Title Text

 

University of Delaware

Department of Physics and Astronomy

 

Biden School of Public Policy and Administration

Data  Science Institute

 

Rubin Observatory Construction Project - Deputy Project Scientist

Rubin Transients and Variable Stars Science Collaboration

 

         

               

federica bianco - Associate Professor

(she/her)

This is a living land acknowledgement developed in consultation with tribal leadership of Poutaxet, what is now known as the “Delaware Bay,” including: the Lenape Indian Tribe of Delaware, the Nanticoke Indian Tribe, and the Nanticoke Lenni-Lenape Tribal Nation in 2021. We thank these leaders for their generosity.

The University of Delaware occupies lands vital to the web of life for Lenni Lenape and Nanticoke, who share their ancestry, history, and future in this region. UD has financially benefited from this regional occupation as well as from Indigenous territories that were expropriated through the United States land grant system. European colonizers and later the United States forced Nanticoke and Lenni Lenape westward and northward, where they formed nations in present-day Oklahoma, Wisconsin, and Ontario, Canada. Others never left their homelands or returned from exile when they could. We express our appreciation for ongoing Indigenous stewardship of the ecologies and traditions of this region. While the harms to Indigenous people and their homelands are beyond repair, we commit to building right relationships going forward by collaborating with tribal leadership on actionable institutional steps.

Time domain astrophysics at a glance

 

Leading the Rubin LSST army of volunteers

Rubin LSST projects at FASTLab

At the intersection of astrophysics and Public Policy: From Light Echoes to Pollution Plumes

Data skills for good: COVID response support in Delaware

https://www.youtube.com/watch?v=qc_iscV1uA0

Bulding a legacy: the Vera C. Rubin Obsrvatory and LSST

what's in a name?

Rubin Obs is the first ground-based US National Observatory named after a woman astrophysicist, Dr. 

Vera Florence Cooper Rubin  

pioneered studies of Dark Matter through rotational curves

VRO

federica bianco - fbianco@udel.edu

@fedhere​

what's in a name?

Rubin Obs is the first ground-based US National Observatory named after a woman astrophysicist, Dr. 

Vera Florence Cooper Rubin  

pioneered studies of Dark Matter through rotational curves

federica bianco - fbianco@udel.edu

@fedhere​

The Legacy Survey of Space and Time (LSST) is a 10-year survey that will be conducted in the first 10 years of life of Rubin Observatory

Vera C. Rubin Observatory:

 

 

LSST Science Drivers

Probing Dark Energy and Dark Matter

image credit ESO-Gaia

LSST Science Drivers

Mapping the Milky Way and Local Volume

via resolved stellar population

An unprecedented inventory of the Solar System from threatening NEO to the distant Oort Cloud

LSST Science Drivers

LSST Science Drivers

image credit: ESA-Justyn R. Maund 

Exploring the Transients and Variable Universe

10M alerts every night shared with the world

60 seconds after observation

Cosmology in the LSST era

Use of multiple cross-checking probes that reach unprecedented precision .

 

 

Dark energy manifests itself in two ways. The first is the relationship between redshift and distance (the Hubble diagram), or equivalently the expansion rate of the universe as a function of cosmic time. The second is the rate at which matter clusters with time.

Iveziv 2019

Weak lensing

requires exquisite resolution and image quality

 

 

 

 

 

To accomplish this, we need:

1) a large telescope mirror to be sensitive - 8m (6.7m)

 

 

 

Objective: provide a science-ready dataset to transform the 4 key science area

federica bianco - fbianco@udel.edu

2026

 

 

 

 

To accomplish this, we need:

1) a large telescope mirror to be sensitive - 8m (6.7m)

2) a large field-of-view for sky-scanning speed - 10 deg2

 

Objective: provide a science-ready dataset to transform the 4 key science area

federica bianco - fbianco@udel.edu

 

 

 

 

To accomplish this, we need:

1) a large telescope mirror to be sensitive - 8m (6.7m)

2) a large field-of-view for sky-scanning speed - 10 deg2

3) high spatial resolution, high quality images - 0.2''/pixels

 

 

 

Objective: provide a science-ready dataset to transform the 4 key science area

 

 

 

 

To accomplish this, we need:

1) a large telescope mirror to be sensitive - 8m (6.7m)

2) a large field-of-view for sky-scanning speed - 10 deg2

3) high spatial resolution, high quality images - 0.2''/pixels

4) scan sky rapidly and process images in realtime and offline to produce live alerts and catalogs of all 37B objects 

 

 

 

Objective: provide a science-ready dataset to transform the 4 key science area

federica bianco - fbianco@udel.edu

2026

sensitivity

area of sky surveyed with 1 image

Resolution

10 (3.2 Gpx)

8

7

6

2M 3,200 Gigapixel images in 10 years -about 60 PB of data

Large FoV - High Resolution - High Sensitivity

federica bianco - fbianco@udel.edu

Rubin Field of View: 10deg square

LIGO/VIRGO GW area of localization ~100deg square

 Ursa Minor: 255.86 square degrees

S190425z 18% of the sky localization

federica bianco - fbianco@udel.edu

@fedhere

At this level of precision,everything is variable, everything is blended, everything is moving.

SDSS

LSST-like HSC composite

Field of View'
Image resolution'

DDFs'
Standard visit'
Photometric precision'
Photometric accuracy'
Astrometric precision'
Astrometric accuracy'
9.6 sq deg
0.2'' (seeing limited)

5 DDF
30 sec
5 mmag
10 mmag
10 mas
50 mas

' requirement: ls.st/srd

*simulation pstn-054.lsst.io

Rubin Transients by the numbers

(2026)

 

 

17B stars Ivezic+19

 

 

 

 

(2026)

Rubin Transients by the numbers

SKA

(2025)

 

 

17B stars Ivezic+19

~10 million QSO Mary Loli+21

 

 

 

 

 

(2026)

Rubin Transients by the numbers

SKA

(2025)

 

 

17B stars Ivezic+19

~10 million QSO Mary Loli+21

200 quadruply-lensed quasars Minghao+19

 

 

 

 

 

(2026)

Rubin Transients by the numbers

SKA

(2025)

 

 

17B stars Ivezic+19

~10 million QSO Mary Loli+21

200 quadruply-lensed quasars Minghao+19

~50 kilonovae Setzer+19, Andreoni+19   (+ ToO)

 

 

 

 

 

(2026)

Rubin Transients by the numbers

SKA

(2025)

 

 

17B stars Ivezic+19

~10 million QSO Mary Loli+21

200 quadruply-lensed quasars Minghao+19

~50 kilonovae Setzer+19, Andreoni+19   (+ ToO)

~500 Lensed Supernovae Ardense+ 2024

 

 

 

(2026)

Rubin Transients by the numbers

SKA

(2025)

 

 

17B stars Ivezic+19

~10 million QSO Mary Loli+21

200 quadruply-lensed quasars Minghao+19

~50 kilonovae Setzer+19, Andreoni+19   (+ ToO)

~500 Lensed Supernovae Ardense+ 2024

~ 50k Tidal Disruption Events Brickman+ 2020

 

 

 

 

(2026)

Rubin Transients by the numbers

 

 

17B stars Ivezic+19

~10 million QSO Mary Loli+21

200 quadruply-lensed quasars Minghao+19

~50 kilonovae Setzer+19, Andreoni+19   (+ ToO)

~500 Lensed Supernovae Ardense+ 2024

~ 50k Tidal Disruption Events Brickman+ 2020

> 10 Interstellar Objects (👽?)

 

 

 

 

SKA

(2025)

(2026)

Rubin Transients by the numbers

 

 

17B stars Ivezic+19

~10 million QSO Mary Loli+21

200 quadruply-lensed quasars Minghao+19

~50 kilonovae Setzer+19, Andreoni+19   (+ ToO)

~500 Lensed Supernovae Ardense+ 2024

~ 50k Tidal Disruption Events Brickman+ 2020

> 10 Interstellar Objects (👽?)

?? things we dont know

 

 

 

 

SKA

(2025)

(2026)

Rubin Transients by the numbers

Rubin Observatory

Site: Cerro Pachon, Chile

Funding: US NSF + DOE

Status: final phases of construction - completion expected 2025

federica bianco - fbianco@udel.edu

@fedhere

September 2016

@fedhere

Fabruary 2020

@fedhere

May 2022

@fedhere

November 2022

@fedhere

May 2022

May 2022 - Telescope Mount Assembly

 

18

weight 2e5 kg, max slew rate 0.2 rad/s

Most of the weight in a 10m disk
Angular momentum

 

5,000,000 ~kg~m^2 s^{-1}

The DOE LSST Camera - 3.2 Gigapixel

The DOE LSST Camera - 3.2 Gigapixel

late 2024-

early 2025

mid 2025

~2 years

from now

First data release ~3y from now

alerts build up

The Legacy Survey of Space and Time

 

what do we mean when we say survey??

Rubin LSST survey design

Rubin has involved the community to an unprecedented level in survey design this is a uniquely "democratic" process!

Wide Fast Deep
18,000 w >800 images in 10 years

set by cosmology

5 Deep Drilling Fields

coadds >1 mag deeper than WFD

North Ecliptic spur for Solar System science

South Celestial Pole

+ Microsurveys

+ Targets of Opportunity

The Galactic Plane is observed differently

http://astro-lsst-01.astro.washington.edu:8080/?runId=2

26.8

29.1

28.6

26.8

Rubin LSST survey design

(current plan: the Deep Drilling Fields)

700       N visits.     1200   

r

r

COSMOS

Euclid DF-S

LSST survey strategy optimization

Rubin LSST survey design

federica bianco - fbianco@udel.edu

KN

federica bianco - fbianco@udel.edu

u,g,r,i,z,y
Photometric filters'
saturation limit'
# visits*
mag single image*
mag coadd*
Nominal cadence
​u, g, r, i, z, y
~15, 16, 16, 16, 15, 14
53, 70, 185, 192, 168, 165
23.34, 23.2, 24.05, 23.55 22.03
25.4, 26.9, 27.0, 26.5, 25.8, 24.9
2-3 visits per night

' requirement: ls.st/srd

*simulation pstn-054.lsst.io

COADDED DEPTH: dark sector (lensing, SN, large scale structure, local volume)

SINGLE IMAGE DEPTH: SN cosmology, transients

FOOTPRINT: large scale structures, lensing, solar system

CADENCE: solar system, transients

distributions of time gaps in 76 OpSims

Rubin LSST survey design

Rubin LSST survey design

20+ peer review papers accepted several more under review and in preparation https://iopscience.iop.org/journal/0067-0049/page/rubin_cadence

Rubin LSST survey design

Rubin has involved the community to an unprecedented level in survey design this is a uniquely "democratic" process!

Survey Cadence Optimization Committee

Operation Simulator (OpSim)

simulates the catalog of LSST observations + observation properties

 

Metric Analysi Framwork (MAF)

Python API to interact with OpSims specifying science performance on a science case with a metric

Lynne Jones

Peter Yoachim

~100s simulations

~1000s MAFs

Rubin LSST survey design

Rubin LSST survey design

Rubin has involved the community to an unprecedented level in survey design this is a uniquely "democratic" process!

2017

Rubin LSST survey design

Rubin has involved the community to an unprecedented level in survey design this is a uniquely "democratic" process!

2019

Rubin LSST survey design

Rubin has involved the community to an unprecedented level in survey design this is a uniquely "democratic" process!

2023

Rubin LSST survey design

Rubin has involved the community to an unprecedented level in survey design this is a uniquely "democratic" process!

2024

newer simulations ->

<-bad         good ->

Survey Strategy contines to improve the majority of LSST Science Cases

Rubin LSST survey design

 

The immutable skies

 Bartolomeu Velho, 1568 (Bibliothèque Nationale, Paris)

1549 Oronce Fine, France

From Flammarion's Astronomie Populaire (1880): in Scania, Denmark

Workshop of Diebold Lauber unknown artist, ca.1450

cepheid

GRB Afterglows

AGN

←Dimmer                                   Brighter →

cepheid

GRB Afterglows

AGN

←Dimmer                                   Brighter →

GRB Afterglows

brighter   

GRB Afterglows

today

cepheid

GRB Afterglows

AGN

cepheid

GRB Afterglows

AGN

?

newer simulations ->

<-bad         good ->

2023 simulations: 62% improvement

newer simulations ->

4 – 24 hour gaps between epochs will enable kilonova parameter estimation

 

    2017

2024

Andreoni+ 2022a

TDA Anomalies in LSST

 

Synergy and Survey coordination

 

LSST has profoundly changed the TDA infrastructure

Data Products

federica bianco - fbianco@udel.edu

federica bianco - fbianco@udel.edu

described in ls.st/LDM-612

federica bianco - fbianco@udel.edu

described in ls.st/LDM-612

world public!

10M alerts per night!! anything that changed by >5σ from "how the sky usually looks"

in 60 seconds:

Difference Image Analysis

in 60 seconds:

Difference Image Analysis + Bogus rejection

Rubin Observatory LSST 

federica bianco - fbianco@udel.edu

To this day, transient astronomy heavily relies on spectra

To this day, transient astronomy heavily relies on spectra

federica bianco - fbianco@udel.edu

@fedhere​

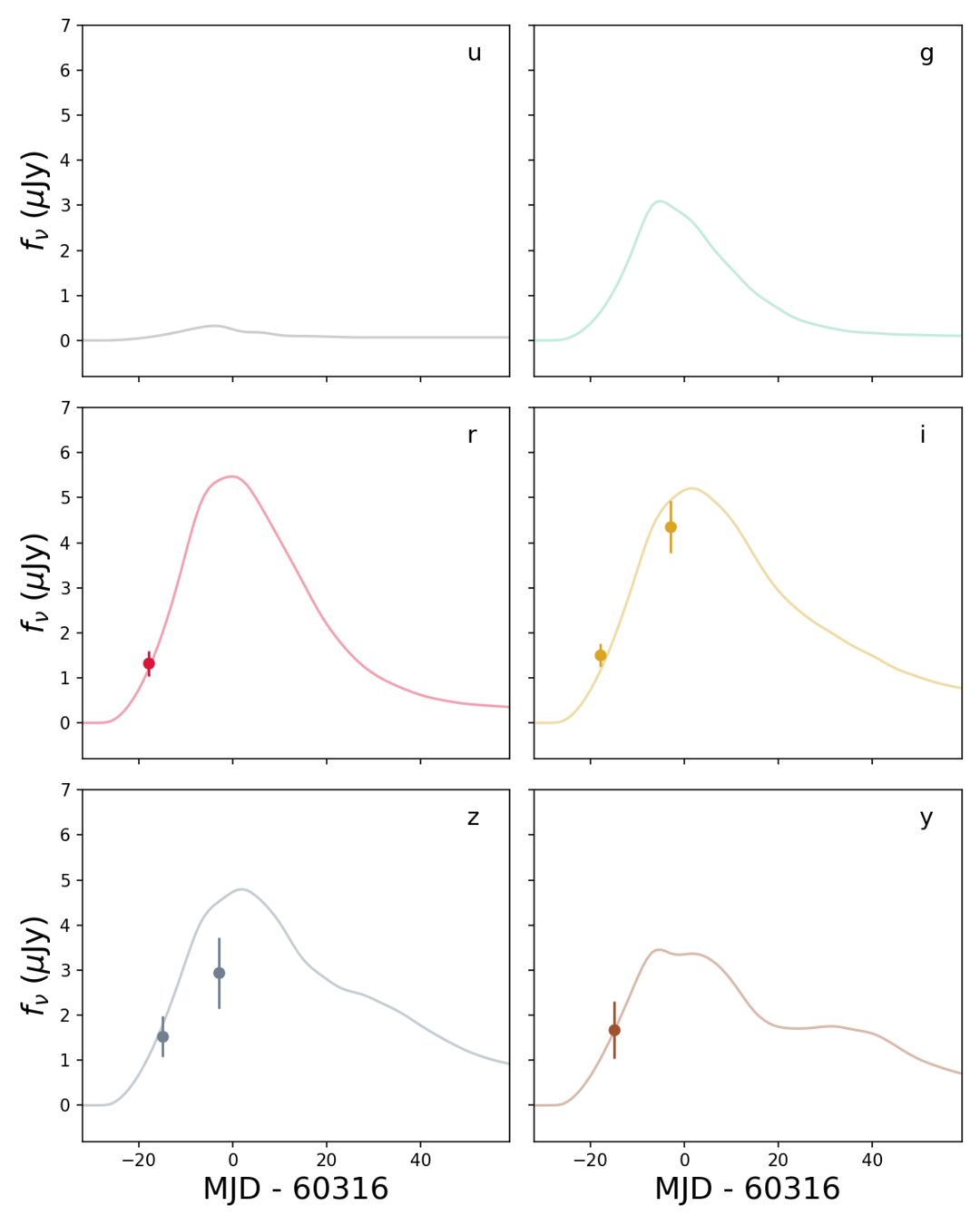
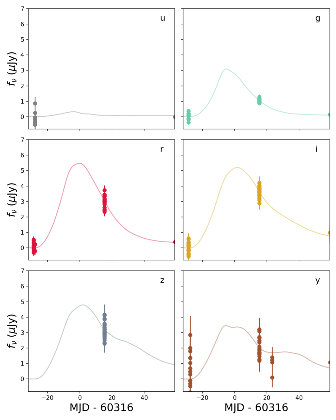
Rubin will see ~1000 SN every night!

Credit: Alex Gagliano University of Illinois, IAIFI fellow 2023

search

template

difference

-

=

96% accurate

Tatiana Acero-Cuellar, UNIDEL fellow, LSSTC data science fellow

search

template

difference

-

=

92% accurate

Tatiana Acero-Cuellar, UNIDEL fellow, LSSTC data science fellow

Saliency maps: what pixels matter?

Acero-Cuellar et al. DESC submitted

Discovery Engine

10M alerts/night

Community Brokers

target observation managers

Pitt-Google

Broker

BABAMUL

federica bianco - fbianco@udel.edu

the new astronomy discovery chain

What is the network learning?

What can we learn from the AI?

search

template

difference

template

search

Tatiana Acero-Cuellar, UNIDEL fellow, LSSTC data science fellow

Photometric Classification of transients

Photometric Classification of transients

Kepler satellite EB

LSST (simulated) EB

LSST Deep Drilling Fields

Kaggle PLAsTiCC challenge

AVOCADO classifier

https://arxiv.org/abs/1907.04690

LSST Wide Fast Deep (main survey)

Photometric Classification of transients

Willow Fox Fortino

UDelaware

When they go high, we go low

Classification power vs spectral resolution for SNe subtypes

 

 

Willow Fox Fortino

UDelaware

Optimal deep learning architectures for transients' spectral classification

Training a NN: 

  • labels are provided (e.g. SN Ia)
  • epoch 1: NN guesses label by setting weights at random
  • epoch 2-last: NN adjusts weights based on label distance (gradient descent)

Results are based on test data, unseen in training

Data Products

federica bianco - fbianco@udel.edu

federica bianco - fbianco@udel.edu

Time

Domain

Science

 

Static

Science

Alerts based

 

Catalog based

Deep stack

based

Deep stack

based

federica bianco - fbianco@udel.edu

Time

Domain

Science

 

Static

Science

Alerts based

 

Catalog based

Deep stack

based

Time

Domain

Science

 

Static

Science

AGN

STRONG

LENSING

50M+ AGNs to z~7.5

 

variability, microlensing, binaries

 

cosmography from Lens Time Delays

 

calibration of cluster mass function with with S+W Lensing

 

resolved high z galaxy properties

 

Rubin ToO program

federica bianco - fbianco@udel.edu

Rubin ToO program

 

State of the art in coordination: GW Treasure Map

https://treasuremap.space/alerts?graceids=S230922g

federica bianco - fbianco@udel.edu

Rubin ToO program

Andreoni+ 2022b

+80 authors!

PROS:

Large FoV (10 sq deg - easly cover 100 sq deg in full)

6 filters (5 available on any given night)

deep observations (r~24 in 30 sec, up to 180 sec)

public data

 

 

federica bianco - fbianco@udel.edu

This is a workshop: the goal of the workshop is to produce a report to be delivered to the SCOC containing recommendations for how to implement ToO responses with Rubin. There are no talks.Time is dedicated to collaboratively working toward the workshop report.  

Rubin ToO program

 

 

SOC: I. Andreoni (KN), F. Bianco, A. Franckowiak (ν), T. Lister (Solar System),

R. Margutti (KN, GRB), G. Smith (Lensed KN)

federica bianco - fbianco@udel.edu

Rubin ToO program

 

Respond to GW triggers in O5 for Neutron Star mergers and BH-Neutron Star mergers

~25 events in ~2 years

Respond to GW triggers in O5 for BH-BH mergers

~7 events in ~2 years

Respond to GW triggers in O5 for lensed NS mergers

~1 events in ~2 years

Respond to IceCube+ neutrino triggers 

~4 events / year

Respond to IceCube+ neutrino triggers 

~4 events / year

Respond to IceCube+ neutrino triggers 

~4 events / year

Respond to Solar System hazardous objects 

<30 events / year

Respond to Solar System hazardous objects 

<30 events / year

Think outside the box!

atmosphere-aided studies with LSST

dDCR               color                physical parameters

Quasars -> redshift

via spectral features falling in different observation bands

atmosphere-aided studies with LSST

Riley Clarke, UDelware

dM                 Flare energy

dDCR               color                Flare temperature

NSF Award #2308016

P.I. Bianco

Riley Clarke et al. 2024 submitted

AstroPhysical Journl Supplements

LSST ΔDCR detectability

Riley Clarke, UDelware

Stars that flare ΔDCR

LSST ΔDCR detectability

Riley Clarke, UDelware

Stars that flare ΔDCR

Riley Clarke, UDelware

Stars that flare ΔDCR

2018 Cadence White Paper

how to get involved

The Rubin Organization is almost as complex as the Universe it will explore!

join a Rubin LSST Science Collaborations

8 teams

>1500 members

>2000 affiliations

5 continents

federica bianco - fbianco@udel.edu

Rubin LSST Science Collaborations

8 SCs - 6 continents - 2000 people - 25 countries

We aspire to be an inclusive, equitable, and ultimately just group and we are working with renewed vigor in the wake of the recent event that exposed inequity and racism in our society to turning this aspiration into action.

No commitment required for basic membership

No data rights required (being a member of an SC does not confer data rights

join a Rubin LSST Science Collaborations

Will Clarkson

SC coordinator

become a DP0 delegate

Rubin Community Science Team lead: Melissa Graham 

 

federica bianco - fbianco@udel.edu

join the Community forum

 

 

Rubin Community Forum (Community.lsst.org) is available to everyone, and the posting of any and all Rubin/LSST-related questions is encouraged.

stay up to date with ls.st/dates

 

 

federica bianco - fbianco@udel.edu

federica bianco - fbianco@udel.edu

Rubin Operations Research Inclusion team

federica bianco - fbianco@udel.edu

thank you!

 

University of Delaware

Department of Physics and Astronomy

 

Biden School of Public Policy and Administration

Data  Science Institute

@fedhere

federica bianco

fbianco@udel.edu

The violent and rapidly varying radiation from black holes, neutron stars, and white dwarfs makes them promising targets for high time resolution imaging.

The rotation, pulsation, and local accretion dynamics of these compact stellar remnants tends to occur on timescales ranging from seconds to milliseconds. Their extreme densities also makes them an excellent testing ground for nuclear, quantum, and gravitational physics.

Thomas and Kahn, 2018

Additional targets

  • cataclysmic variable stars,
  • X-ray binary stars,
  • flare stars,
  • blazars
  • Fast Radio Bursts
  • technosignatures

cepheid

Continuous readout astronomical images for anomaly detection in ZTF

Shar Daniels, NSF GRFP Fellow 2024

new transformer models!

Light Echoes

Light Echoes

η-Carinae light echoes

Rest et al. (w Bianco) 2012Natur.482..375R​

Light Echoes

η-Carinae light echoes

Frew 2004, Smith & Frew 2011

Light Echoes

η-Carinae light echoes

Light Echoes

η-Carinae light echoes

Xiaolong Li et al. 2022

LSSTC Catalyst Fellow, J. Hopkins

AILE: the first AI-based platform for the detection and study of Light Echoes

NSF Award #2108841

P.I. Bianco

Light Ecoes are rare strophsyical pheonomena and a near-pessimal problem for AI, but with as much data as LSST AI is a necessity

 

  • imbalance classes
  • diverse morphology
  • low SNR
  • small training data
  • inaccurate labels

Testing the performancde os SAM on astronomical objects

Rodiat Ayinde

Lincoln University (PA)

NSF Award #2123264

P.I. Bianco

Multi-city Urban Observatory Network

Studying cities as complex systems through imaging data

Multi-city Urban Observatory Network

Studying cities as complex systems through imaging data

  • energy demand and consumption
  • ecology of flora and fauna
  • urban metabolism
  • circadiem rhythms

Multi-city Urban Observatory Network

From Light Echoes to Polluting Plumes

Pessimal AI problem:

  • small training data
  • inaccurate labels
  • imbalance classes
  • diverse morphology
  • low SNR
  • complex BG

Jessica Salcido, NYU

 

From Light Echoes to Polluting Plumes

Pessimal AI problem:

  • small training data
  • inaccurate labels
  • imbalance classes
  • diverse morphology
  • low SNR
  • complex BG

Jessica Salcido, NYU

 

reconstructed

next in sequence

PCA alligned difference 

-

=

Jessica Salcido, NYU

 

Real Time detection of emerging plumes and other anomalies in city scapes

Somayeh Khakpash

Catalyst Fellow (Rutgers)

Autoencoders to generate computationally expensive caustic maps for quasar microlensing and infer physical parameters from the latent space

FASTlab Flash highlight

Plumes and heat in NIR

Plumes in hyperspectral imaging

"It has been invaluable to have predictions for the next week instead of having to panic about the next shift"

Dr. Somayeh Khakpash

LSSTC Catalyst Fellow, Rutgers

Rare classes will become common, but how do we know what we are looking at and classify different objects for sample studies?

Data-Driven Templates for stripped SESN

 

Research Inclusion: sonification of LSST lightcurves

Riley Clarke, UD grad student Sid Patel, UD undergrad summer research project

Sonification: Data → Sound

New way of understanding data

  • Can be complementary to visualizations
  • Gives access to people who cannot
    interpret data visually

  • Sounds cool! Good for public outreach

Research Inclusion: sonification of LSST lightcurves

Rubin Rhapsodies

Research Inclusion: sonification of LSST lightcurves

Rubin Rhapsodies

Rubin Observatory LSST 

Diversity Equity Inclusion

Rubin LSST Science Collaborations

We aspire to be an inclusive, equitable, and ultimately just group and we are working with renewed vigor in the wake of the recent event that exposed inequity and racism in our society to turning this aspiration into action.

Rubin LSST Science Collaborations

what's in a name?

The first ground-based national US observatory named after a woman, Dr. Vera C. Rubin 

VRO

In the first 10 years of its life Rubin will conduct the Legacy Survey of Space and Time or LSST

federica bianco - fbianco@udel.edu

@fedhere​

Will we discover new physics?

A comparative assessment of LSST potential surveys in the discovery of unknown unknowns

Fermi summer school 24

By federica bianco

Fermi summer school 24

Fermi summer school 24

  • 1,277