Ariel Feldman
Neuroengineering graduate student at Carnegie Mellon University. Previously at Rice University.
Parahippocampal Spatial Navigation: The Role of the Grid Cell
Ariel K. Feldman, Program in Neural Computation
A Brief History of Spatial Understanding
Drivers of CA1 Spatial Firing
Park et al., PLOS ONE 2019
EC-CA1 connection sufficient for spatial recollection
Layers II/III of Medial Entorhinal Cortex (MEC) to CA3/CA1
MEC Projections
Perforant pathway
Layers II/IV -> DG & CA3
Layers III/V -> Subiculum & CA1
^ From here
Grid Cells
What is a Grid Cell?
Found in Layer II of MEC
Stellate & pyramidal cells
Tang et al., Neuron 2014
Voltage-dependent intrinsic oscillations faster than theta?
Representation of interference?
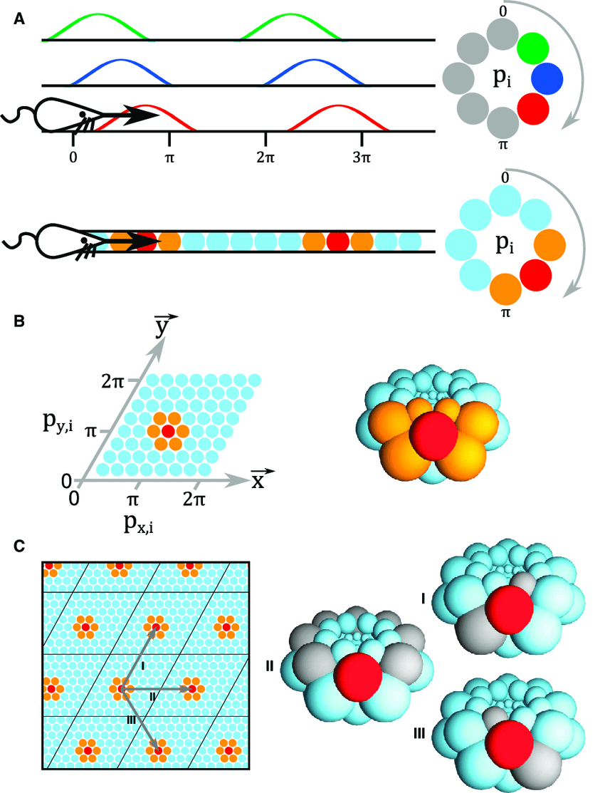
A Metric for Spatial Representation
Population code with similar precision
Periodic triangular spatial firing arrays
Metric system of spatial navigation
Computations in EC instead of H?
Characteristics of Grid Cell Firing
Spacing
Orientation
Phase
Distance between blobs
Tilt relative to ext. axis
Displacement relative to ext. refernce point
Neurobiological Correlates
Topography of Grid Cell Firing
Spacing
Orientation
Dorsomedial -> ventrolateral increases monotonically
Similar for colocalized neurons; underlying topography unknown
Similar to place field size along dorsoventral axis
Topography of Grid Cell Firing
Phase
Colocalization had no impact
Same spacing/orientation; slight phase shift superimposition
Firing vertices shift randomly
Entorhinal Cortex Architecture
Periodic bundling of pyramidal dendrites and axons -> modularity?
Correlation to functionally segregated grid maps?
Little to no evidence as of yet
Information in Population Activity
Modules
Single cells have hexagonal firing fields
Relative firing positions form rhombus shape
Unified in scale/orientation, differ in firing position
Modules
Extrinsic Cues & Self Motion
Path Integration
External landmarks (allothetic cues) vs self motion (idiothetic cues)
Self motion the main source for grid maintenance/updates
Grid fields persist despite removal/replacement of salient landmarks
Anchored to boundaries & landmarks in an environment
Basic firing matrix influenced by self motion/path integration
Receive inputs from head-direction cells, boundary cells, etc.
Alignment to Unique Landmarks
Grid rotates with cue card
Indicates phase and orientation are influenced by external cues
Questions?
By Ariel Feldman
How is emotional content added to episodic memories and stored in the brain? How do different regions in the limbic system interact to achieve this?
Neuroengineering graduate student at Carnegie Mellon University. Previously at Rice University.