Qwind 2

Improvements respect to Qwind

  1. Model for initial conditions
  2. Better radiative transfer
  3. Self-consistent mass accretion rate
  4. Physical SED

1. Initial conditions

  • Locally, solve the 1-D line-driven wind problem.
  • Analogous to O-stars but:
    • Different gravity (disc) z / r^3
    • Different radiation (constant)
  • Solve momentum equation to compute mass-loss rate
  • Start Qwind at the sonic point (very close to the disc)

2. Radiative transfer

3. Self-consistent mass accretion rate

  • Initial conditions depend on local Mdot through the local temperature
  • Initial density and velocity are adjusted after every iteration

4. Physical SED

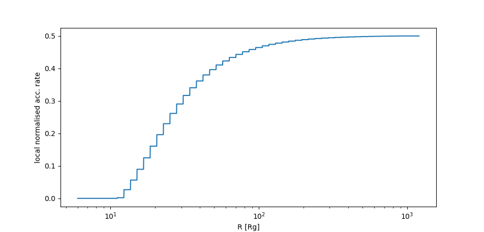
We launch a wind everywhere with Mdot > 0 (starting at 6Rg)

Local flux profile follows QSOSED

deck

By arnauqb

deck

  • 772