March Meeting

Requirements
- 7 points due April 24
-
Seniors - due April 3
- Must complete all points in order to receive a cord
- Must have fewer than 3 demerits in order to receive a cord

Point Opportunities
- Friday math practices (1 point/practice)
-
Competitions
- RCML
- Purple Comet
- USAMTS
- MSA & A-Hall tutoring
- Out-of-school tutoring (Sartartia and Colony Meadows)
- After-meeting team contests!

Competitions
Friday Math Practices (1 point) each Friday!

RCML
- Date: Tentatively March 24
- Points: 1
- 10 question, 45 minute test
Round 3
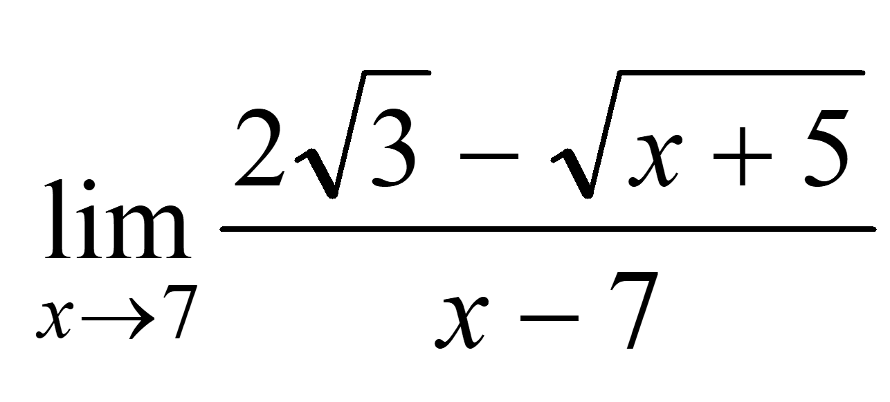
Evaluate
2014 RCML Discovery Round 3 Question 5
Answer

Purple Comet
- Date: TBD (April 21-30)
- 1.5 points
- Work together on a team of up to 6 people
- 30 short-answer (integer answer) questions
- Can use calculators and computer programs!!

Applications for Induction

Important Information
- Induction application deadline: Friday, April 3
- Requirements
- Associate member
- Completed/enrolled in Honors Geometry
- Teacher recommendation form
- Due Friday, April 3
- 3 short answer questions (500 characters minimum)
- Induction ceremony at the May banquet
- *This year's inductees are allowed to apply for officer positions
https://forms.gle/RdSfvzjBBLRsxuAh9

Applications for Officer Positions

Important Information
- Officer applications sent out after Spring break
- Applications due April 5, 2020
- 6 short answer (850 character minimum) questions
- Considerations:
- Participation
- Volunteer hours
- Competitions
- Behavior
- Character
- Attitude
- Second stage: Interviews
- Held in late April
- Officer panel announced at May banquet!

Friday, April 10
NEXT MEETING:

If you're not playing the game, find an officer to sign in!!
If you are playing the game, get in groups of three!
& take out scratch paper :)
March Meeting 2020
By Dulles Mu Alpha Theta
March Meeting 2020
3.8.18
- 1,073