Custom PyMC3 nonparametric Bayesian models built on top of the scikit-learn API

Daniel Emaasit

Data Scientist

Haystax Technology

Bayesian Data Science DC Meetup

October 11, 2018

  Materials

Download slides & code:

bit.ly/pymc-learn-dc

Application (1/3)

  • Optimizing complex models in autonomous vehicles.

Application (2/3)

  • Automating machine learning

Application (3/3)

  • Supplying internet to remote areas 

Intro to Bayesian Nonparametrics

Bayesian Nonparametrics (1/2)

  • Task: Function approximation.

3. pre-specifying \(f(\textbf{X})\) may produce  either overly complex or simple models

  • Most approaches to modeling focus on parametric models that impose restrictive assumptions, e.g:

2.   it's difficult to know a priori the most appropriate number of parameters

  • Limitations of this approach:
y = f(\textbf{x}) + \varepsilon
y=f(x)+εy = f(\textbf{x}) + \varepsilon
  1. prespecifying the functional form,

2. prespecifying the number of parameters, e.g \( \text{coefficients }\beta, \text{variance }\sigma^2 \)

1. it's difficult to know a priori the most appropriate function

\mathbf{E}[Y \mid X] = \beta_0 + \beta_1x_1 + \beta_2x_2
E[YX]=β0+β1x1+β2x2\mathbf{E}[Y \mid X] = \beta_0 + \beta_1x_1 + \beta_2x_2
\mathbf{E}[Y \mid X] = \beta_0 + \beta_1x_1 + \beta_2x_1^2 + \beta_3x_2^2 + \beta_4sin(1+ x_2)
E[YX]=β0+β1x1+β2x12+β3x22+β4sin(1+x2)\mathbf{E}[Y \mid X] = \beta_0 + \beta_1x_1 + \beta_2x_1^2 + \beta_3x_2^2 + \beta_4sin(1+ x_2)
\pi = \mathbf{E}[Y \mid X] = \frac{e^{(\beta_0 + \beta_1x_1 + \beta_2x_2)}}{1 + e^{(\beta_0 + \beta_1x_1 + \beta_2x_2)}}
π=E[YX]=e(β0+β1x1+β2x2)1+e(β0+β1x1+β2x2)\pi = \mathbf{E}[Y \mid X] = \frac{e^{(\beta_0 + \beta_1x_1 + \beta_2x_2)}}{1 + e^{(\beta_0 + \beta_1x_1 + \beta_2x_2)}}
y_i \sim Bin(n_i, \pi_i)
yiBin(ni,πi)y_i \sim Bin(n_i, \pi_i)
\pi = \mathbf{E}[Y \mid X] = \beta_0 + \beta_1x_1 + \beta_2x_2
π=E[YX]=β0+β1x1+β2x2\pi = \mathbf{E}[Y \mid X] = \beta_0 + \beta_1x_1 + \beta_2x_2
y_i \sim \mathbf{N}(\pi_i, \sigma^2)
yiN(πi,σ2)y_i \sim \mathbf{N}(\pi_i, \sigma^2)
\text{suppose} \ y \ \text{is} \ \text{continuous}
suppose y is continuous\text{suppose} \ y \ \text{is} \ \text{continuous}
\text{suppose} \ y \ \text{is} \ \text{discrete} \{0, 1\}
suppose y is discrete{0,1}\text{suppose} \ y \ \text{is} \ \text{discrete} \{0, 1\}

Or

Bayesian Nonparametrics (2/2)

Gaussian Process

  • Methods that require weaker or less restrictive assumptions are preferred. 
  • leads to estimating flexible*  models e.g Gaussian Processes

*Ghahramani, 2016

20

15

10

Define a prior over the function 

\textbf{f} \sim \mathcal{GP}(\textbf{m}_f, \textbf{K}_{f})
fGP(mf,Kf)\textbf{f} \sim \mathcal{GP}(\textbf{m}_f, \textbf{K}_{f})
  • A distribution over functions in an infinite space is:
  • a Gaussian process (GP) (Rasmussen & Williams , 2006)

where

\begin{pmatrix} f(\textbf{x}_1) \\ f(\textbf{x}_2) \\ \vdots \\ f(\textbf{x}_N) \end{pmatrix} \sim \mathcal{N} \left \{ \begin{pmatrix} m_f(\textbf{x}_1) \\ m_f(\textbf{x}_2) \\ \vdots \\ m_f(\textbf{x}_N) \end{pmatrix} , \begin{pmatrix} k_f(\textbf{x}_1,\textbf{x}_1^{\prime}) & k_f(\textbf{x}_1,\textbf{x}_2^{\prime}) & \cdots & k_f(\textbf{x}_1,\textbf{x}_N^{\prime}) \\ k_f(\textbf{x}_2,\textbf{x}_1^{\prime}) & k_f(\textbf{x}_2,\textbf{x}_2^{\prime}) & \cdots & k_f(\textbf{x}_2,\textbf{x}_N^{\prime}) \\ \vdots & \vdots & \ddots & \vdots \\ k_f(\textbf{x}_N,\textbf{x}_1^{\prime}) & k_f(\textbf{x}_N,\textbf{x}_2^{\prime}) & \cdots & k_f(\textbf{x}_N,\textbf{x}_N^{\prime}) \end{pmatrix} \right \}
(f(x1)f(x2)f(xN))N{(mf(x1)mf(x2)mf(xN)),(kf(x1,x1)kf(x1,x2)kf(x1,xN)kf(x2,x1)kf(x2,x2)kf(x2,xN)kf(xN,x1)kf(xN,x2)kf(xN,xN))}\begin{pmatrix} f(\textbf{x}_1) \\ f(\textbf{x}_2) \\ \vdots \\ f(\textbf{x}_N) \end{pmatrix} \sim \mathcal{N} \left \{ \begin{pmatrix} m_f(\textbf{x}_1) \\ m_f(\textbf{x}_2) \\ \vdots \\ m_f(\textbf{x}_N) \end{pmatrix} , \begin{pmatrix} k_f(\textbf{x}_1,\textbf{x}_1^{\prime}) & k_f(\textbf{x}_1,\textbf{x}_2^{\prime}) & \cdots & k_f(\textbf{x}_1,\textbf{x}_N^{\prime}) \\ k_f(\textbf{x}_2,\textbf{x}_1^{\prime}) & k_f(\textbf{x}_2,\textbf{x}_2^{\prime}) & \cdots & k_f(\textbf{x}_2,\textbf{x}_N^{\prime}) \\ \vdots & \vdots & \ddots & \vdots \\ k_f(\textbf{x}_N,\textbf{x}_1^{\prime}) & k_f(\textbf{x}_N,\textbf{x}_2^{\prime}) & \cdots & k_f(\textbf{x}_N,\textbf{x}_N^{\prime}) \end{pmatrix} \right \}
  • \(\mathbf{m}_f\) = mean function
  • \(\textbf{K}_{f}\) = covariance function (kernel)
f(\textbf{x})
f(x)f(\textbf{x})
\text{input }x
input x\text{input }x

See Appendix for mathematical details

Link

Probabilistic Programming

Probabilistic Programming (1/2)

  • Probabilisic Programming (PP) Languages:
  • Software packages that take a model and then automatically generate inference routines (even source code!) e.g Pyro, Stan, Infer.Net, PyMC3, TensorFlow Probability, etc.

Probabilistic Programming (2/2)

  • Steps in Probabilisic ML:
  • Build the model (Joint probability distribution of all the relevant variables)
  • Incorporate the observed data
  • Perform inference (to learn distributions of the latent variables)

Gaussian Process in PyMC3

import pymc3 as pm

# Instantiate a model
with pm.Model() as latent_gp_model:
    
    # specify the priors
    length_scale = pm.Gamma("length_scale", alpha = 2, beta = 1)
    signal_variance = pm.HalfCauchy("signal_variance", beta = 5)
    noise_variance = pm.HalfCauchy("noise_variance", beta = 5)
    degrees_of_freedom = pm.Gamma("degrees_of_freedom", alpha = 2, beta = 0.1)
    
    # specify the kernel function
    cov = signal_variance**2 * pm.gp.cov.ExpQuad(1, length_scale)
        
    # specify the mean function
    mean_function = pm.gp.mean.Zero()
    
    # specify the gp
    gp = pm.gp.Latent(cov_func = cov)
    
    # specify the prior over the latent function
    f = gp.prior("f", X = X) 
    
    # specify the likelihood
    obs = pm.StudentT("obs", mu = f, lam = 1/signal_variance, nu = degrees_of_freedom, observed = y)

# Perform Inference
with latent_gp_model:
    posterior = pm.sample(draws = 100, njobs = 2)
# extend the model by adding the GP conditional distribution so as to predict at test data
with latent_gp_model:
    f_pred = gp.conditional("f_pred", X_new)

# sample from the GP conditional posterior
with latent_gp_model:
    posterior_pred = pm.sample_ppc(posterior, vars = [f_pred], samples = 200)

Build a model

Train a model

Prediction

Scikit-learn

from sklearn.gaussian_process import GaussianProcessRegressor()

model = GaussianProcessRegressor()

model.fit(X_train, y_train)

model.predict(X_test, y_test)

model.score(X_test, y_test)

model.save('path/to/saved/model')

Few lines of code

  • Build + Train + predict + score + save + load

Pymc-learn

Pymc-learn

from pmlearn.gaussian_process import GaussianProcessRegressor()

# Instantiate a PyMC3 Gaussian process model
model = GaussianProcessRegressor()

# Fit using MCMC or Variational Inference
model.fit(X_train, y_train)

model.predict(X_test, y_test)

model.score(X_test, y_test)

model.save('path/to/saved/model')

Few lines of code

PyMC3  vs  Pymc-learn

import pymc3 as pm

# Instantiate a model
with pm.Model() as latent_gp_model:
    
    # specify the priors
    length_scale = pm.Gamma("length_scale", alpha = 2, beta = 1)
    signal_variance = pm.HalfCauchy("signal_variance", beta = 5)
    noise_variance = pm.HalfCauchy("noise_variance", beta = 5)
    degrees_of_freedom = pm.Gamma("degrees_of_freedom", alpha = 2, beta = 0.1)
    
    # specify the kernel function
    cov = signal_variance**2 * pm.gp.cov.ExpQuad(1, length_scale)
        
    # specify the mean function
    mean_function = pm.gp.mean.Zero()
    
    # specify the gp
    gp = pm.gp.Latent(cov_func = cov)
    
    # specify the prior over the latent function
    f = gp.prior("f", X = X) 
    
    # specify the likelihood
    obs = pm.StudentT("obs", mu = f, lam = 1/signal_variance, nu = degrees_of_freedom, observed = y)


# Perform Inference
with latent_gp_model:
    posterior = pm.sample(draws = 100, njobs = 2)

# extend the model by adding the GP conditional distribution so as to predict at test data
with latent_gp_model:
    f_pred = gp.conditional("f_pred", X_new)

# sample from the GP conditional posterior
with latent_gp_model:
    posterior_pred = pm.sample_ppc(posterior, vars = [f_pred], samples = 200)
from pmlearn.gaussian_process import GaussianProcessRegressor()

# Instantiate a PyMC3 Gaussian process model
model = GaussianProcessRegressor()

# Fit using MCMC or Variational Inference
model.fit(X_train, y_train)

model.predict(X_test, y_test)

Few lines of code

Many lines of code

PyMC3

Pymc-learn

Resources to get started

Thank You!

Appendix

Start with an inflexible* model

  • Consider for each data input, \(i\), that:

\(y_i\) = output variable,

\(\mathbf{x}_i\) = covariates with dimension \(D\), e.g {income, employment, trip distance, etc}

\(f(\mathbf{x}_i)\) = function that maps \(\mathbf{x}_i\) to \(y_i\),

\(\varepsilon_i\) = noise term,

p(\mathbf{\theta} \mid \textbf{y},\textbf{X}) = \frac{p(\textbf{y} \mid \mathbf{\theta},\textbf{X}) \, p(\mathbf{\theta})}{p(\textbf{y}\mid \textbf{X})}
p(θy,X)=p(yθ,X) p(θ)p(yX)p(\mathbf{\theta} \mid \textbf{y},\textbf{X}) = \frac{p(\textbf{y} \mid \mathbf{\theta},\textbf{X}) \, p(\mathbf{\theta})}{p(\textbf{y}\mid \textbf{X})}

\(p(\mathbf{\theta} \mid \textbf{y},\textbf{X})\) = posterior over the parameters, given observed data

\(p(\textbf{y} \mid \mathbf{\theta},\textbf{X})\) = likelihood of output variable, given covariates & parameters

\(p(\mathbf{\theta})\) = prior over the parameters

\(p(\textbf{y} \mid \textbf{X})\) = data distribution to ensure normalization

y_i = f(\textbf{x}_i) + \varepsilon_i, \quad \text{assume} \, \, \varepsilon \sim \mathcal{N}(0, \sigma_{\varepsilon}^2)
yi=f(xi)+εi,assume  εN(0,σε2)y_i = f(\textbf{x}_i) + \varepsilon_i, \quad \text{assume} \, \, \varepsilon \sim \mathcal{N}(0, \sigma_{\varepsilon}^2)
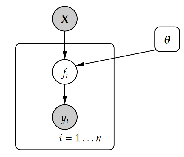
  • Bayesian modeling involves:

where

  • \(\mathbf{\theta}\) = parameters e.g. coefficients

*Ghahramani, 2016; Williams & Rasmussen, 2006

Extension to a flexible* model

  • Given that latent function \(f\), is unknown:
  • It (\(f\)) is considered the parameter of interest.
p(\mathbf{f} \mid \textbf{y},\textbf{X}) = \frac{p(\textbf{y} \mid \mathbf{f},\textbf{X}) \, p(\mathbf{f})}{p(\textbf{y}\mid \textbf{X})}
p(fy,X)=p(yf,X) p(f)p(yX)p(\mathbf{f} \mid \textbf{y},\textbf{X}) = \frac{p(\textbf{y} \mid \mathbf{f},\textbf{X}) \, p(\mathbf{f})}{p(\textbf{y}\mid \textbf{X})}

\(p(\mathbf{f} \mid \textbf{y},\textbf{X})\) = posterior over the function, given observed data

\(p(\textbf{y} \mid \mathbf{f},\textbf{X})\) = likelihood of output variable, given the covariates & function

\(p(\mathbf{f})\) = prior over the function

\(p(\textbf{y} \mid \textbf{X})\) = data distribution to ensure normalization

  • Consider the prior over the function as:
  • as any possible function in an infinite space

*Ghahramani, 2016; Williams & Rasmussen, 2006

Define a prior over the function (1/2)

\textbf{f} \sim \mathcal{GP}(\textbf{m}_f, \textbf{K}_{f})
fGP(mf,Kf)\textbf{f} \sim \mathcal{GP}(\textbf{m}_f, \textbf{K}_{f})
  • A distribution over functions in an infinite space is:
  • a Gaussian process (GP) (Rasmussen & Williams , 2006)

where

\begin{pmatrix} f(\textbf{x}_1) \\ f(\textbf{x}_2) \\ \vdots \\ f(\textbf{x}_N) \end{pmatrix} \sim \mathcal{N} \left \{ \begin{pmatrix} m_f(\textbf{x}_1) \\ m_f(\textbf{x}_2) \\ \vdots \\ m_f(\textbf{x}_N) \end{pmatrix} , \begin{pmatrix} k_f(\textbf{x}_1,\textbf{x}_1^{\prime}) & k_f(\textbf{x}_1,\textbf{x}_2^{\prime}) & \cdots & k_f(\textbf{x}_1,\textbf{x}_N^{\prime}) \\ k_f(\textbf{x}_2,\textbf{x}_1^{\prime}) & k_f(\textbf{x}_2,\textbf{x}_2^{\prime}) & \cdots & k_f(\textbf{x}_2,\textbf{x}_N^{\prime}) \\ \vdots & \vdots & \ddots & \vdots \\ k_f(\textbf{x}_N,\textbf{x}_1^{\prime}) & k_f(\textbf{x}_N,\textbf{x}_2^{\prime}) & \cdots & k_f(\textbf{x}_N,\textbf{x}_N^{\prime}) \end{pmatrix} \right \}
(f(x1)f(x2)f(xN))N{(mf(x1)mf(x2)mf(xN)),(kf(x1,x1)kf(x1,x2)kf(x1,xN)kf(x2,x1)kf(x2,x2)kf(x2,xN)kf(xN,x1)kf(xN,x2)kf(xN,xN))}\begin{pmatrix} f(\textbf{x}_1) \\ f(\textbf{x}_2) \\ \vdots \\ f(\textbf{x}_N) \end{pmatrix} \sim \mathcal{N} \left \{ \begin{pmatrix} m_f(\textbf{x}_1) \\ m_f(\textbf{x}_2) \\ \vdots \\ m_f(\textbf{x}_N) \end{pmatrix} , \begin{pmatrix} k_f(\textbf{x}_1,\textbf{x}_1^{\prime}) & k_f(\textbf{x}_1,\textbf{x}_2^{\prime}) & \cdots & k_f(\textbf{x}_1,\textbf{x}_N^{\prime}) \\ k_f(\textbf{x}_2,\textbf{x}_1^{\prime}) & k_f(\textbf{x}_2,\textbf{x}_2^{\prime}) & \cdots & k_f(\textbf{x}_2,\textbf{x}_N^{\prime}) \\ \vdots & \vdots & \ddots & \vdots \\ k_f(\textbf{x}_N,\textbf{x}_1^{\prime}) & k_f(\textbf{x}_N,\textbf{x}_2^{\prime}) & \cdots & k_f(\textbf{x}_N,\textbf{x}_N^{\prime}) \end{pmatrix} \right \}
  • \(\mathbf{m}_f\) = mean function
  • \(\textbf{K}_{f}\) = covariance function (kernel)
f(\textbf{x})
f(x)f(\textbf{x})
\text{input }x
input x\text{input }x

Define a prior over the function (2/2)

k_f(\textbf{x}_i, \textbf{x}_j^{\prime}\mid\theta) =\sigma^2_fexp\bigg(-\frac{1}{2}\sum_{d=1}^{D}\frac{(x_{i,d}-x_{j,d})^2}{l_d^2}\bigg)
kf(xi,xjθ)=σf2exp(12d=1D(xi,dxj,d)2ld2)k_f(\textbf{x}_i, \textbf{x}_j^{\prime}\mid\theta) =\sigma^2_fexp\bigg(-\frac{1}{2}\sum_{d=1}^{D}\frac{(x_{i,d}-x_{j,d})^2}{l_d^2}\bigg)
  • \(\sigma^2_f\) = signal-variance parameter
  • \(l_d\) = length-scale parameter (\(l_d\) is positive; controls smoothness)
  • The Squared Exponential Automatic Relevance Determination (SE-ARD) kernel (Neal, 2012).

Very smooth i.e continuous

We expect our functions to vary smoothly

  • Assumption:
  • Recent sampling methods considered efficient in high dimensions will be used:

Efficient sampling

  • Hamiltonian Monte Carlo (HMC) i.e. No-U-turn Sampler (NUTS) (Hoffman & Gelman, 2014)
  • Estimation will involve finding values for two sets hyperparameters:
  • \(\sigma^2_f\) & \(\sigma^2_g\) = signal-variance & noise variance
  • Automatic Differentiation Variational Inference (ADVI) (Kucukelbir et al, 2016)
  • \(l_d^f\) & \(l_d^g\) = length-scales in \(f\) and \(g\) 

Custom PyMC3 nonparametric Bayesian models built on top of the scikit-learn API

By Daniel Emaasit

Custom PyMC3 nonparametric Bayesian models built on top of the scikit-learn API

Custom PyMC3 nonparametric Bayesian models built on top of the scikit-learn API

  • 1,710