
    • \(p=\$3,097\)
  • Buy: 100 ETH
    • pay approximately $3,105 per ETH. accoridng to bonding curve
  • 100 ETH MEV sandwich attack
    • Initial trade cost: $3,105 per ETH
    • reversing yields $3,121 per ETH
    • total profit of $1,639 \(=\) value extracted from original trader.
  • 1,000 ETH MEV attack
    • profit/loss \(=\) $17K
  • 10,000 ETH MEV attack
    • profit/loss \(=\) $261K.

Theorem (Park 2023): 

  • Constant product pricing and linear limit order book pricing allows unlimited MEV losses
  • Uniform pricing has limited MEV losses but profitable splitting

Hypothetical example

The Bigger Picture: MEV Extraction

  • MEV extraction is a reality and almost inevitable
  • imposes negative externalities as e=bots bid up gas prices
  • "Flashbots" protocol "democratizes" exploits
  • protocols became better at preventing sandwich attacks with better functionality

read more at: "Battle of the Bots: Flash Loans, Miner Extractable Value and Efficient Settlement", Lehar & Parlour, 2023

limit order book periodic auctions AMM
continuous
trading
price discovery with orders
risk
sharing
passive liquidity provision
price
continuity
continuous liquidity
sniping
prevented

Two views

  1. You may trade with uninformed or informed.
    • you may have a position gain (against uninformed) or loss (against informed)
    • example: Aoyagi and Ito (2021) "Coexisting Exchange Platforms: Limit Order Books and Automated Market Makers", Cartea, Drissi, Monga (2023)
  2. You trade over time with informed and uninformed
    • you always lose but get compensated over time
    • examples: Lehar and Parlour (2021), Hasbrouck, Riviera, Saleh (2023), Park (2021), Malinova and Park (2023)
    • Lehar and Parlour (2021) assume that every uninformed trade is off-set by an arbitrageur \(\to\) more fee income
  • between deposit and withdrawal, asset value changes from \(V_0\to V_t\) and price \(p_0\to p_t\)
  • efficient pricing: \(p_t=V_t\)
  • gross return \(R=p_t/p_0\)
  • in AMM, only trades move price
  • between deposit and withdrawal, trade with informed and uninformed

Two views

  1. You may trade with uninformed or informed.
    • you may have a position gain (against uninformed) or loss (against informed)
    • example: Aoyagi and Ito (2021) "Coexisting Exchange Platforms: Limit Order Books and Automated Market Makers", Cartea, Drissi, Monga (2023)
  2. You trade over time with informed and uninformed
    • you always lose but get compensated over time
    • examples: Lehar and Parlour (2021), Hasbrouck, Riviera, Saleh (2023), Park (2021), Malinova and Park (2023)
    • Lehar and Parlour (2021) assume that every uninformed trade is off-set by an arbitrageur \(\to\) more fee income
  • between deposit and withdrawal, asset value changes from \(V_0\to V_t\) and price \(p_0\to p_t\)
  • efficient pricing: \(p_t=V_t\)
  • gross return \(R=p_t/p_0\)
  • in AMM, only trades move price
  • between deposit and withdrawal, trade with informed and uninformed

How the price is determined

  • In v2, for given \(p_0=\frac{c}{a}\), users have ONE degree of freedom.
  • for instance, when you pick prices \(p_u,p_d\) and the quantity \(u\) that you are willing to supply, then the amount of cash that you have to contribute is pre-determined.
  • You can pick \(p_d=p_0\) so that \(\Delta c(d)=0\)
  • In v3, for given \(p_0\), users have THREE degree of freedom.

Theory Literature on AMM

  • Lehar & Parlour (JF 2024): compares LOB with CP for theory and empirics 
  • Barbon & Ranaldo (2022): empirics on trading costs; closed form solution to loss
  • Milionis, Moallemi, Roughgarden, and Zhang (2022) have dynamic analysis of impermanent loss (or, rather, "loss vs rebalancing" (LVR))
  • Hasbrouck, Riviera, Saleh (2023): optimal trading fee \(\not=\) 0
  • Park (2023): analysis of price functions properties
  • Malinova & Park (2023): calibrate AMM to equity markets

Traditional Markets

What is Market Microstructure?

  • How do trading institutions affect market outcomes, e.g.
    • trading costs
    • information efficiency
    • allocative efficiency
       
  • A lot of tricky issues
    • no one model can do it all
    • complex theoretical problems (e.g., infinite regress)
    • large datasets

Broker

Exchange

Internalizer

Wholeseller

Darkpool

Venue

Settlement

Traditional Institutions

Investors

Trading Arrangements

central limit order book

complexity

price impact of trades

anonymity

price discovery

centralized auction

bilateral
negotiation

Request
for Quote

open
outcry

Who trades?

  • Most of the time there is no "coincidence of wants"
  • \(\Rightarrow\) Need intermediating liquidity providers!
  • What's there first?
    • trader's order \(\equiv\) liquidity provision
    • trader's order \(\to\) liquidity provision
    • liquidity provision \(\to\) trader's orders
  • Deeply affects models and modelling choices

Key question for liquidity provision

  • Why is there trading?
    • diversification/liquidity shocks
    • private information
    • arbitrage

Seminal papers

  • trader's order \(\equiv\) liquidity provision
  • trader's order \(\to\) liquidity provision
  • liquidity provision \(\to\) trader's orders

What's there first? Orders or Liquidity?

Seminal papers

  • trader's order \(\equiv\) liquidity provision
    • Grossman & Stiglitz (AER 1980)
  • trader's order \(\to\) liquidity provision
    • Kyle (ECTA 1985)
    • Grossman & Miller (JF 1988)
  • liquidity provision \(\to\) trader's orders
    • Glosten & Milgrom (JFE 1986)
    • Foucault (JFM 1999)
  • people "buy" noisy information
  • demand = supply
  • price reveals information
  • marginal value of info = cost of info
  • competitive liquidity provider receives order flow and sets zero-profit price
  • noise trader order flow
  • monopolist informed  trader cautiously trades over time to conceal info
  • slope of the price curve measures liquidity
  • risk-averse market makers require compensation for risk-taking (position risk)
  • liquidity-motivated traders submits order
  • what determines the price slope?
  • informed and uninformed arrive in random sequence at the market
  • market maker posts bid and ask prices that account for info-driven loss
  • what determines the spread?
  • submit market vs limit order?
  • post limit order = trading option for others
  • fundamental may change and may not be able to adjust limit order
  • gives rise to price slope and spread

Basics of liquidity provision under value uncertainty

  • fundamental value up
    • \(\Rightarrow\) price up
      • \(\Rightarrow\) sell the asset for less than its worth
  • fundamental value down
    • \(\Rightarrow\) price up
      • \(\Rightarrow\) buy the asset for more than its worth

Questions:

  • What are the fees/cash sources of income?
  • When does/did the value change?
  • When do I assess the positional gain/loss?
  • liquidity provision = accept a risk
  • risk = fundamental value may change (or may have already changed and you don't know it)

every model has some form of structure like

\[\text{trading income (fees, spreads, etc)} +\underbrace{\text{what I sold it for}-\text{value of net position}}_{\text{positional gain/loss}} \ge \text{outside option} \]

Example 1: Grossman/Miller

  • Any position is a risk \(\to\) cost
  • always over-price the trade to compensate for risk

Example 2: Kyle or Glosten-Milgrom

  • trade with informed:
    • receive too little/pay too much
  • trade with uninformed:
    • pay too little/receive too much
  • trade-by-trade view
    • can either trade on "other" market
    • hold asset to maturity

Example 3: Limit order market (a la Glosten 1994)

  • trade with uninformed:
    • overprice small orders
  • trade with informed:
    • underprice small orders

Crypto vs TradFi Markets

  1. Self-custody of assets
  2. Access to financial infrastructure
  3. Blockchain as value management layer = common resource
  4. Platform approach to commerce

Key Differences Defi vs TradiFi

  • data: authors calculations from TAQ (up to March 2023)
  • crypto volume worldwide is larger than US retail by factor >4

Broker

Exchange

Internalizer

Wholeseller

Darkpool

Venue

Settlement

Investor

Centralized Trading

Issues and concerns with CEX trading

  • No shortage of drama!
  • A short list of issues
    1. expensive arbitrage
    2. price manipulation
    3. volume manipulation
    4. security risk
    5. Google "Lazarus Group"
    6. Are they unlicensed securities exchanges?

Costly Arbitrage

BTC/USD

ask: 7,600 

bid: 7,550

BTC/USD

ask: 7,500 

bid: 7,450

buy BTC

sell BTC

move BTC to Kraken

=> arbitrage = commit capital on multiple exchanges

Crypto Wash Trading, Lin William Cong, Xi Li, Ke Tang, Yang Yang

  • systematic tests:
    • robust statistical and behavioral patterns in trading to detect fake transactions on 29 cryptocurrency exchanges.
    • Regulated exchanges are OK
    • unregulated exchanges: rampant manipulations
    • wash trading on each unregulated exchange:  
      • on average over 70% of the reported volume
      • improve exchange ranking
      • temporarily distort prices

Volume Manipulation

Cryptocurrency Pump-and-Dump Schemes
Tao Li, Donghwa Shin, and Baolian Wang, 2020

What is pump and dump?

arranged via Telegram Channels

Price Manipulation: Pump & Dump

August 2016

Security Risk

where do I find these plots? theblock.co/data/

... 300 lines of code ...

Can we run a limit order book directly on the blockchain? Yes, but ...

  • for reference: NASDAQ creates several peta-bytes worth of data each month!
  • \(\to\) on-chain order book is a really bad idea!
  • \(\to\) Data-intensive, computation intensive, costly, inefficient

How do people trade on-chain?

Literature

AMM Literature: a booming field

  • Theory
    • Lehar and Parlour (2021): for many parametric configurations, investors prefer AMMs over the limit order market.

    • Aoyagi and Ito (2021): co-existence of a centralized exchange and an automated market maker;  informed traders react non-monotonically to changes in the risky asset’s volatility

    • Capponi and Jia (2021): price volatility \(\to\) welfare of AMM LPs;  conditions for a breakdown of liquidity supply in the automated system; more convex pricing \(\to\) lower arbitrage rents & less trading.

    • Capponi, Jia, and Wang (2022): decision problems of validators, traders, and MEV bots under the Flashbots protocol.

    • Park (2021):  properties and conceptual challenges for AMM pricing functions

    • Milionis, Moallemi, Roughgarden, and Zhang (2022): dynamic impermanent loss analysis for under constant product pricing.

    • Hasbrouck, Rivera, and Saleh (2022): higher fee \(\Rightarrow\) higher volume

  • Empirics:

    • Lehar and Parlour (2021): price discovery better on AMMs

    • Barbon and Ranaldo (2022): compare the liquidity CEX and DEX; argue that DEX prices are less efficient.

  • Math Literature: large number of papers that study AMMs in applied maths
    • e.g. Cartea, Drissi, Monga (2023): closed form solution to IPL and optimizing strategy

Trading Infrastructure

payments network

Stock Exchange

Clearing House

custodian

custodian

 beneficial ownership record

seller

buyer

Broker

Broker

IS BITCOIN REALLY UN-TETHERED? JOHN M. GRIFFIN and AMIN SHAMS
Journal of Finance 2020

  • Tether = ‘pushed’
    • print an unbacked digital dollar to purchase Bitcoin.
    • \(\to\) additional supply of Tether creates unwarranted inflation in Bitcoin price

vs.

  • Tether = ‘pulled’
    • driven by legitimate demand from investors who use Tether as a medium of exchange
    • \(\to\) the price impact of Tether reflects natural market demand

Price Manipulation: Pumping Bitcoin

Price Manipulation: Pumping Bitcoin

Figure 1. Aggregate Flow of Tether between Major Addresses

marginal pricing function

quantity \(q\)

price \(p^m(q)\)

Illustration of pricing

Some Pricing Rules from Traditional Markets: Limit Order Book

  • Liquidity providers submit sell orders \(s_1(p_1,q_1),\ldots,s(p_n,q_n)\)
  • Matching engine sorts order increasing by price
  • someone who  wants to buy quantity

    \[q\in\left(\sum_{i=1}^{m-1} q_i,\sum_{i=1}^{m} q_i\right]~~~\text{pays}~~\Delta c(q)=\sum_{i=1}^mq_i\cdot p_i.\]

     
  • For a simpler exposition,  assume that the price-quantity curve can be expressed by a continuous marginal price function \(\rho(s)\) so that

\[\Delta c(q)=\int_0^q\rho(s) ds.\]

Returns to Liquidity Provision

For fixed balanced volume \(V\) and fee \(F\)

  • Larger pool \(\to\) smaller share of fees
  • \(\to\) LP expected return \(\searrow\) pool size

Competitive liquidity provision

  • \(\Rightarrow\) upper bound on pool size above which LPs lose money
  • Here: characterize this amount by the asset's market cap to be deposited to the pool (notation: \(\overline{\alpha}\))

Basics of Liquidity Provision

\[\text{LP payoff}=\text{what I sold it for}-\text{value of net position}+\text{fee income}\]

  • \(R\) = asset return
  • F = trading fee
  • V = balanced volume
  • a = size of the liquidity pool

see Lehar and Parlour (2023), Barbon & Ranaldo (2022).

(incremental) adverse selection loss when the return is \(R\)

fees earned

on informed

fees earned

on balanced flow

for reference:

  • If the asset price drops by 10% the incremental loss for liquidity providers is 13 basis points on their deposit
    • \(\to\) total loss=-10.13%
  • If the asset price rises by 10%, the liquidity provider gains 12 basis points less on the deposit
    • \(\to\) total gain =9.88%

positional loss

Basics of Liquidity Provision

\[\frac{1}{\text{initial deposit}}\int_0^\infty(\Delta c(q^*)-q^*p_t(R)+F \cdot \Delta c(q^*))~\phi(R)dR +\frac{F p_0 V}{\text{initial deposit}}\ge 0\]

\[\int_0^\infty\left(\frac{\Delta c(q^*)-q^*p_t(R)}{\text{initial deposit}} +F \cdot \frac{\Delta c(q^*)}{\text{initial deposit}}\right)~\phi(R)dR +\frac{F p_0 V}{\text{initial deposit}}\ge 0\]

closed form functions of \(R\) only
(see Barbon & Ranaldo (2022))

\[\underbrace{F \int DV \mu(DV) }_{\text{fees earned on}\atop \text{balanced flow}}+\int_0^\infty\underbrace{(\Delta c(q^*)-q^*p_t(R)}_{\text{adverse selection loss} \atop \text{when the return is {\it R}}} +\underbrace{F \cdot \Delta c(q^*))}_{\text{fees earned}\atop \text{from arbitrageurs}}~\phi(R)dR \ge 0.\]

Basics of Liquidity Provision

\(\Rightarrow\) \(\Delta c(q^*)-q^*p_t(R)\) is also referred to as the "impermanent loss" or "divergence loss"

\(\Delta c(q^*)-q^*p_t(R)=\underbrace{p_t(R)\times(a-q^*)  +c+\Delta c(q^*)}_{\text{value of liquidity deposit}}-\underbrace{(p_t(R)a+c)}_{\text{value of buy-} \atop \text{and-hold position}}\)

see Milionis, Moallemi, Roughgarden, and Zhang (2022) for a dynamic analysis of impermanent loss

Basics of Liquidity Provision

Liquidity provision measured as "collective" deposit \(\alpha\) of token's market cap as function of

  • balanced volume
  • return distribution
    (some authors use explicit functions so they can relate it to asset volatility)
  • fee

\[E[\text{DL}(R)]+F\cdot E[\text{another function of }R]+F\cdot \frac{\text{E[dollar volume]}}{\text{initial deposit}}\ge 0.\]

\[\text{what I sold it for}-\text{value of net position}+\text{fee income} \ge 0 \]

The Decision of the Liquidity Demander

  • Wants to trade some quantity \(q\) at cost

    \[\text{AMM price impact} +\text{AMM fee}.\]
  • two opposing forces for \(F\nearrow\) for liquidity demand
    • more liquidity provision
      \(\to\) lower price impact
    • more fees to pay
  • Finding: There is a minimal cost fee:

\[F^\pi=\frac{1}{E[|\sqrt{R}-1|/2]+E[DV]}\left(-2q\ E[\text{DL}]+ \sqrt{-2qE[DV]\ E[\text{DL}]}\right).\]

this is from Malinova and Park (2023); similar result is in Hasbrouk, Riviera, Saleh (2023)

Model Summary

  • Have: equilibrium choice for liquidity provision.
    Useful feature: can express liquidity  by % market cap of token/asset
     
  • Can measure cost for liquidity demanders to use AMM.
     
  • Know: fee that maximizes liquidity demander benefit (\(\not=0\))

The Pricing Function

Liquidity Deposit \(\Rightarrow\) slope of the price curve 

  • Most common form of AMM liquidity rule is Constant Product Pricing
    \[L(a,c)=a\cdot c~\Rightarrow~a\cdot c= (a-q)\cdot (c+\Delta c).\]
  • Total cost of trading \(q\) \[\Delta c=\frac{cq}{a-q}.\]
  • Price per unit \[p(q)=\frac{c}{a-q}.\]
  • Average spread paid\[\frac{p(q)}{p(0)}-1=\frac{q}{a-q}.\]
  • makes asset and cash deposit
  • more deposits flatter price curve
    • attracts more volume
    • but larger "positional" loss when prices move

The Pricing Function (just a little more)

  • A limit order book has a marginal price function \(\rho(q)\) so that \[\Delta c(q)=\int_0^q\rho(s) ds.\]
  • We can do that here, too: for
    \[\rho(q)=\frac{ac}{(a - q)^2},\]
    we have \[\int_0^q \frac{ac}{(a - s)^2}ds=\frac{cq}{a-q}.\]
  • \(\to\) Constant Product = special case of a limit order book.

The Pricing Function (almost done, just one more thing)

  • Suppose we start with a price \(P\) and end with a price \(P'=R\cdot P\).
  • We know by definition
    \[P=\frac{c}{a},~P'=\frac{c'}{a'},~L=\sqrt{ac},~L=\sqrt{a'c'}.\]
     
  • Then it holds that \[a=\frac{L}{\sqrt{P}},~c=L\sqrt{P},~a'=\frac{L}{\sqrt{P'}},~c'=L\sqrt{P'}.\]
  • For the price to move from \(P\) to \(P'\), quantities \(q,\Delta c\) change hands.
  • Therefore \(a'=a-q,~c'=c+\Delta c\)
  • Combine with the above \[a-q=\frac{L}{\sqrt{P'}}~\Leftrightarrow~q=L\left(\frac{1}{\sqrt{P}}-\frac{1}{\sqrt{P'}}\right).\]
  • do the same for \(\Delta c\) \[\Delta c= L\left(\sqrt{P'}-\sqrt{P}\right).\]
  • the per unit price for the trade of \(\Delta x\) is \[\frac{\Delta c}{q}=\sqrt{PP'}=P\sqrt{R}.\]
  • \(\to\) avg price is the geometric mean of the prices

AMMs continue to evolve: UniSwap v3

Basic idea:

  1. allow different fees (let's ignore)
  2. don't supply liquidity for entire price range \((0,\infty)\) but only \([p_a,p_b]\)
  • idea: project the iso-liquidity curve back to the axes
  • price in this range is determined by constant product rule

Source:" Uniswap v3 Core," Adams, Zinsmeister, Salem, Keefer, Robinson (2021)

  • current price at point \(c\): \(p_c\)
  • \(x_{\text{real}}=\) max of \(X\) you buy
  • \(y_{\text{real}}=\) max of \(Y\) you buy
  • pricing effectively occurs on a grid
  • it's not straightforward to describe the pricing function without lots of new notation

Some UniSwap v3 maths (Barbon & Ranaldo 2023)

Source: Elsts (2021) "Liquidity Math in UniSwap v3"

  • We are interested in "virtual limit orders"
    • for selling known \(x\Rightarrow y=0\) (only sell) have known \(P,x,y,p_a\):
      • what is the (ask) price \(p_b\)?
    • for selling up to price \(p_b\) \(\Rightarrow y=0\) (only sell) have known \(P,y,p_a,p_b\):
      • what is the quantity \(x\)?
  • When the price is in interior of \((p_a,p_b)\) liquidity provided "to the left" of the price must coincide with liquidity provided to the right.
  • We can derive conditions \[x=L\ \frac{\sqrt{p_b}-\sqrt{P}}{\sqrt{p_b}\sqrt{P}}\]
    \[y=L\ (\sqrt{P}-\sqrt{p_a})\]
  • \(\tilde{x},\tilde{y}\) the "real" reserves, \(x,y\) the virtual reserves
  • \(P\) the price of "\(x\)" (asset) in "\(y\)" (cash), with \(P\in[p_a,p_b]\)
  • \(L\) the liquidity 
  • Constant product function: \(L=\sqrt{xy}\)
  • And then \[L^2=\left(\tilde{x}+\frac{L}{\sqrt{p_b}}\right)\left(\tilde{y}+L\sqrt{p_a}\right).\]
  • At the price bounds, the real amounts are either \(x=0\) or \(y=0\). We can derive conditions \[x=L\ \frac{\sqrt{p_b}-\sqrt{p_a}}{\sqrt{p_b}\sqrt{p_b}}\]
    \[y=L\ (\sqrt{p_b}-\sqrt{p_a})\]

Problem: MEMPOOL Frontrunning is intrinsically profitable

\(X\)

\(Y\)

normal trade: sell \(x\) \(\to\) get \(y'\)

\(Y-y'\)

\(X+x\)

front-running:

  1. front-runner: sells \(x\) \(\to\) gets \(y'\)
  2. front-run: sells \(x\) \(\to\) gets \(y''\)
  3. front-runner: buys \(x\) \(\to\) pays \(y''\) 

\(Y-y'-y''\)

\(X+2x\)

\(y'>y''~\Rightarrow\)

front-running is intrinsically profitable

Disclaimer:

  • this problem is well-known
  • fees can mitigate it
  • several protocols such as the latest iteration by Balancer try to combat it

Dark side of DEx trading: Miner extractable value

Application 1: decentralized trading with automated market makers

Problems:

  • How to get liquidity?
  • How do you attract traders?

lesser problem because

  • tokens trade elsewhere
  • arbitrage creates activity

Common solution: create a reward token! Here's how this works

Step 4: users receive a reward token based on the time that they lock up the "receipt" token

Step 3: users lock up the "receipt" token in a smart contract

Step 2: users contribute liquidity and get a "receipt" token

Step 1: create reward tokens and deposit into a smart contract

borrow

provide collateral

Application: Pool-based borrowing and lending

Application 2: decentralized Borrowing and Lending

Same problems as with trading:

  • How to get liquidity?
  • How do you attract borrowers?

But: in contrast to trading, here you need both!

liquidity \(\nearrow\)

volume \(\nearrow\)

protocol fees \(\nearrow\)

token value \(\nearrow\)

Platform economics is tricky:

  • What's the product?
  • How do you get it started?
  • How do you get people to contribute?
  • How do you earn money?

Without intermediaries:
platform economics!

incentives for both?

What value do these tokens have?

  1. Functionality:
    • fee levels for AMMs
    • decision to deploy on other chains
    • key threshold values for lending
  2. Monetary value
    • implicit claims on "protocol" income
    • implicit claim on reserve pools

Vampire Attacks and Other Shenanigans

Source: https://finematics.com/vampire-attack-sushiswap-explained/

  • Vampire Attack:
    • syphon liquidity from a different protocol
    • using your own token!!!
  • Mechanism: 
    • deposit in UniSwap, receive LP token
    • deposit LP token to Sushi, receive rewards
    • liquidate LP token and migrate original liquidity to Sushi = "suck out the blood from UniSwap"

another common trick:

  • pump the price of the reward tokens
  • \(\Rightarrow\) "yields" often exceed 500%

Blockchain and Crypto for PhDs

By Andreas Park

Blockchain and Crypto for PhDs

Presentation for the 2024 Rotman Finance PhD topics course

  • 1,008