University of Delaware

Department of Physics and Astronomy

Biden School of Public Policy and Administration

Data  Science Institute

 

 

Rubin Legacy Survey of Space and Time

Deputy Project Scientist, Construction

Acting Head of Science, Operation

federica b. bianco

she/her

Building a legacy:

the LSST transient sky

University of Delaware

Department of Physics and Astronomy

Biden School of Public Policy and Administration

Data  Science Institute

 

 

Rubin Legacy Survey of Space and Time

Deputy Project Scientist, Construction

Acting Head of Science, Operation

federica b. bianco

she/her

this slide deck is live at https://slides.com/federicabianco/padova25

The best way to view the slides is on the web (to see videos and animations). A flat (PDF) version of this deck would be largely diminished

Building a legacy:

the LSST transient sky

Rubin Observatory

Site: Cerro Pachon, Chile

Funding: US NSF + DOE

 

Building an unprecedented catalog of Solar System Objects

LSST Science Drivers

Building an unprecedented catalog of Solar System Objects

LSST Science Drivers

Mapping the Milky Way and Local Volume

Building an unprecedented catalog of Solar System Objects

LSST Science Drivers

Mapping the Milky Way and Local Volume

Probing Dark Energy and Dark Matter

Building an unprecedented catalog of Solar System Objects

LSST Science Drivers

Mapping the Milky Way and Local Volume

Probing Dark Energy and Dark Matter

Exploring the Transient Optical Sky

 

 

 

 

To accomplish this, we need:

1) a large telescope mirror to be sensitive - 8m (6.7m)

2) a large field-of-view for sky-scanning speed - 10 deg2

3) high spatial resolution, high quality images - 0.2''/pixels

4) process images in realtime and offline to produce 10M nightly alerts and catalogs of all 37B objects

 

 

 

>=18000 sq degrees

~800 visits per field

2 visits per night (within ~30 min for asteroids)

+ 5x10sq deg Deep Drilling Fields with ~8000 visits

Objective: to provide a science-ready dataset to transform the 4 key science area

Are We There YET????!!!!

artist (me) impression of the first image taken by ComCam

The DOE LSST Camera - 3.2 Gigapixel

3024 science raft amplifier channels

Camera and Cryostat integration completed at SLAC in May 2022,

Shutter and filter auto-changer integrated into camera body

LSSTCam undergoing final stages of testing at SLAC

Rubin LSST Transients by the numbers

 

 

17B stars (x10) Ivezic+19

~10k SuperLuminous Supernovae (from ~200)Villar+ 2018

~400 strongly lensed SN Ia (from 10) Ardense+24

~3.3M SN II 580k SN Ibc Hložek+20

~1M SNIa (z<0.5) 1M SNIa (z<2) Griz+24

~50 kilonovae (from 2) Setzer+19, Andreoni+19   (+ ToO)

> 10 Interstellar Objects fom 2....    ?)

 

 

 

 

 

Rubin LSST Transients by the numbers

 

 

17B stars (x10) Ivezic+19

~10k SuperLuminous Supernovae (from ~200)Villar+ 2018

~400 strongly lensed SN Ia (from 10) Ardense+24

~3.3M SN II 580k SN Ibc Hložek+20

~1M SNIa (z<0.5) 1M SNIa (z<2) Griz+24

~50 kilonovae (from 2) Setzer+19, Andreoni+19   (+ ToO)

> 10 Interstellar Objects fom 2....    ?)

 

 

 

 

 

edge computing

Rubin LSST Transients by the numbers

 

 

17B stars (x10) Ivezic+19

~10k SuperLuminous Supernovae (from ~200)Villar+ 2018

~400 strongly lensed SN Ia (from 10) Ardense+24

~3.3M SN II 580k SN Ibc Hložek+20

~1M SNIa (z<0.5) 1M SNIa (z<2) Griz+24

~50 kilonovae (from 2) Setzer+19, Andreoni+19   (+ ToO)

> 10 Interstellar Objects fom 2....    ?)

 

 

 

 

 

Rubin LSST Transients by the numbers

 

 

17B stars (x10) Ivezic+19

~10k SuperLuminous Supernovae (from ~200)Villar+ 2018

~400 strongly lensed SN Ia (from 10) Ardense+24

~3.3M SN II 580k SN Ibc Hložek+20

~1M SNIa (z<0.5) 1M SNIa (z<2) Griz+24

~50 kilonovae (from 2) Setzer+19, Andreoni+19   (+ ToO)

> 10 Interstellar Objects fom 2....    ?)

 

 

 

 

 

Rubin LSST Transients by the numbers

 

 

17B stars (x10) Ivezic+19

~10k SuperLuminous Supernovae (from ~200)Villar+ 2018

~400 strongly lensed SN Ia (from 10) Ardense+24

~3.3M SN II 580k SN Ibc Hložek+20

~300k SNIa (z<0.3) ~800k SNIa (z<1) "well observed"Griz+24

~50 kilonovae (from 2) Setzer+19, Andreoni+19   (+ ToO)

> 10 Interstellar Objects fom 2....    ?)

 

 

 

 

 

Rubin LSST Transients by the numbers

 

 

17B stars (x10) Ivezic+19

~10k SuperLuminous Supernovae (from ~200)Villar+ 2018

~400 strongly lensed SN Ia (from 10) Ardense+24

~3.3M SN II 580k SN Ibc Hložek+20

~300k SNIa (z<0.3) ~800k SNIa (z<1) "well observed"Griz+24

~50 kilonovae (from 2) Setzer+19, Andreoni+19   (+ ToO)

> 10 Interstellar Objects fom 2....    ?)

 

 

 

 

 

True Novelties!

Rubin LSST Transients by the numbers



17B stars (x10) Ivezic+19

~10k SuperLuminous Supernovae (from ~200)Villar+ 2018

~400 strongly lensed SN Ia (from 10) Ardense+24

~3.3M SN II 580k SN Ibc Hložek+20

~300k SNIa (z<0.3) ~800k SNIa (z<1) "well observed"Griz+24

~50 kilonovae (from 2) Setzer+19, Andreoni+19   (+ ToO)

> 10 Interstellar Objects fom 2....    ?)






Exploring the Transient and Variable Optical Sky

Exploring the Transient and Variable Optical Sky

Exploring the Transient and Variable Optical Sky

Exploring the Transient and Variable Optical Sky

Exploring the Transient and Variable Optical Sky

Exploring the Transient and Variable Optical Sky

LSST survey strategy optimization

LSST Science Book (2009)

Rubin LSST survey design

Rubin has involved the community to an unprecedented level in survey design this is a uniquely "democratic" process!

Survey Cadence Optimization Committee

Rubin LSST survey design

2017

80,000

Rubin LSST survey design

Rubin has involved the community to an unprecedented level in survey design this is a uniquely "democratic" process!

2019

80,000

Rubin LSST survey design

Rubin has involved the community to an unprecedented level in survey design this is a uniquely "democratic" process!

2023

80,000

Rubin LSST survey design

Rubin has involved the community to an unprecedented level in survey design this is a uniquely "democratic" process!

2024

80,000

Rubin LSST survey design

Rubin has involved the community to an unprecedented level in survey design this is a uniquely "democratic" process!

2024

2024

80,000

Rubin LSST survey design up to 2018

 

# pairs of observations (1e5)

time gaps (days)

Introducing Rolling Cadence

Current plan: rolling 8 out of the 10 years

Rubin LSST survey design up to 2018

 

# pairs of observations (1e5)

time gaps (days)

Proposed 3 intranight obs

2 within 1 hour in different filters

1 at 4-8 hours separation w repeat filter

Intranight color (near instantaneous)

Intranight rate of change (~hour time scales)

 Presto-Color, Bianco+ 2019

newer simulations ->

<-bad         good ->

newer simulations ->

4 – 24 hour gaps between epochs will enable kilonova parameter estimation

 

Kilonovae in LSST Wide Fast Deep

Andreoni+ 2022a

Rubin ToO program

 

Rubin ToO program

 

What can we do with LSST SN data??

7% of LSST data

The rest

federica bianco - fbianco@udel.edu

Rubin will see ~1000 SN every night!

Credit: Alex Gagliano University of Illinois, IAIFI fellow 2023

Photometric Classification 

highest participation of any astronomical Kaggle challenges

Kaggle PLAsTiCC challenge

AVOCADO classifier

https://arxiv.org/abs/1907.04690

The PLAsTiCC challenge winner, Kyle Boone was a grad student at Berkeley, and did not use a Neural Network!

 

He won $2,000

Dr. Somayeh Khakpash

LSSTC Catalyst Fellow, Rutgers

Rare classes will become common, but how do we know what we are looking at and classify different objects for sample studies?

Data-Driven Photometric Templates for stripped SESN

 

on the job market!

Khakpash et al. 2024 ApJS https://arxiv.org/pdf/2405.01672

FASTlab Flash highlight

Siddarth Chiaini, UDelaware

 

Most classifiers for variable stars use Random Forest (not distance based)

In distance based classification, optimal distances can be found for the class of interest: flexible, customizable, efficient

https://arxiv.org/pdf/2403.12120.pdf

Astronomy and computing

FASTlab Flash highlight

Willow Fox Fortino

UDel grad student

When they go high, we go low

Classification power vs spectral resolution for SNe subtypes

 

Neural Network

classifier architectures:

- transformers
- CNNs

FASTlab Flash highlight

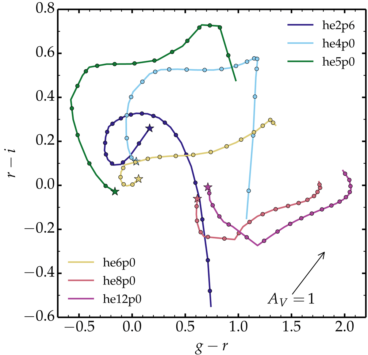
LSST color-color magnitude diagram for the Type Ibc simulations  from 100 to about 450 d after explosion. We show the color curves r − i vs. g − r for our He-star explosion models from 100 d (indicated by a star symbol) until the end of the simulation at around 450 d. Dots are equally spaced in time every 20 d. The arrow corresponds to the color shift caused by AV = 1 mag.

Persistent Observations Give Extensive Time Lightcurves

Leveraging image quality

Riley Clarke, UDelware

Stars that flare ΔDCR

on the job market!

FASTlab Flash highlight

Over the five-year window considered in this analysis, we predict to have 18 000 SNe Ia with at least five LSST observations (in any filter) with SNR > 3 [...]However, we predict that approximately 3700 SNe will have at least five Euclid detections with SNR > 3, and 1900 SNe will have at least ten detections with SNR > 3 from Euclid.

7% of LSST data

10k SN in Euclide DDF South

7% of LSST data

The LSST

Science Collaborations

The LSST

Science Collaborations

A community of practice funded on principles of Equity, Inclusivity, Cooperation

what's in a name?

The first ground-based national US observatory named after a woman, Dr. Vera C. Rubin 

An international community of practice built on principles of cooperation, equity, and solidarity

Rubin LSST Science Collaborations

8 teams

>2000 members

>2500 affiliations

5 continents

Rubin LSST Science Collaborations

Text

Shar Daniels

NSF Graduate Student Fellow

University of Delaware

TVS Science Collaboration

 Fast Transient Subgroup

join TVS! no fees no minimum req

Chair: Igor Andreoni

Rubin LSST Science Collaborations

late 2024-

early 2025

~6-9 months

alerts build up

ls.st/dates

  The First Look press conference is tentatively scheduled for June 17 2025  

first data release ~1.5-2y from now

15-Apr-2025  
  The First Look press conference is tentatively scheduled for June 17 2025  
  The First Look press conference is tentatively scheduled for June 17 2025  
04-Jul-2025  

 

thank you!

 

University of Delaware

Department of Physics and Astronomy

 

Biden School of Public Policy and Administration

Data  Science Institute

federica bianco

Rubin Construction

Deputy Project Scientist

fbianco@udel.edu

Rubin Observatory

Site: Cerro Pachon, Chile

Funding: US NSF + DOE

 

 

 

 

 

To accomplish this, we need:

1) a large telescope mirror to be sensitive - 8m (6.7m)

2) a large field-of-view for sky-scanning speed - 10 deg2

3) high spatial resolution, high quality images - 0.2''/pixels

4) process images in realtime and offline to produce live alerts and catalogs of all 37B objects 

 

 

 

Objective: provide a science-ready dataset to transform the 4 key science area

2025

@fedhere

At this level of precision,everything is variable, everything is blended, everything is moving.

SDSS

LSST-like HSC composite

Field of View'
Image resolution'

DDFs'
Standard visit'
Photometric precision'
Photometric accuracy'
Astrometric precision'
Astrometric accuracy'
9.6 sq deg
0.2'' (seeing limited)

5 DDF
30 sec
5 mmag
10 mmag
10 mas
50 mas

' requirement: ls.st/srd

*simulation pstn-054.lsst.io

SDSS 2x4 arcmin sq griz

MYSUC (Gawiser 2014) 1 mag shallower than LSST coadds

u,g,r,i,z,y
Photometric filters'
saturation limit'
# visits*
mag single image*
mag coadd*
Nominal cadence
​u, g, r, i, z, y
~15, 16, 16, 16, 15, 14
53, 70, 185, 192, 168, 165
23.34, 23.2, 24.05, 23.55 22.03
25.4, 26.9, 27.0, 26.5, 25.8, 24.9
2-3 visits per night

At this level of precision,everything is variable, everything is blended, everything is moving.

' requirement: ls.st/srd

*simulation pstn-054.lsst.io

Rubin LSST Science Collaborations

8 SCs - 6 continents - 2000 people - 25 countries

number are quite a bit larger now! this plot is from ~2022

on the right is a connectivity network for the SCs

Rubin Observatory Status

5 / 2019

May 2022 - Telescope Mount Assembly

 

12/2022 TMA in action

weight 2e5 kg, max slew rate 0.2 rad/s

Most of the weight in a 10m disk
Angular momentum

5,000,000 ~\mathrm{kg~m^2 s^{-1}}

The DOE LSST Camera - 3.2 Gigapixel

3024 science raft amplifier channels

Camera and Cryostat integration completed at SLAC in May 2022,

Shutter and filter auto-changer integrated into camera body

LSSTCam undergoing final stages of testing at SLAC

July 2024 ComCam installed on  the telescope after M1M2 installation - Comcam is a 144Mpix version of LSSTCam

artist (me) impression of the first image taken by ComCam

https://community.lsst.org/c/news/7

 telescope's optical alignment close to optimal and the system delivering an image quality of around 1.5 arcseconds. 

The Data Management system effectively processed images, providing astrometric and photometric solutions.

AOS commissioning successfully running the system in a closed-loop configuration.

Continuous improvements in image quality were observed, achieving sub-arcsecond PSF FWHM

achieving PSF FWHM of 0.7" on several nights.

Observations for science pipeline commissioning continued, including filter exchanges and initial tests of difference image analysis and photometric calibration.

AOS closed loop was operating with over 90% of the optical degrees of freedom enabled.

 Full-color six-band (ugrizy) coverage of the Extended Chandra Deep Field South (ECDFS) LSST Deep Drilling Field.

Flux measurements demonstrated high repeatability across multiple nights and varying airmass.

The Data Management System successfully processed data with Difference Image Analysis, producing candidate sources and alerts.

Efforts were focused on increasing operational efficiency, including shutter open efficiency and telescope motion speed.

Repeated imaging in r and i bands allowed to build templates for six target fields. 

 First association of Solar System Object detections

A new single-night record of 99 in-focus visits taken with the automated scheduler.

LSST

data products

federica bianco - fbianco@udel.edu

Time

Domain

Science

 

Static

Science

Alerts based

 

Catalog based

Deep stack

based

Deep stack

based

Rubin Observatory LSST 

federica bianco - fbianco@udel.edu

Data Products

federica bianco - fbianco@udel.edu

data right holders only

federica bianco - fbianco@udel.edu

Rubin In-Kind Contribution Program

https://www.lsst.org/scientists/in-kind-program

federica bianco - fbianco@udel.edu

world public!

10Million alerts per night!

LSST survey strategy optimization

Exploring the Transient and Variable Optical Sky

Exploring the Transient and Variable Optical Sky

Exploring the Transient and Variable Optical Sky

Exploring the Transient and Variable Optical Sky

Exploring the Transient and Variable Optical Sky

Exploring the Transient and Variable Optical Sky

LSST Science Book (2009)

Operation Simulator (OpSim)

simulates the catalog of LSST observations + observation properties

 

Metric Analysi Framwork (MAF)

Python API to interact with OpSims specifying science performance on a science case with a metric

Lynne Jones

Peter Yoachim

~100s simulations

~1000s MAFs

Rubin LSST survey design

Rubin LSST survey design

Rubin has involved the community to an unprecedented level in survey design this is a uniquely "democratic" process!

Rubin LSST survey design

Rubin has involved the community to an unprecedented level in survey design this is a uniquely "democratic" process!

Rubin LSST survey design

Rubin has involved the community to an unprecedented level in survey design this is a uniquely "democratic" process!

85% submissins led by SC members

 

Rubin LSST survey design

Rubin has involved the community to an unprecedented level in survey design this is a uniquely "democratic" process!

Survey Cadence Optimization Committee

Rubin LSST survey design

Rubin has involved the community to an unprecedented level in survey design this is a uniquely "democratic" process!

Survey Cadence Optimization Committee

Rubin LSST survey design

Rubin has involved the community to an unprecedented level in survey design this is a uniquely "democratic" process!

Survey Cadence Optimization Committee

Rubin LSST survey design

2017

Rubin LSST survey design

Rubin has involved the community to an unprecedented level in survey design this is a uniquely "democratic" process!

2019

Rubin LSST survey design

Rubin has involved the community to an unprecedented level in survey design this is a uniquely "democratic" process!

2023

Rubin LSST survey design

Rubin has involved the community to an unprecedented level in survey design this is a uniquely "democratic" process!

2024

Rubin LSST survey design

Rubin has involved the community to an unprecedented level in survey design this is a uniquely "democratic" process!

2024

2024

LSST ToO program

The main Rubin assets are the 10 sqdeg FoV + rapid slew + depth

PSTN-055 (2022): The SCOC recommends a ToO program be enabled to respond to Gravitational Waves and MMA triggers with a fraction of ≤ 3% of dedicated survey time, with the possibility of extending it to additional types of targets in the future.

federica bianco - fbianco@udel.edu

Rubin ToO program

 

+80 authors!

Rubin ToO program

 

https://arxiv.org/pdf/2411.04793

Rubin ToO program

 

What about fast transients in the main survey?

cepheid

The minutes-second-subsecond Universe

 

  • GRB afterglow
  • Off-axis GRB
  • Kilonovae
  • SN-GRB breakout
  • SN-GRB pop studies
  • Fast Radio Bursts
  • relativistic TDEs
  • X-ray binary stars
  • cataclysmic variable stars
  • blazars
  • stellar flares
  • solar system occultations
  • technosignatures

Željko Ivezić et al 2019 ApJ 873 111

LSST: From Science Drivers to Reference Design and Anticipated Data Products

Marshall et al. 2017

Mortersen et al. 2019

Fast transients in LSST Wide Fast Deep

 

Smith +2019

Ragosta+ et al. 2023

Rubin LSST survey design

 

~800 per field

10 seasons, with each 6 months

2 visits per night (within ~30 min for Solar System Science)

revisit time => 4.5 nights

 

This will scatter significantly (weather, moon, ...)

 

The original survey plan didn't lead to good time domain astronomy (TDA) outcomes:

2 intranight obs in same filer +

2 intranight obs in another filter ~5 day later

Rubin LSST survey design

 

GRB =>

~800 per field

10 seasons, with each 6 months

2 visits per night (within ~30 min for Solar System Science)

revisit time => 4.5 nights

 

This will scatter significantly (weather, moon, ...)

 

The original survey plan didn't lead to good time domain astronomy (TDA) outcomes:

2 intranight obs in same filer +

2 intranight obs in another filter ~5 day later

Introducing Rolling Cadence

Current plan: rolling 8 out of the 10 years

Rubin LSST survey design up to 2018

 

# pairs of observations (1e5)

time gaps (days)

based on 2017 LSST simulations

2017 simulations: between 3 and 32 KN can be identified (~300 detected)

Text

Proposed 3 intranight obs

2 within 1 hour in different filters

1 at 4-8 hours separation w repeat filter

Intorducing Triplets

 

 

Intranight color (near instantaneous)

Intranight rate of change (~hour time scales)

Current plan: rolling 8 out of the 10 years

 Presto-Color, Bianco+ 2019

Proposed 3 intranight obs

2 within 1 hour in different filters

1 at 4-8 hours separation w repeat filter

Intorducing Triplets

 

Text

Intranight color (near instantaneous)

Intranight rate of change (~hour time scales)

Ofek+ 2024

Proposed 3 intranight obs

2 within 1 hour in different filters

1 at 4-8 hours separation w repeat filter

Intorducing Triplets

Current plan: 4% of the survey is currently conducted in triplets

Intranight color (near instantaneous)

Intranight rate of change (~hour time scales)

Ofek+ 2024

newer simulations ->

<-bad         good ->

2023 simulations: 62% improvement

newer simulations ->

4 – 24 hour gaps between epochs will enable kilonova parameter estimation

 

Kilonovae in LSST Wide Fast Deep

Andreoni+ 2022a

2023 simulations: 62% improvement

newer simulations ->

4 – 24 hour gaps between epochs will enable kilonova parameter estimation

 

Kilonovae in LSST Wide Fast Deep

Andreoni+ 2022a

GRB =>

2023 simulations: 62% improvement

newer simulations ->

4 – 24 hour gaps between epochs will enable kilonova parameter estimation

 

Kilonovae in LSST Wide Fast Deep

Andreoni+ 2022a

GRB =>

https://pstn-056.lsst.io/

Proposed reduction to 6 rolling years (3 2-year cycles) to improve intrasurvey uniformity

https://pstn-056.lsst.io/

8y rolling

no rolling

 6y rolling

~7% loss in KN characterization

Proposed reduction to 6 rolling years (3 2-year cycles) to improve intrasurvey uniformity

Shar Daniels

NSF Graduate Student Fellow

University of Delaware

TVS Science Collaboration

 Fast Transient Subgroup

join TVS! no fees no minimum req

Chair: Igor Andreoni

Shar Daniels

NSF Graduate Student Fellow

University of Delaware

TVS Science Collaboration

 Fast Transient Subgroup

Fast Transients MetricsCOordinations and White Paper

Let's work together!

join the overleaf paper

This is urgent! results must come through in the next ~ 2 months or the strategy may be set for year 1

Padova 2025 Bianco

By federica bianco

Padova 2025 Bianco

Supernovae and Transients Opportunities with Rubin LSST

  • 794