YÜKSEKLİSANS
TEZ SAVUNMASI
GLOBAL VE BÖLGESEL OLARAK
GRACE L2 VERİLERİNİN PCA İLE ANALİZİ

Ceren Altunal Podlech
Tez Danışmanı: Doç. Dr. H. Hakan Denli
Geomatik Mühendisliği Programı
İÇİNDEKİLER
- Tezin amacı
- GRACE
- GRACE & Hidroloji
- Veriseti, yöntem, Çalışma Bölgesi
- Verinin hazırlanması
- GRACE verisinin PCA ile analizi
- Maske tanımlanması
- Farklı versiyon GRACE verilerinin PCA yardımı ile bölgesel olarak karşılaştırılması
- GRACE Verilerindeki boşlukların PCA sonuçlarına etkisinin incelenmesi
- Ölçme verileri ile PCA sonuçlarının karşılaştırılması
- WGHM ve GRACE verilerinin PCA sonuçlarının karşılaştırılması
- Sonuçlar
- Referanslar
TEZİN AMACI
Farklı versiyon GRACE verilerindeki gürültünün, sinyal sızıntısının, sinyal kaybının global ve bölgesel olarak incelenemesi.
GRACE verinin kendi arasında ve hidroloji verilerinin (WGHM modeli ve ölçme verisi) ile karşılaştırılması.
GİRİŞ
GRACE

- Alman & ABD işbirliği ile 2002 Mart ayında fırlatıldı
- GRACE uydu sistemi birbirinden yaklaşık 220+- 50 km uzaklıkta ikiz (GRACE-1 & GRACE-2) uyduları
- Yörünge düzlemi ekvatorla 89.5° lik açı
- Yerden yüksekliği 485 km
- Uydular arasındaki mesafe değişimlerini ölçmek için K bantlarda (24GHz-32GHz) çalısan mesafe ölçer (KBR)
- Zaman ve uydu konumunu belirlemek amacı ile GPS alıcı & Satellite Laser Ranging (SLR)


Yerçekiminde gözlenen aylık değişimler bu süreçdeki kütle değişiminden kaynaklanmaktadır.
Kütle değişimleri yeryüzeyine yakın su kalınlığı değişimlerinden kaynaklandığı kabul edilebilir.
Gerçekte; okyanus hareketleri, atmosferik ve kara buz kütleleri ve bu bileşenler arasındaki kütle değişimleri hidrolojik rezervuarlar ve su depolarındaki değişimlere yol açar.
GRACE & Hidroloji




Kıtasal hidroloji döngüsünün izlenmesi
Global su dengesi
Depo değişimi= Giren su (yagış ) - Çıkan su (buharlaşma+yüzeysel akış)
Veriseti, Yöntem & Çalışma bölgesi

Verilerin hazırlanması
TWS değişimlerinin Jeopotansiyel katsayılardan elde edilmesi
Yüzey kütlelerinin yer değiştirmesi ve yeniden dağılımı yerkabuğunun yüklemeye maruz kalmasına ve deforme olmasına neden olur. Yüklemeden kaynaklanan potensiyel ve jeoit değişimlerinin
modellenmesi için Love sayıları kullanılmaktadır (kn).
->Normalleştirilmiş Legendre Fonksiyonu
-> Enlem, Boylam
Dünyanın ortalama yoğunluğu

R-> Dünya referans yarıçapı
Filitreleme
Amaç: Veri-setindeki istenmeyen gürültünün giderilmesi
Gauss Filter:
Etkili yumuşatma yarı çapı belirlenebilmesi için;
Gercek sinyalin konumsal büyüklüğü (etkilediği alan)
ve tecrübe gereklidir.
çok küçük yarıcap -> kütle sinyali çok gürültülü,
çok büyük yarıcap -> sinyal çok yumusatılmış bölge, dışına sinyal sızmaktadır.
Gauss Filter->Küresel katsayılar arasındaki korelasyonlu hataların giderilmesinde yetersiz
Çözüm->dekoralasyon filtresi
korelasyonlu serilere yüksek derecede bir fonksiyon uydurmak ve bu polinomun çıkartılması




Filtrelenmemiş
250 km
500 km
1000 km
Veriseti: 2010 Mart-Eylül GRACE L2
GRACE VERİSİNİN PCA İLE ANALİZİ
PCA

GRACE verileri genellikle zaman serilerinin mekansal haritaları şeklinde (TWS, deniz seviyesi anomalisi vb.) ifade edilir.
Bu ürünlerden,
Baskın mekansal patern
Bu paternlerin fiziksel yorumlama yardımı ile tanımlanması
Farklı veri setlerinin karşılaştırılması
Küçük ölçekli sinyallerin ve gürültünün giderilmesi
[1]

bir zaman diliminin grid verisi
bir pozisyonun grid verisi
(n,p)

Kovaryans matrisi

Kovaryans matrisinin Eigendeğerlerine ayrılması
Eigenvektörler
Eigendeğerler

PC'lerin projecte edilmesi
PCA'in GRACE VERİLERİNE UYGULANMASI
Maske Tanımlanması
Bölge sınırlarına göre tanımlanmış-> genişletilmiş
Sinyal değerlerine göre tanımlanmış



Amaç: Bölgeyi en iyi tanımlayan fonksiyonun bulunması
Su depoları tahmini
ilgili alan

Veri setleri



Koordinat Bazlı Maskeler













Grönland bölgesindeki sızıntı
Mekong bölgesindeki sinyal kaybı
Amazon bölgesindeki sinyal kaybı
Sinyal Bazlı Maskeler



Genişletilmiş Maskeler


Farklı Maskelerlerin Sinyal Kayıbı Yüzdeleri
Tigris bölgesine
sızan sinyal gözlenmektedir
Amazon bölgesinde genişletilmiş maskeler sonuçları geliştirmemiştir
Mekong bölgesinde genişletilmiş maskeler sonuçları geliştirmemiştir
Grönland bölgesinde genişletilmiş maskeler sonuçları geliştirmiştir.

Sinyal Bazlı Maskeler ve Sınır Bazlı Maskelerin PCA Sonuçlarının karşılaştırılması
Amazon bölgesi sonuçlarında belirgin gelişme gözlenmistir.
Farklı versiyon GRACE verilerinin PCA yardımı ile bölgesel olarak karşılaştırılması
Veri Setleri
- CS6-GRACE Level-2 GFZ Release 04 Kusche 2 filtereli 500 km çözünürlüklü 2003-2012.
- CS2 & CS3 are GRACE Level-2 GFZ Release 05 data (L-2, RL-05)
- CS2 filtresiz (WGHM ile yenginleştirilmiş) 250 km.
- CS3 Kusche-3 filterli 350 km .

Amazon


Bölgenin özelliği:
Yıllık ve yarıyıllık periyodik su seviyesi değişimi
Grönland



















Bölgenin özelliği:
Buz kütlesinin erimesi
Mekong


Türkiye


Bölgenin özelliği: 2007 yılındaki kuraklık ile daha da belirginleşen özellikle Güney Anadolu bölgesindeki su seviyesindeki azalma
Fırat
& Dicle

Bölgenin özelliği:
Yeraltı sularındaki azalma
GRACE Verilerindeki boşlukların PCA sonuçlarına etkisinin incelenmesi


GRACE`in eksik ayları
Boşluk oluşturulan aylar
Sonuçlar: 1.54 %, 0.71 % ve 0.22 % sinyal kaybı
sırasıyla Grönland, Amazon ve Mekong bölgeleri için
Ocak 2009
Haziran 2009
Mayıs 2010
Ekim 2010
Kullanılan veri -> CS3 veriseti (2003-2010)
Ölçme verileri ile PCA sonuçlarının karşılaştırılması


CS3 verisinin PCA ilk mode sonuclarının in-sıtu verisi ile karşılaştırılması
Sonuçlar arasında bir aylık sistematik bir kayma tespit edildi


CS2 & CS3 verisetlerinin aynı sonuçları verdiği gözlendi
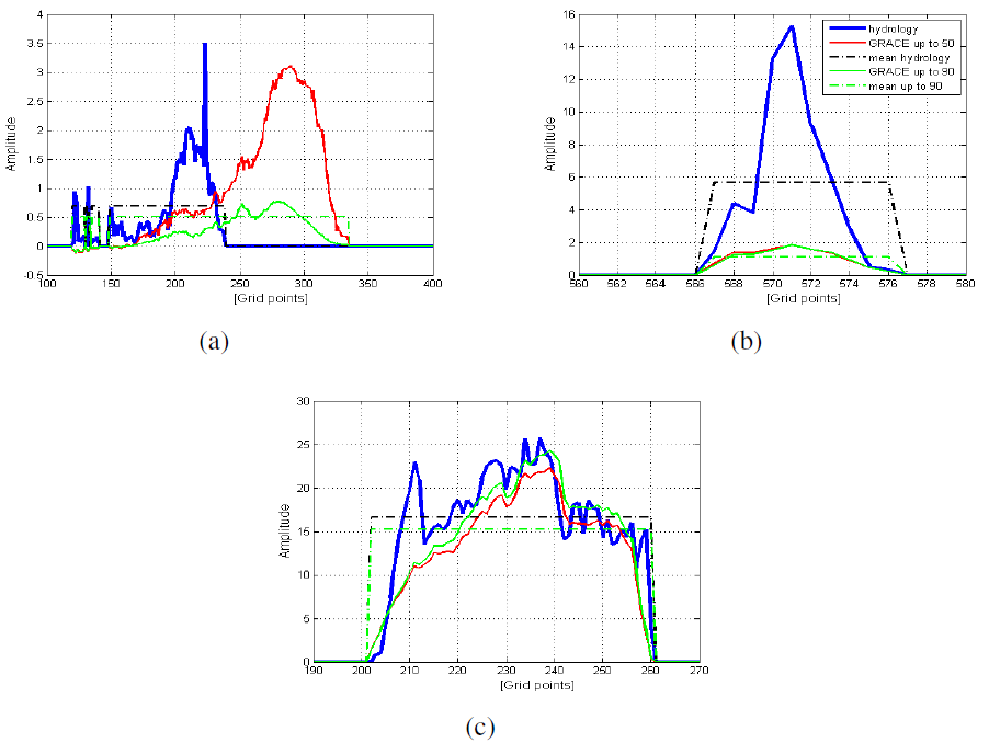
WGHM ve GRACE verilerinin PCA sonuçlarının karşılaştırılması

GRACE & WGHM verilerinin karşılaştırılma amacı
WaterGAP Global Hydrology Model->kıtasal su döngüsünü simule eder (toprak, kar, yeraltı ve yüzey suları)
Yapılan önceki çalışmalar, WGHM ve GRACE verileri arasında özellikle sezonluk TWSV genliklerinde belirgin faklılıklar gözlenmistir.
GRACE verileri Global anlamada TWSV hakkında kapsamlı bilgi sağlar. Be sebepten GRACE, büyük ölçekli hidroloji verilerinin teyhid edilmesi ve kalibre edilmesi için kullanılmaktadır.
GLOBAL












Kullanılan veriseti: WGHM & GRACE Gauss filtrelenmiş (400 km) 2005-2008
BÖLGESEL
İncelenen Bölgeler
Amazon
Orinoco
Türkiye
Fırat & Dicle
Amazon

Kullanılan veriseti: WGHM & GRACE Gauss filtrelenmiş (400 km) 2005.2008
Orinnoco

Kullanılan veriseti: WGHM & GRACE Gauss filtrelenmiş (400 km) 2005-2008
Türkiye

Kullanılan veriseti: WGHM & GRACE Gauss filtrelenmiş (400 km) 2005-2008
Fırat & Dicle

Kullanılan veriseti: WGHM & GRACE Gauss filtrelenmiş (400 km) 2005-2008
SONUÇLAR
Tanımlanan sinyal değerlerine dayanan maskeler Amazon bölgesi için (max: 50 d/o th: 0.15) en iyi sonucu vermiştir.
Greenland bölgesinde genişletilmiş maskeler analiz sonuçlarını geliştirmiştir.
Dicle/Fırat bölgesinde bölge içine sızıntı oldugu olduğu görülmüştür.
Farklı GRACE verilerin PCA sonuçlarının uyumunun ilgili bölgeye bağlı olduğu görülmüştür.
PCA birbirine dik bileşenler oluşturmasının bazı durumlarda anlamsız sonuçlar oluşturmaktadır.
Öneriler
Önerilen tekniklerin farklı bölgeler için de test edilmesi
Bölgelerin temel bileşenler yönteminin yanı sıra, bağımsız elemanlar (ICA) yöntemi ile de analiz edilip sonuçların karşılaştırılması
Tigris bölgesinin toplam su seviyesinine etkiyen toprak nemi, buharlaşma vb. etmenleri içeren ek modeller ile birlikte (örneğin, Data Assimilation System-GLDAS ) değerlendirilip, yer altı sularının analiz edilmesi.
REFERANSLAR
- [1] Scholz, M., 2015, PCA - Principal Component Analysis, http://www.nlpca.org/pca_principal_component_analysis.html, accessed: 2015-03-05.
thesis
By ceren altunal
thesis
- 461