Machine Learning


Domaine d’étude qui donne aux ordinateurs la capacité d’apprendre sans avoir été explicitement programmés pour cela. Arthur Samuel (1959)







Réseaux de neurones


Probabilité

Nom des

montagnes

Pixels

Correction des probabilités = l'entraînement

Traitement






    


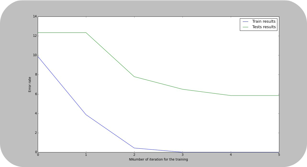
TAUX D'ERREUR

 






Cas de surapprentissage

Apprentissage correct

Surapprentissage


Outils de DÉVELOPPEMENT

 

The web framework for perfectionists with deadlines

Travail collaboratif

+

+

Environnement virtuel




Hébergement






ec2

S3

montagram technique

By Baptiste Desbiolles

montagram technique

  • 920