The non-Gaussian mapping from redshift to real space

In collaboration with:
Baojiu Li, Carlton Baugh, Alexander Eggemeier, Pauline Zarrouk, Takahiro Nishimichi and Masahiro Takada
Carolina Cuesta-Lazaro

Space-time
geometetry
Energy content
Adding new degrees of freedom
- To the energy content (dynamic) DARK ENERGY
- To the way space-time geometry reacts to the energy content MODIFIED GRAVITY (FIFTH FORCES)
?
Fifth forces modify structure growth

GROWTH
- GRAVITY
- FIFTH FORCE
+ EXPANSION
Credit: Cartoon depicting Willem de Sitter as Lambda from Algemeen Handelsblad (1930).
GR vs MG
PECULIAR VELOCITIES
GALAXY SURVEYS











Streaming Model of Redshift Space Distortions
PAIRWISE VELOCITY
DISTRIBUTION




Probability of finding a pair of galaxies at distance r
Virial motions within halos







Infall towards halos




























Generating skewness by using the Cummulative distribution
Azzalini Capitanio '09
Symmetric
Odd function

Zu Weinberg '13
Mean
Variance
Skewness
Kurtosis
= 4 free parameters


















Conclusions
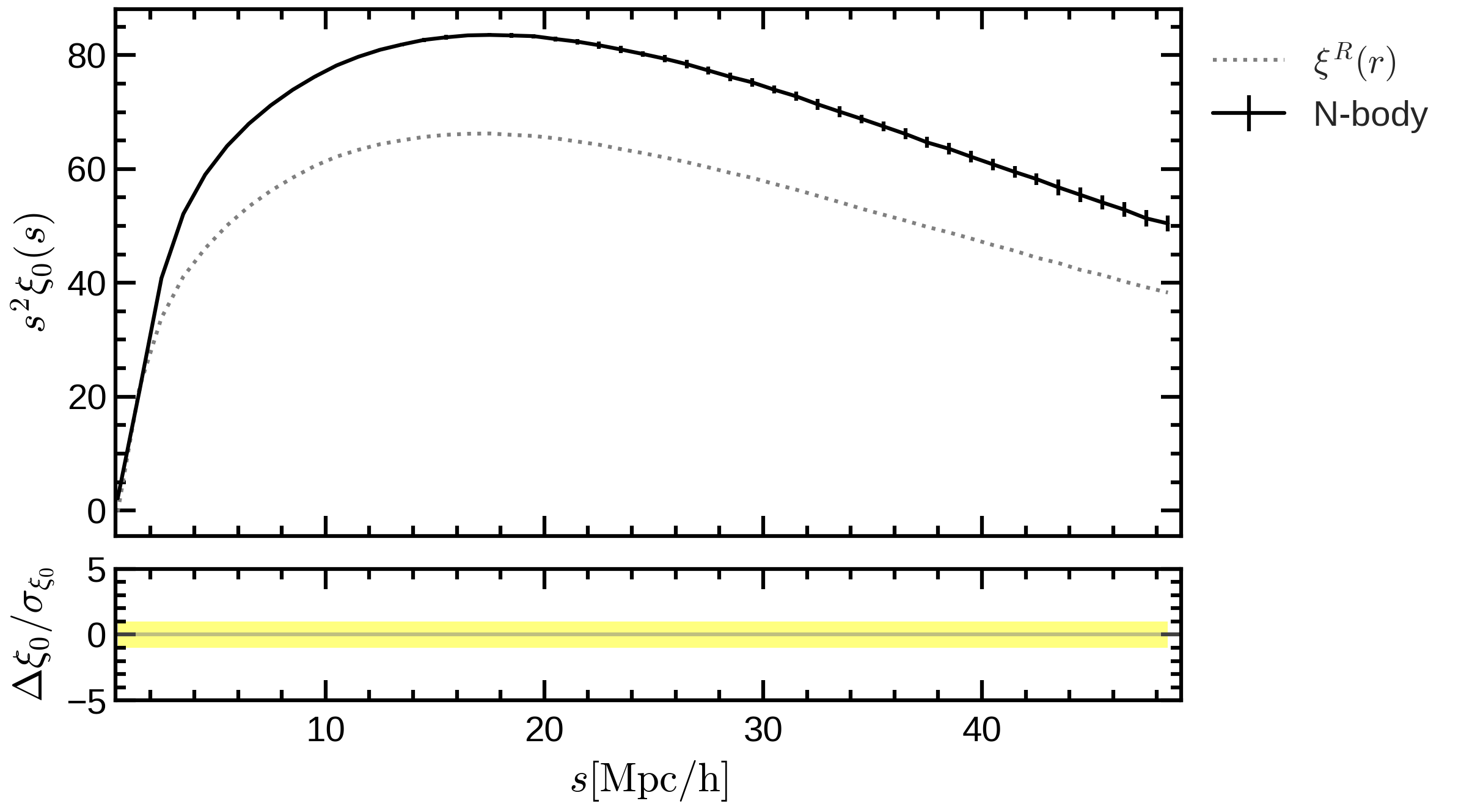
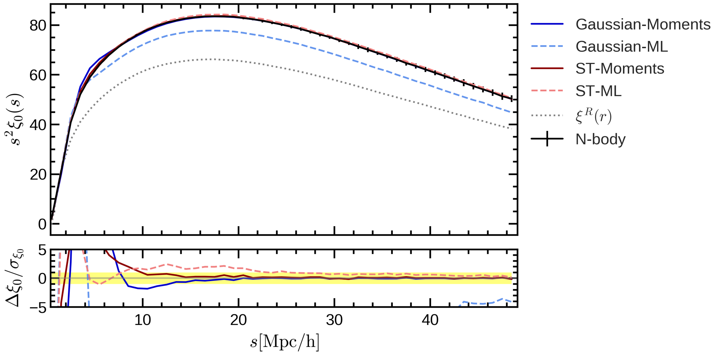
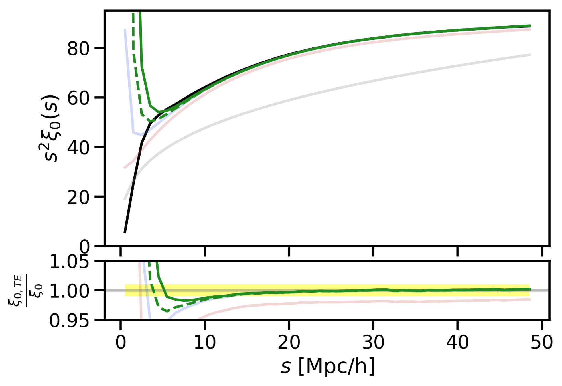
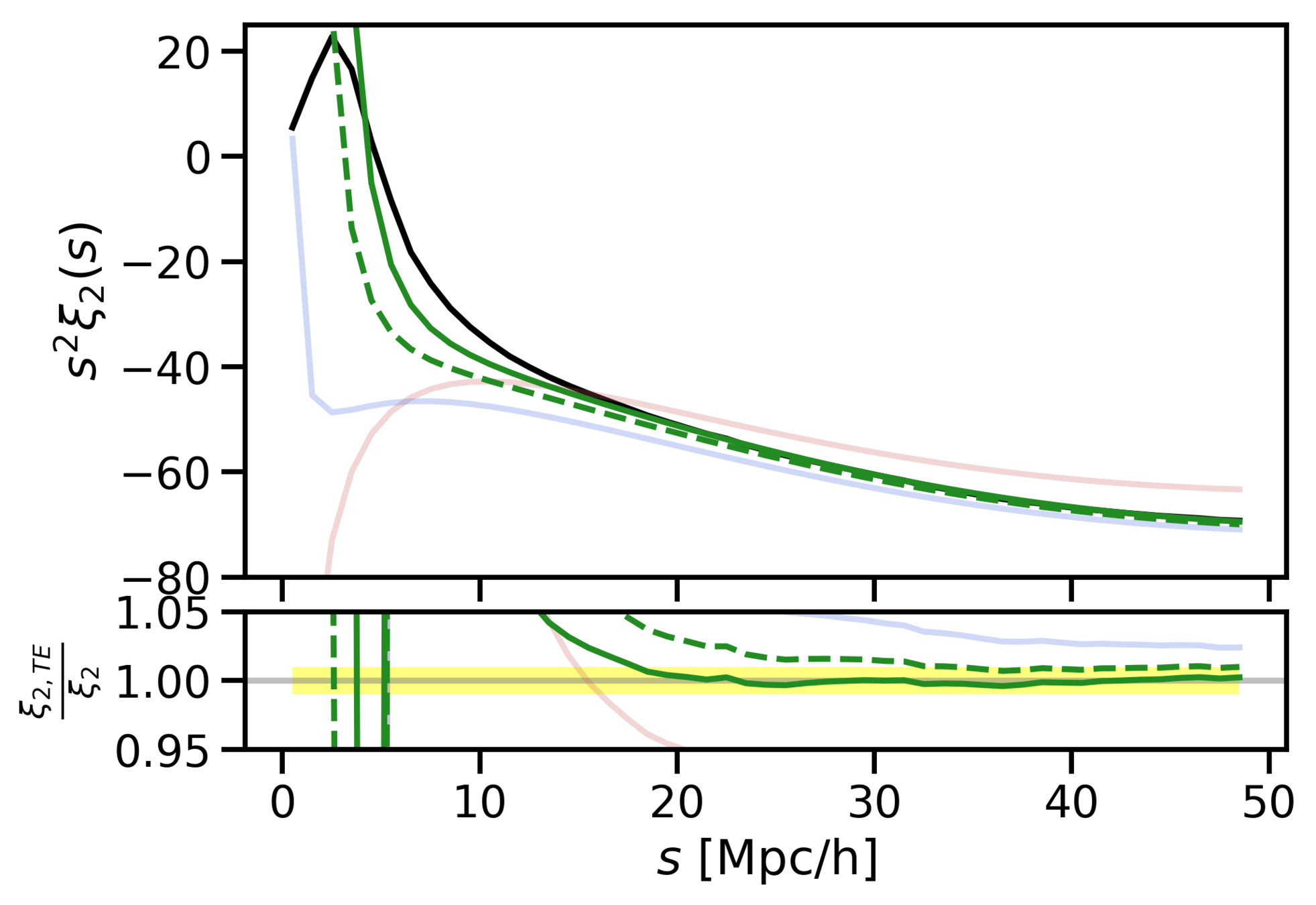
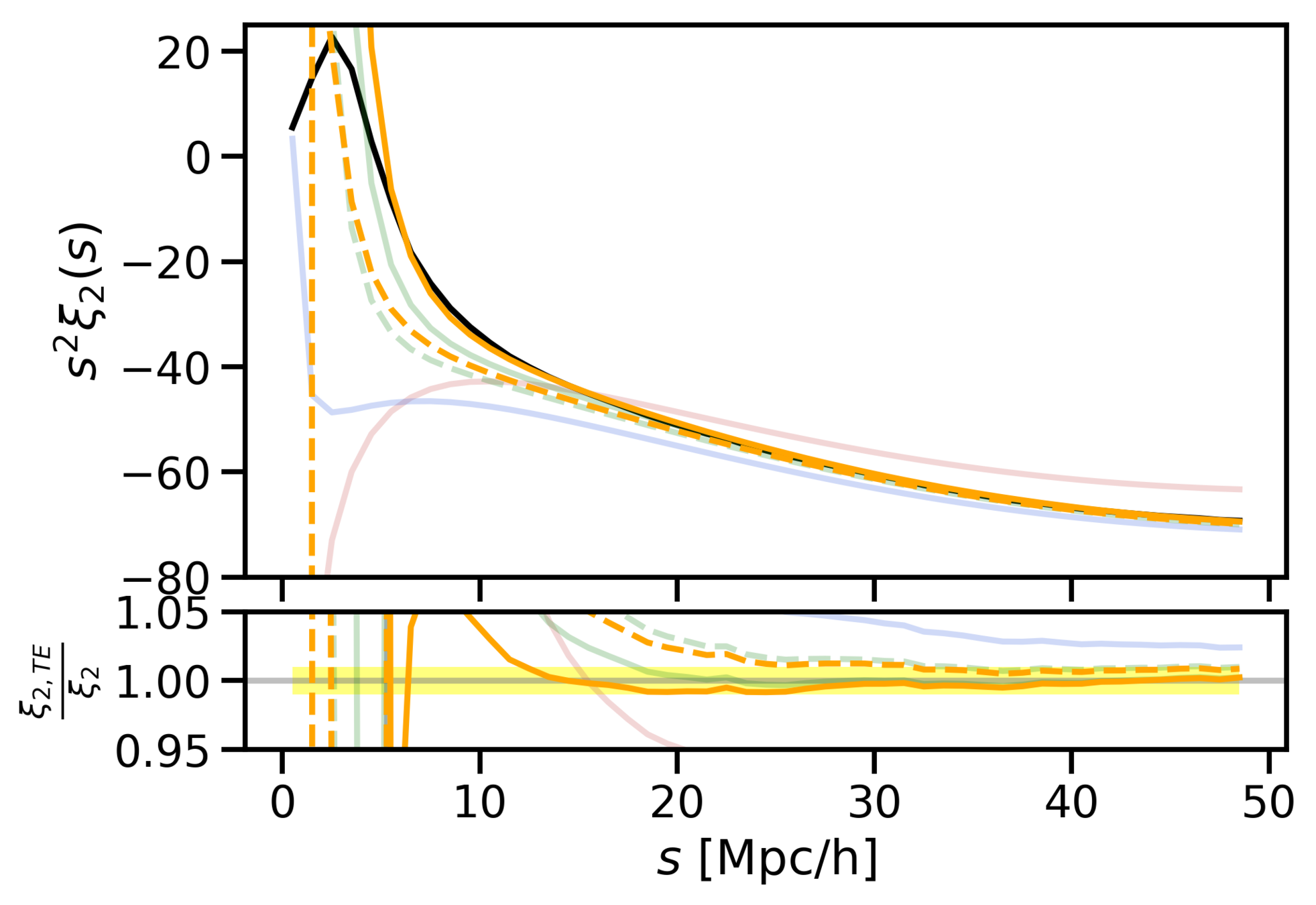
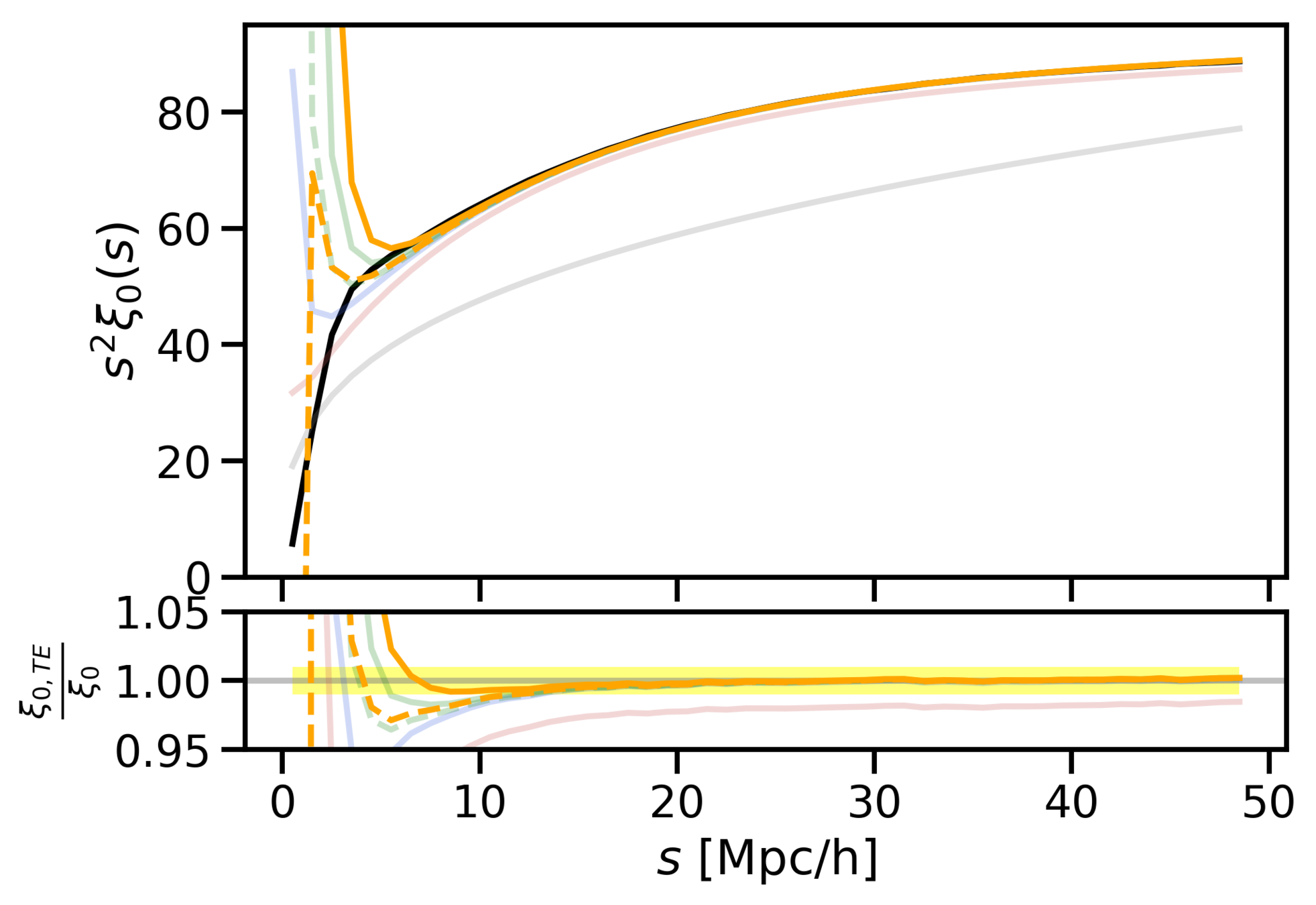
- We have found an accurate mapping (up to 10 Mpc/h) from redshift to real space by adding skewness and kurtosis to the pairwise velocity distribution.
- But, how much does this improve our estimate of the growth factor? -> Next step
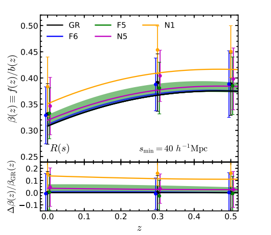
- The Gaussian model works well up to intermidiate scales (around 40 Mpc/h), because it has the right first two moments: mean and variance.
Streaming Model of Redshift Space Distortions
PAIRWISE VELOCITY
DISTRIBUTION






















Why does Gaussianity work so well?
Peaks at
goes quickly to 0
Peaks at

Why does Gaussianity work so well?




Taylor expansion








SKEWNESS (c3)
KURTOSIS
Gaussian
(c3=0)

Growth rate might be different on
different scales
Growth of strcuture
Redshift
Edinburgh_2020
By carol cuesta
Edinburgh_2020
- 523