• Goal: Distinguish different dark energy models using supernovae data.
  • Traditionally done through Bayesian techniques. Cons: time expensive.
  • This paper proposes using a VAE-GAN (vegan hereafter) to do model selection.

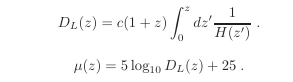
Data

Vegan = VAE + GAN

Generative Adversarial Network (GAN)

We want to:

  • Learn the distribution that generates the data p(x).
  • Generate new samples from p(x)

How we do it:

  • Two CNNs: Generator G and Discriminator D.
  • We train G to generate new "fake" samples to trick D.
  • We train D to distinguish fake and real samples.
  • Training ends when there is a "stalemate".

Generative Adversarial Network (GAN)

Example

Variational AutoEnoder (VAE)

Loss function:

Vegan = VAE + GAN

Model comp

By arnauqb

Model comp

  • 920