
Repetition
in
Everyday Life

STOP+THINK
Why do we think this works?
Why does this work?

Why is this chemistry in the 21st century?
STOP+THINK
STOP+THINK
How
does nature
do this?

STOP+THINK
or this?

Iteration
Repetition
"Lather, rinse, repeat."
Turns Out Lots of Life's Problems
Can Be Solved with Repetition
"Iterate. Iterate. Iterate."
"Scrub until clean."
"Season to taste."
"Keep trying until you get it right."




Solve This Maze
F
Repetition II
Our iterative woodworker has a long term goal in mind - a beautiful finished product - but in each instant her experienced eye can compare the current state to a future state that is on the path toward beauty.
An Iteration Sneak Preview
From moment to moment she adjusts the position of her hands and tool and the pressure she applies.
If she can compute the derivative
How does she decide to adjust how she holds the tool as the seconds iterate on and on?
Maybe there is some calculus involved! Suppose her experience allows her to compute a function, f, that maps tool position to future state of the work from current state of the work. And a function g that assesses the beauty of that future state?
Recall our woodworker at the lathe. One element of iteration here is the rotation of the wood. But as it rotates, the woodworker is making a series of decisions about how to move the tool.
Then she might be able to constantly adjust her hand position to always be moving in the direction of a more beautiful result.
start lathe
put tool to work
repeat
adjust position → ↑beauty
until goal - beauty < epsilon


We are playing a little fast and loose with things here, but if we think back to how we used slow thinking to generate instructions for our robot sorting cards, maybe we can describe creating a beautiful object on the wood lathe as
Hook II
It's the end of the semester, exams and project deadlines loom.
You only have 20 hours of study time. How do you allocated it among your different courses?
You are currently running a C in sociology, a B in calculus and chemistry, an A in programing 101, and a C in swimming.

Two words that I can never remember which consonants are doubled in.






CT 2025
Old Dad Tricks
1. Write out the numbers from one to one million and I'll give you a hundred dollars, kid.
Think It Through
1. How long does it take me to write out numbers 1 to 10? About 10 seconds.
2. How about 1000 to 1010? About 20 seconds.
3. How about 900,000 to 900,001? Also about 20 seconds.
Conclusion: average time per number is between 1 and 2 seconds.
Fast version would be total of 1,000,000 seconds = 16,667 minutes = 277 hours = 12 days.
About 36 cents per hour.

CT 2025
Old Dad Tricks
1. Fold this paper in half 40 times and then stand on top of it. Where are you?
Think It Through
1. Thickness of one sheet is about 0.1mm.
2. First five folds: Fold→0.2mm. Fold→0.4mm. Fold→0.8mm. Fold→1.6mm. Fold→3.2mm.
3. Folds 6-10: Fold→6.4mm. Fold→12.8mm. Fold→25.6mm. Fold→51.2mm. Fold→10.2cm.
4. Folds 11-15: Fold→20.4cm. Fold→40.8cm. Fold→81.6cm. Fold→1.6m. Fold→3.2m.
5. Folds 16-20: Fold→6.4m. Fold→12.8m. Fold→25.6m. Fold→51.2m. Fold→102m.
6. Folds 21-25: Fold→204m. Fold→408m. Fold→816m. Fold→1.6km. Fold→3.2km.
7. Folds 26-30: Fold→6.4km. Fold→12.8km. Fold→25.6km. Fold→51.2km. Fold→102.4km.
8. Folds 31-35: Fold→204km. Fold→408km. Fold→816km. Fold→1632km. Fold→3264km.
9. Folds 36-40: Fold→6,528km. Fold→13,056km. Fold→26,112km. Fold→52,224km. Fold→104,448km.
Which is about 1/3 of the distance to the moon. Two more folds and we've reached the moon.

What if we add arranging queens on a chessboard?
Q(5)=5x4x3x2=120
Q(4)=4x3x2=24
F(20)=102m
F(21)=204m
Can we do worst and best case thinking?
I timed myself writing down numbers. For very small numbers I was able to average under one second per number. For very high (6 digit) numbers I took almost two seconds per number.
Best and worst case. The kids are in line by height. New kid arrives. We start from the front of the line and if new kid is taller that this kid, we move on to the next one.
Best case: the new kid is shorter than the first kid in line so they just get in the front of the line.
Worst case: the new kid is taller than everyone so we have to compare them to each kid in turn until they take their place at the end of the line.

Best and worst case. We use our awkward version of bubble sort.
Best case: cards are already sorted. One round of N compares confirms cards are in order.
Worst case: cards in reverse order. We need to do N rounds of N compares.
swaps=false
home
repeat
compare
while compare succeeds
if L>R
swap
swaps = true
until no swapsN compares every time
5 5
5 5
7 7
7 7
10 10
10 10
K K
K K
4 4
4 4
5 5
5 5
7 7
7 7
10 10
10 10
K K
K K
4 4
4 4
This happens at least once. Then 1 time for each card that has to get moved to the right.






Fibonacci sequence
2 up is easy, but how about down?
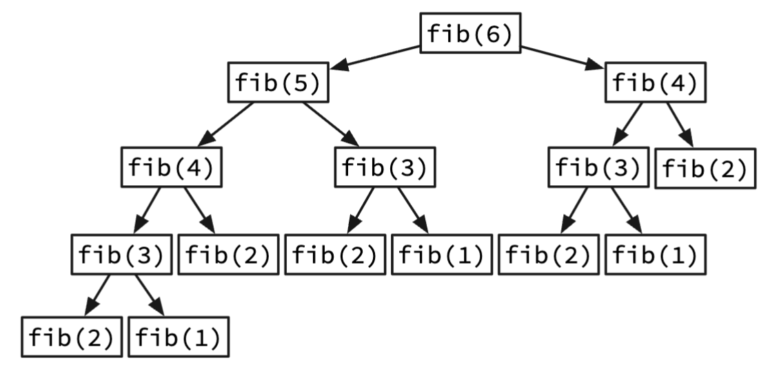
3 fib(8)? f(7)+fib(6) etc.
4 tree and repetition. Look at how many steps for F(5)!
5 could save time with scratch pad
6 how to communicate this?
7 Heads down with our own ideas
8 Pitch our idea to a catcher (classmate)
9 Catcher gives iteration-forward feedback
10 Back to the drawing board, make use of feedback











Repetition Hooks
By Dan Ryan
Repetition Hooks
- 204
