Using NIF to handle both compute-bound & IO-bound tasks in elixir
Two type of tasks
- CPU Bound
- IO Bound
Core concept
Make full use of CPU
CPU Bound
Solution: return cpu time back to user space
- less scheduling of threads
- dedicated core for threads
- make full use of cache
- branch predicting friendly
- SIMD
problem: to much waste of time on scheduling
IO Bound
Solution: give back cpu time back to kernel
- less threads
- callback / coroutine
- reactor & proactor
problem:too much threads waiting blocked cpu
IO & Compute Both Bounded?
Database

Scenario
Analytics Service

Main task type:map/reduce on prefetched cache
Soluiton 1
Ruby + Rust
Ruby
Rainbows for async
Rust
Computation
Expose Pure FFI
Ruby Native Extension
Wrapper at Ruby side

Problems
- Eventmachine is a bullshit
- Boilerplates
- FFI safety

-
Mandatory Free
Why Rust
Safety
Rust is a systems programming language that runs blazingly fast, prevents segfaults, and guarantees thread safety.
As a NIF library is dynamically linked into the emulator process, this is the fastest way of calling C-code from Erlang (alongside port drivers). Calling NIFs requires no context switches. But it is also the least safe, because a crash in a NIF brings the emulator down too.
------
http://erlang.org/doc/tutorial/nif.html
Performance
Techempower round 14

alioth benchmark game (https://strk.ly/VJ)
”Rust now beats C++ in many benchmarks and is on par with others“
Interesting
- Meta Programming (macro)
- Type Inference
- Trait Mixin




Solution 2
Elixir + Rust
Why?
Elixir's high concurrency
Better interface between Elixir & Rust (Rustler)
But cons:
Elixir is much slower
Elixir has less 3rd-party libraries
Exotic grammar
Not compatible with Strikingly's deploy logic
Step by step
Translate interface code
Implement the server
System structure

Caveat
You need a customized erlang VM (https://hub.docker.com/r/wooya/elixir-dirty-scheduler/)
-
elixir --erl "-smp +K true +A 10 +SDio 300 +SDcpu 100:100" -S mix phoenix.server
Deployed since 2016.11
0 Down time
Improvements
- Use proactor to read data from redis
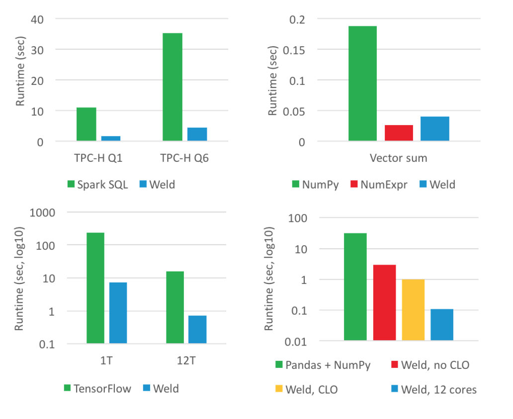
- Use Weld to improve throughput

Weld: computation engine from Stanford
That's it
Elixir + Rust Sharing
By Weiyüen Wu
Elixir + Rust Sharing
- 2,040





