NISRA
Enlightened 2022
whoami
- LAVI
- 現任會長
- 輔大資工二乙
- a.k.a 卷姊
- Hel10 H@ck1r 第一名
- 111 年行政院網路攻防演練攻擊手資格
- AIS3 2022 網頁安全組最佳專題
- Slides are made by CHA

NISRA

Network and Information Security
Research Association
We are ,
We are hackers !
NISRA
什麼是資訊安全 ?
資訊免受未經授權的
使用、披露、竄改、銷毀等...。
保護


國家政府
跨國企業
一般民眾
要會 ,就要先學會 。
防禦
攻擊
What we do
-
攻擊手法研究
-
講師栽培訓練
-
資安營隊研習
-
資安競賽參與
-
資安社群經營
攻擊手法研究

講師栽培訓練

資安營隊研習

資安競賽參與

資安社群經營
沒有人一開始就是強者,
但你必須先開始才能變強。

關注 NISRA
Discord


Misc
Agenda
- 資訊安全的常識 & 意識
- CTF Intro
- Flag
- What is MISC ?
- Recon
- Encode
- Stego
- Forensic
Warning

資訊安全的常識 & 意識

資安

駭客
外流
密碼




這些資料怎麼來的???






來自於:

為什麼無論資安工程師多努力都無用的原因
我們與資安的距離

資安意識
x 駭客思維

什麼是駭客?
先有開發才有攻擊
先有攻擊才有防禦
那我該如何開始?


CTF Intro
Capture The Flag


Jeopardy

King of the Hill
Attack & Defense

Jeopardy

Reverse

Pwn

Misc

Forensic

Web

Crypto
- Flag General Format
- < CTF name >{ ... }
-
Leet
-
Enlightened_2022_Welcome -
3nl19H73n3D_2022_w3lC0M3
-
- Class ctfd 平台
- Secret Token:
Flag

NISRA{w3lc0me_4o_2O22N15Ra_3n1ight3ned_cl4ss}
What is MISC ?

Misc.
- Miscellaneous
- 領域分支
- Recon (訊息蒐集)
- Encode (編碼)
- Stego (隱寫)
- Forensic (鑑識)
- ......
Recon
社交工程

Google Hacking
- Google Dorking / Hacking
- 透過特殊語法搜尋
- 機敏資料、文件
- 有漏洞的網頁、程式碼
-
找原文書、解答和肉搜的好方法 - Google Hacking Database
- Advanced Operators
Operators
- inurl
- 在 url 找指定關鍵字
- intext
- 網頁中的關鍵字
- intitle
- 網頁標題
- filetype
- 找出檔案類型
- ex:pdf, txt...
- 找原文書的幫手
- site
- 特定網站搜尋特定內容

intitle
inurl
site
filetype
Wayback Machine

輸入網址

https://instagram.com/
帶你感受歲月的飛逝

選擇年份 → 日期

2011.04.11
什麼?!什麼是 IG ? 能吃嗎
原來 IG 原本長這樣 ! 沒人記得
2014.12.23

2016.03.30


IG 的 Icon 演變史
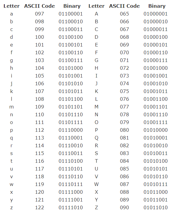
Encode
- American Standard Code for Information Interchange
- 電腦常用編碼系統
- 128 個字元
- "A" = 65
- "a" = 97
- "0" = 48
ASCII


世界上有 10 種人
-
{ 0, 1, 2, ..., 7, 8, 9 }→ { 0, 1 }- (87) 10 = (1010111) 2
- 常見於計算機與資訊科學
- Online Converter
Binary
(11011010) 2 = ( ? ) 10
A:218

我也想當首席資深工程師

Base64 不是加密!!!
Base64
- 利用以下五種類的字元組合 64 個字符編碼
-
a~z,26
- A~Z,26
- 0~9,10
- +、/,2
-
- 26 + 26 + 10 + 2 = 64
- Online Converter



- ASCII → Base64
- Ex:A → QQ==
- Ex:BC → QkM=
Lab0x1
MDEwMDExMTAgMDEwMDEwMDEgMDEw
MTAwMTEgMDEwMTAwMTAgMDEwMDAw
MDEgMDExMTEwMTEgMDAxMTEwMDAg
MDAxMTAxMDAgMDExMTAwMTEgMDAx
MTAwMTEgMDAxMTAxMTAgMDAxMTAx
MDAgMDEwMTExMTEgMDExMTEwMDAg
MDEwMTExMTEgMDEwMDAwMTAgMDAx
MTAwMDEgMDExMDExMTAgMDAxMTAx
MDAgMDAxMTAwMTAgMDExMTEwMDEg
MDExMTExMDE=Stego
Steganography
- 圖片隱寫
- LSB、像素值、檔頭
- 音頻
- 波形、摩斯密碼
- 文檔
- word、pdf
- HTML、視頻....
- 安全性 + 隱蔽性 + 藏密量
- 著重隱藏資料
- 強健性不足
- 被發現就失去意義
- Lab 0x2
- 找找看這頁簡報藏了甚麼
Steganography
StegSolve
- 雙擊 or
- 圖片隱寫解題神器
- Quick View
- Simple Check
- Online Tool
java -jar Stegsolve.jarhttp://www.caesum.com/handbook/Stegsolve.jar
Stereogram
- Magic Eye
- 立體視覺圖
- 2D圖創造出3D效果




- Pix (Picture) + Element
-
向量圖?點陣圖! - RGB (+ Alpha)
Pixel

Lab 0x3



File → Open
找到剛剛下載的圖片
Analyse → Stereogram Solver
將圖片的Pixel整行移動

方向鍵 or 滑鼠點擊
往左或往右 Offset
Frame Browser
- 觀察動圖
- 分析每幀的畫面
- GIF







Lab 0x4

File → Open → Analyse → Frame Browser
方向鍵 or 滑鼠左鍵點擊

Image Combiner
- 合併兩張圖
- XOR、AND、SUB、MUL......

- NOT ( ' )
- 0' = 1
- 1' = 0
- AND ( · )
- 1 · 1 = 1
- 0 · 0 = 0 · 1 = 1 · 0 = 0
Operators
- OR ( + )
- 1 + 1 = 0 + 1 = 1 + 0 = 1
- 0 + 0 = 0
- Boolean Algebra
- Red、Green、Blue
- Bin、Dec、Hex、百分比......
- 3 bytes = 3 x 8 bits (0~255)
- True color
RGB

Lab 0x5
給你滿滿的大平台喵喵們

File → Open → 打開 0x5_combine → Analyse
→ Image Combiner → 打開 0x5_origin → 方向鍵點擊
QR code

0x5_flag
0x5_origin
Data Extract
- 按照特定方式、順序提取圖片資訊
- Bit plane



LSB
- Least Significant Bit
-
種顏色
- 人眼無法察覺細微變化
- 權重 ↓
- 影響 ↓
- LSB & 演算法

Lab 0x6

- Flag ? ? 怎麼完全沒有畫面捏
File → Open → Analyse → Data Extract

Hex
ASCII
Extract的順序
Hex
位元平面
Forensic
補充教材
- Magic Number
- 用來確保檔案格式
- 詳細資訊
- 每種檔案都有
-
副檔名-
開啟方式
-
- 常用Hex表示法
Header


- List of Fiile Signatures
- pdf
- 25 50 44 46 2D
- png
- 89 50 4E 47 0D 0A 1A 0A
- jpg
- FF D8 FF DB
E.g.
- 免費的十六進位編輯器
- 數位鑑識、資料修復......
- WinHex Download
WinHex


- Text Editor + Hex Editor
- 層次分明的架構
- 五彩繽紛
-
要錢
- 試用版!
- 010 Editor Download
010 Editor


Lab 0x7

檔案似乎屬於不支援的格式 ?

File → Open File...
找到後打開剛剛下載的 Lab0x7.png
Hex
ASCII

那欸沒有 png 檔頭 ?
Insert Magic Number


Misc
By CHA
Misc
Misc for 2022 NISRA Enlightened class
- 237

