foundations of data science for everyone

dr.federica bianco | fbb.space |    fedhere |    fedhere 
IV: Machine Learning & Linear Regression

this slide deck:

 

what is machine learning?

1

 

a model is a low dimensional representation of a higher dimensionality datase

the best way to think about it    in the ML context:

 

what is a model?

what is machine learning?

[Machine Learning is the] field of study that gives computers the ability to learn without being explicitly programmed.

Arthur Samuel, 1959

 

what is machine learning?

model

parameters: slope, intercept

[Machine Learning is the] field of study that gives computers the ability to learn without being explicitly programmed.

Arthur Samuel, 1959

 

what is machine learning?

[Machine Learning is the] field of study that gives computers the ability to learn without being explicitly programmed.

Arthur Samuel, 1959

 

model

parameters: slope, intercept

data

 

what is machine learning?

ML: any model with parameters learnt from the data

what is machine learning?

ML: any model with parameters learnt from the data

Machine Learning models are parametrized representation of "reality"  where the parameters are learned from finite sets (the sample) of realizations of that reality (the population)

(note: learning by instance, e.g. nearest neighbours, may not comply to this definition)

Machine Learning is the disciplines that conceptualizes, studies, and applies those models.

Key Concept

what is  machine learning?

 

used to:

  • understand the structure of a feature space
  • regression : predict values based on conditions based on examples
  • classify based on examples
  • understand which features are important for the success of the model (to get close to causality)

General ML points

unsupervised vs supervised learning

Clustering

partitioning the feature space so that the existing data is grouped (according to some target function!)

understand the structure of a feature space

Clustering

partitioning the feature space so that the existing data is grouped (according to some target function!)

Unsupervised learning

  • understanding structure  
  • anomaly detection
  • dimensionality reduction

All features are observed for all datapoints

unsupervised vs supervised learning

understand the structure of a feature space

Clustering

partitioning the feature space so that the existing data is grouped (according to some target function!)

Classifying & regression

 

finding functions of the variables that allow to predict unobserved properties of new observations

Unsupervised learning

  • understanding structure  
  • anomaly detection
  • dimensionality reduction

All features are observed for all datapoints

unsupervised vs supervised learning

prediction and classification based on examples

Clustering

partitioning the feature space so that the existing data is grouped (according to some target function!)

Classifying & regression

 

finding functions of the variables that allow to predict unobserved properties of new observations

Unsupervised learning

  • understanding structure  
  • anomaly detection
  • dimensionality reduction

All features are observed for all datapoints

unsupervised vs supervised learning

prediction and classification based on examples

Clustering

partitioning the feature space so that the existing data is grouped (according to some target function!)

Classifying & regression

 

finding functions of the variables that allow to predict unobserved properties of new observations

Unsupervised learning

  • understanding structure  
  • anomaly detection
  • dimensionality reduction

Supervised learning

  • classification
  • prediction
  • feature selection

All features are observed for all datapoints

Some features are not observed for some data points we want to predict them.

unsupervised vs supervised learning

prediction and classification based on examples

Unsupervised learning

Supervised learning

All features are observed for all datapoints

and we are looking for structure in the feature space

Some features are not observed for some data points we want to predict them.

The datapoints for which the target feature is observed are said to be "labeled"

Semi-supervised learning

Active learning

A small amount of labeled data is available. Data is cluster and clusters inherit labels

The code can interact with the user to update labels and update model.

also...

unsupervised vs supervised learning

what is machine learning?

extract features and create models that allow prediction where the correct answer is known for a subset of the data

supervised learning

identify features and create models that allow to understand structure in the data

unsupervised learning

  • k-Nearest Neighbors

  • Regression

  • Support Vector Machines

  • Classification/Regression Trees

  • Neural networks

  • clustering

  • Principle Component Analsysis

  • Apriori (association rule)

what is a model?

2

line model:

y = ax+b

A model is a mathematical formula that represents (a simplified version of) a phenomenon.

 

Models have:
dependent/endogenous variables : y

 

A model is a mathematical formula that represents (a simplified version of) a phenomenon.

 

Models have:
dependent/endogenous variables : y

independent/exogenous variables : x

 

line model:

y = ax+b

~ x

A model is a mathematical formula that represents (a simplified version of) a phenomenon.

 

Models have:
dependent/endogenous variables : y

independent/exogenous variables : x

parameters : e.g. slope and intercept of a line which will be chosen based on the data

 

 

 

line model:

y = ax+b

A model is a mathematical formula that represents (a simplified version of) a phenomenon.

 

Models have:
dependent/endogenous variables : y

independent/exogenous variables : x

parameters : e.g. slope and intercept of a line which will be chosen based on the data

hyperparameters : all choices about a model that I will have to make that will not be directed by the data

 

line model:

y = ax+b

1

choose your model :

choose a mathematical formula to represent the behavior you see/expect in the data

line model: ax+b

but there exist inifinite lines corresponding to infinite values of of slope and intercept

1

choose your model :

choose a mathematical formula to represent the behavior you see/expect in the data

line model: ax+b

a mathematical formula describes a family of shapes. The parameters define the exact shape: in a line fit the parameters are... 

 

- a: slope

- b: intercept

but there exist inifinite lines corresponding to infinite values of of slope and intercept

1

choose your model :

choose a mathematical formula to represent the behavior you see/expect in the data

polynomial model:

 

generalizatoin to a polynomial fit:

- the degree N of the polynomial is a hyperparameter of the model

 

we choose hyperparameters,

we fit parameters

polyn = \sum_{i=0}^N c_i x^i

N=12:  goes exactly through each data point but it has too many parameters- N = number of data points

N=2: a conservative hyperparameter choice

1

choose your model :

choose a mathematical formula to represent the behavior you see/expect in the data

polynomial model:

 

generalizatoin to a polynomial fit:

- the degree N of the polynomial is a hyperparameter of the model

 

we choose hyperparameters,

we fit parameters

polyn = \sum_{i=0}^N c_i x^i

N=2: a conservative hyperparameter choice

2

choose an objective function :

you need a plan to choose the parameters of the model: to "optimize" the model.
You need to choose something to be MINIMIZED or MAXIMIZED

line model: ax+b

but there exist inifinite lines corresponding to infinite values of of slope and intercept

In principle, there are many choices for objective function. But the only procedure that is truly justified—in the sense that it leads to interpretable probabilistic inference, is to make a generative model for the data.

objective function:

what you want to optimize for

objective function:

what you want to optimize for

objective function:

what you want to optimize for

L1 or Sum of Absolute Errors: 

SAE = \sum{|y_i - (ax_i + b) |}

objective function:

what you want to optimize for

L1 or Sum of Absolute Errors: 

SAE = \sum{|y_i - (ax_i + b) |}

model prediction

objective function:

what you want to optimize for

L2 or Sum of Squared Errors: 

SSE = \sum{(y_i - (ax_i + b))^2}

objective function:

what you want to optimize for

Fit model parameters <==> minimize the objective function

yi: i-th observation

xi: i-th measurement "location"

NOTE: Sum of residual squared (least square fit method)

SAE = \sum{|y_{i,observed} - y_{i,predict} |}
SSE = \sum{(y_{i, observed} - y_{i, predicted} )^2}

objective function:

what you want to optimize for

SAE = \sum{|y_{i,observed} - y_{i,predict} |}
SSE = \sum{(y_{i, observed} - y_{i, predicted} )^2}

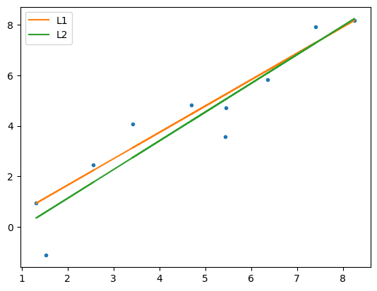
Same data, same model, different solution!

WHY???

2

choose an objective function :

you need a plan to choose the parameters of the model: to "optimize" the model.
You need to choose something to be MINIMIZED or MAXIMIZED

line model: ax+b

a line is a family of models

a line with set parameters is a models

why do we model?

2.1

why do we model?

to explain

to predict

fitting a line to data

(the longish story)

3

We are trying to find the "best" line that goes through the data... but "best" is a judgment call

We are trying to find the "best" line that goes through the data... but "best" is a judgment call

Choosing the objective function

We are trying to find the "best" line that goes through the data... but "best" is a judgment call

\mathrm{Sum~of~absolute~errors} : \sum_{i=0}^N |y_i - y_{i,predicted}|

minimize something

minimize something

why square?

- So that the errors do not cancel themselves out

- To add more weight to predictions that are worse

\mathrm{Sum~of~quared~errors:} ~SSE = \sum_{i=0}^N (y_i - y_{i,predicted})^2

Ordinary least square

minimize something

def sumsqerror(y, yp):
  ''' objective function squared error
  y: vector of observations
  yp: vector of predictions
  return: sum squared difference
  '''
  return ((y - yp) ** 2).sum()
  
minnow = 1e7
for s in np.arange(0, 3, 0.01):
  for i in np.arange(0, 2.5, 0.01):
    prediction = df['population'] * s + i 
    sse = sumsqerror(df.wspeed, prediction)
    if sse < minnow:
      minnow = sse
      slope_manual, inrercept_manual = s, i

slope_manual, inrercept_manual

we can minimize manually...

\mathrm{Sum~of~quared~errors:} ~SSE = \sum_{i=0}^N (y_i - y_{i,predicted})^2

Ordinary least square

We are trying to find the "best" line that goes through the data... but "best" is a judgment call

minimize something

but its a lot easier to use

built in functions

# seaborn (just plots) 
sns.regplot(df['population'], df['wspeed'])

# numpy
slope, intercept = np.polyfit(df['population'], df['wspeed'], 1)

# statsmodels formula
smf.ols(formula='wspeed ~ population', data=df)

# statsmodels OLS works for any degree polynomial 
polynomial_features = PolynomialFeatures(degree=1)
xp1 = polynomial_features.fit_transform(x)
model = sm.OLS(y[:10], xp1[:10]).fit()

\mathrm{Sum~of~quared~errors:} ~SSE = \sum_{i=0}^N (y_i - y_{i,predicted})^2

We are trying to find the "best" line that goes through the data... but "best" is a judgment call

minimize something

\mathrm{Sum~of~quared~errors:} ~SSE = \sum_{i=0}^N (y_i - y_{i,predicted})^2

but its a lot easier to use

built in functions

# seaborn (just plots) 
import seaborn as sns
sns.regplot(df['population'], df['wspeed'])

# numpy
import numpy as np
slope, intercept = np.polyfit(df['population'], df['wspeed'], 1)

# statsmodels formula
import statsmodels.formula.api as smf
smf.ols(formula='wspeed ~ population', data=df)

# statsmodels OLS works for any degree polynomial 
from sklearn.preprocessing import PolynomialFeatures
polynomial_features = PolynomialFeatures(degree=1)
xp1 = polynomial_features.fit_transform(x)
model = sm.OLS(y[:10], xp1[:10]).fit()

# sklearn
from sklearn.linear_model import LinearRegression
lm = LinearRegression().fit(X_train, y_train, sample_weight=None)

how good is the model?

but its a lot easier to use

built in functions

SSE (      prediction)

variance (       mean)

but its a lot easier to use

built in functions

Adjusted R2 takes into account how many datapoints you have and how many paramters you have

how good is the model?

but its a lot easier to use

built in functions

- increasing the model complexity increases the R2 but does not guarantee a better model

- the likelihood ratio is a way to assess if the more complex model is better in a NHRT sense

but its a lot easier to use

built in functions

- increasing the model complexity increases the R2 but does not guarantee a better model

- the likelihood ratio is a way to assess if the more complex model is better in a NHRT sense

NH: the more complex model is better

under the NH the LR statistics is distributed like a chi^2 distribution with number of dof =  number of extra parameters

p-value of LR in a chi^2 distribution with dof

but its a lot easier to use

built in functions

- increasing the model complexity increases the R2 but does not guarantee a better model

- the likelihood ratio is a way to assess if the more complex model is better in a NHRT sense

not all points are equal!

This function creates a “bubble” plot of Studentized residuals versus hat leverage values.

hi residual: outlier on the Y axis

 high leverage : at the edge of the X axis

influence analysis

identify data points that have strong influence on the model fit: unusual x values or their y value is an "outlier". Points that are both are on the top right of the plot and are high influence points. Cook's distance is represented by the size of the bubble.

It can be shown that OLS minimization of the sum of the square errors (SSE) is equivalent to calculating the slope and intercept as:

 

 

s=\frac{\sum_{i=1}^N(x_i−\bar{X})(y_i- \bar{Y})}{\sum_{i=1}{N}(x_i−\bar{X})^2}\\ \\ b=\bar{Y}−\bar{X}

Normal equation

how do we model?

Choose the model:

a mathematical formula to represent the behavior in the data

1

example: line model y = a x + b

parameters

how do we model?

Choose the model:

a mathematical formula to represent the behavior in the data

1

example: line model y = a x + b

parameters

Choose the hyperparameters:

parameters chosen before the learning process, which govern the model and training process

example: the degree N of the polynomial

y = \sum^N_{i=0}c_i x^i

how do we model?

Choose an objective function:

in order to find the "best" parameters of the model: we need to "optimize" a function.

We need something to be either MINIMIZED or MAXIMIZED

2

example:

line model: y = a x + b

parameters

objective function: sum of residual squared (least square fit method)

SSE = \sum(y_{i,observed}-y_{i,predicted})^2
SSE = \sum(y_{i,observed}-(ax_i+b))^2

we want to minimize SSE as much as possible

Optimizing the Objective Function

assume a simpler line model   y = ax 

(b = 0) so we only need to find the "best" parameter a

assume a simpler line model   y = ax 

(b = 0) so we only need to find the "best" parameter a

Minimum (optimal) SSE

     a = 4

Optimizing the Objective Function

assume a simpler line model   y = ax 

(b = 0) so we only need to find the "best" parameter a

How do we find the minimum if we do not know beforehand how the SSE curve looks like?

Optimizing the Objective Function

Minimum (optimal) SSE

     a = 4

3.1

stochastic gradient descent (SGD)

what is a machine learning?

1

2

3

4

  • start at a random point in the parameter space
  • calculate the loss
  • figure out how which direction of the parameter space change makes the loss smaller
  • change the parameters in that direction
  • recalculate the loss
  • take smaller steps the closer you are to the minimum

the algorithm: Stochastic Gradient Descent (SGD)

assume a simpler line model   y = ax 

(b = 0) so we only need to find the "best" parameter a

the algorithm: Stochastic Gradient Descent

assume a simpler line model   y = ax 

(b = 0) so we only need to find the "best" parameter a

1. choose initial value for a

-1

the algorithm: Stochastic Gradient Descent

assume a simpler line model   y = ax 

(b = 0) so we only need to find the "best" parameter a

1. choose initial value for a=a0

2. calculate the loss at a0 : SSE(a0)

the algorithm: Stochastic Gradient Descent

assume a simpler line model   y = ax 

(b = 0) so we only need to find the "best" parameter a

1. choose initial value for a=a0

2. calculate the loss at a0 : SSE(a0)

3. calculate best direction to              go to decrease the SSE

the algorithm: Stochastic Gradient Descent

assume a simpler line model   y = ax 

(b = 0) so we only need to find the "best" parameter a

1. choose initial value for a=a0

2. calculate the loss at a0 : SSE(a0)

3. calculate best direction to              go to decrease the SSE

the algorithm: Stochastic Gradient Descent

assume a simpler line model   y = ax 

(b = 0) so we only need to find the "best" parameter a

1. choose initial value for a=a0

2. calculate the loss at a0 : SSE(a0)

3. calculate best direction to              go to decrease the SSE

the algorithm: Stochastic Gradient Descent

assume a simpler line model   y = ax 

(b = 0) so we only need to find the "best" parameter a

1. choose initial value for a=a0

2. calculate the loss at a0 : SSE(a0)

3. calculate best direction to              go to decrease the SSE

4. step in that direction

the algorithm: Stochastic Gradient Descent

assume a simpler line model   y = ax 

(b = 0) so we only need to find the "best" parameter a

1. choose initial value for a=a0

2. calculate the loss at a0 : SSE(a0)

3. calculate best direction to              go to decrease the SSE

4. step in that direction

5. go back to step 2 and repeat

the algorithm: Stochastic Gradient Descent

assume a simpler line model   y = ax 

(b = 0) so we only need to find the "best" parameter a

1. choose initial value for a=a0

2. calculate the loss at a0 : SSE(a0)

3. calculate best direction to              go to decrease the SSE

4. step in that direction

5. go back to step 2 and repeat

the algorithm: Stochastic Gradient Descent

assume a simpler line model   y = ax 

(b = 0) so we only need to find the "best" parameter a

1. choose initial value for a=a0

2. calculate the loss at a0 : SSE(a0)

3. calculate best direction to              go to decrease the SSE

4. step in that direction

5. go back to step 2 and repeat

the algorithm: Stochastic Gradient Descent

assume a simpler line model   y = ax 

(b = 0) so we only need to find the "best" parameter a

1. choose initial value for a=a0

2. calculate the loss at a0 : SSE(a0)

3. calculate best direction to              go to decrease the SSE

4. step in that direction

5. go back to step 2 and repeat

the algorithm: Stochastic Gradient Descent

assume a simpler line model   y = ax 

(b = 0) so we only need to find the "best" parameter a

1. choose initial value for a=a0

2. calculate the loss at a0 : SSE(a0)

3. calculate best direction to              go to decrease the SSE

4. step in that direction

5. go back to step 2 and repeat

the algorithm: Stochastic Gradient Descent

assume a simpler line model   y = ax 

(b = 0) so we only need to find the "best" parameter a

1. choose initial value for a=a0

2. calculate the loss at a0 : SSE(a0)

3. calculate best direction to              go to decrease the SSE

4. step in that direction

5. go back to step 2 and repeat

the algorithm: Stochastic Gradient Descent

for a line model   y = ax + b 

we need to find the "best" parameters a and b

1. choose initial value for a & b

2. calculate the SSE(a0,b0)

3. calculate best direction to              go to decrease the SSE

4. step in that direction

5. go back to step 2 and repeat

the algorithm: Stochastic Gradient Descent

for a line model   y = ax + b 

we need to find the "best" parameters a and b

1. choose initial value for a & b

2. calculate the SSE(a0,b0)

3. calculate best direction to              go to decrease the SSE

4. step in that direction

5. go back to step 2 and repeat

the algorithm: Stochastic Gradient Descent

Things to consider:

the algorithm: Stochastic Gradient Descent

Things to consider:

-  local vs. global minima

 

local minima

global minimum

the algorithm: Stochastic Gradient Descent

Things to consider:

-  local vs. global minima

initialization: choosing starting spot?

global minimum

local minima

the algorithm: Stochastic Gradient Descent

Things to consider:

-  local vs. global minima

 

Stochastic Gradient Descent (SGD): use a different (random) sub-sample of the data at each iteration

also: try different starting points and do multiple minimization (computationally expensive)

also: sometimes also go uphill (MonteCarlo methods)

the algorithm: Stochastic Gradient Descent

Things to consider:

-  local vs. global minima

initialization: choosing starting spot?

learning rate: how far to step?

the algorithm: Stochastic Gradient Descent

Things to consider:

-  local vs. global minima

initialization: choosing starting spot?

learning rate: how far to step?

the algorithm: Stochastic Gradient Descent

Things to consider:

-  local vs. global minima

initialization: choosing starting spot?

learning rate: how far to step?

the algorithm: Stochastic Gradient Descent

Things to consider:

-  local vs. global minima

initialization: choosing starting spot?

learning rate: how far to step?

the algorithm: Stochastic Gradient Descent

Things to consider:

-  local vs. global minima

initialization: choosing starting spot?

learning rate: how far to step?

the algorithm: Stochastic Gradient Descent

assume a simpler line model   y = ax 

(b = 0) so we only need to find the "best" parameter a

1. choose initial value for a

2. calculate the SSE

3. take the gradient of the SSE and step in proportion

: the gradient is the slope of a line tangential to a point on a curve

\nabla x
\mathrm{Gradient~descent}\\ l.r. = \eta * \nabla x_{x=a_0}

the algorithm: Stochastic Gradient Descent

Things to consider:

-  local vs. global minima

initialization: choosing starting spot?

learning rate: how far to step?

Adaptive learning rate: fast early on, slow later. Very common with Neural Networks

\mathrm{Gradient~descent}\\ l.r. = \eta * \nabla x_{x=a_0}

the algorithm: Stochastic Gradient Descent

Things to consider:

-  local vs. global minima

initialization: choosing starting spot?

learning rate: how far to step?

stopping criterion: when to stop?

epistemological rooots of overfitting

4

overfitting

Okham's razor

Ockham’s razor: Pluralitas non est ponenda sine neccesitate

or “the law of parsimony”

 

William of Ockham (logician and Franciscan friar) 1300ca

but probably to be attributed to John Duns Scotus (1265–1308)

 

”Complexity needs not to be postulated without a need for it”

“Between 2 theories choose the simpler one”

Okham's razor

Ockham’s razor: Pluralitas non est ponenda sine neccesitate

or “the law of parsimony”

 

William of Ockham (logician and Franciscan friar) 1300ca

but probably to be attributed to John Duns Scotus (1265–1308)

 

”Complexity needs not to be postulated without a need for it”

“Between 2 theories choose the simpler one”

“Between 2 theories choose the one with fewer parameters"

From the Greeks to Peter Apian, Cosmographia, Antwerp, 1524

Okham's razor

Author Dr Long's copy of Cassini, 1777

Okham's razor

From the Greeks to Peter Apian, Cosmographia, Antwerp, 1524

Heliocentric model from Nicolaus Copernicus'

"De revolutionibus orbium coelestium".

Author Dr Long's copy of Cassini, 1777

Okham's razor

From the Greeks to Peter Apian, Cosmographia, Antwerp, 1524

Heliocentric model from Nicolaus Copernicus'

"De revolutionibus orbium coelestium".

Author Dr Long's copy of Cassini, 1777

Okham's razor

Two theories may explain a phenomenon just as well as each other. In that case you should prefer the simpler one

Meanwhile, in the Arab world geocentrism was being questioned as early as the IX century 

Okham's razor

data

model fit to data

Okham's razor

model fit to data

y = ax^2 + bx + c
y = ax + b

Okham's razor

model fit to data

1 variable: x

y = ax^2 + bx + c
y = ax + b

Okham's razor

model fit to data

parameters

the complexity of a model can be measured by the number of variables and the numbers of parameters

y = ax^2 + bx + c
y = ax + b

Okham's razor

the complexity of a model can be measured by the number of variables and the numbers of parameters

mathematically: given N data points there exist an N-features model that goes exactly through each data point. but is it useul??

Overfitting: fitting data with a model that is too complex and that does not extend to new data (low predictive power on test data)

Okham's razor

data

model fit to data

Okham's razor

how to avoid overfitting in machine learning

5

overfitting

Cross validation

Cross validation

test train validation

train parameters on training set

run only once on the test set to assess the model performance

Cross validation

test + train + validation

train parameters on training set

adjust parameters on validation set

run only once on the test set to assess the model performance

Cross validation

k-fold cross validation

Cross validation

10/4 MIDTERM


10/4 : MIDTERM in class

what is covered in the midterm? everything we do until 9/31!


how is the midterm graded?

  • data ingestion (30%)
  • data exploration (descriptive statistics) (50%)
  • NHRT or model (20%)

RULES: work on your on, ALL CAMERAS MUST BE ON

The grading scheme reflects the complexity of the tasks and the expectation of how well they have been absorbed based on how long we have been working on it


key concepts

line models and polynomial models

parameters and hyperparameters

objective function: what do we minimize to choose parameters?

model diagnostics and choosing models

influence points

cross validation

 

 

references

this is a pretty comprehensive and clear medium post with coding examples

 

this is a whole paper about modeling in practice and in theory which covers extensively how to deal with uncertainties. it is not for the faint of heart. The notes are entertaining

reading

viewing

Foundations of Data Science for Everyone

By federica bianco

Foundations of Data Science for Everyone

Machine Learning and linear regression

  • 722