PHYS 207.013

Chapter 2

1D motion

Instructor: Dr. Bianco

TAs: Joey Betz; Lily Padlow

 

University of Delaware - Spring 2021

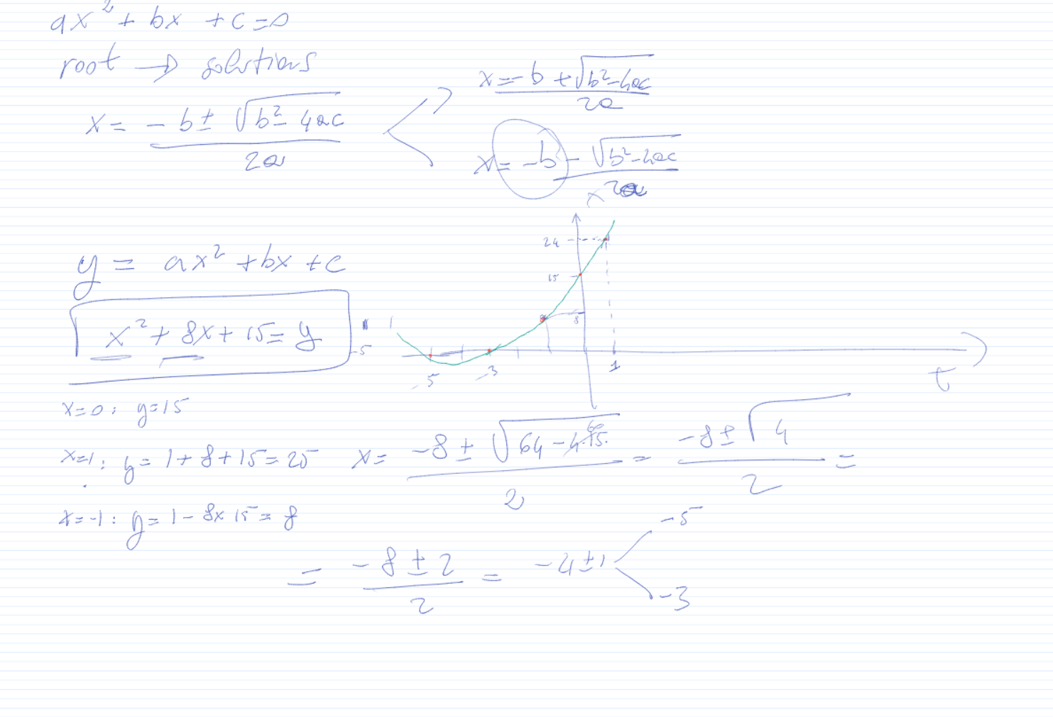
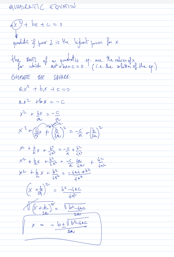
MATH REVIEW: quadratic equations

ax^2 + bx + c = 0

"quadratic" because the highest order is

x^2

it is the equation of a parabola

the "roots" (solutions) are 2 and are given by the quadratic formula

x = \frac{-b \pm \sqrt{b^2 - 4ac}}{2a}
x = \frac{-b + \sqrt{b^2 - 4ac}}{2a}
x = \frac{-b - \sqrt{b^2 - 4ac}}{2a}

MATH REVIEW: quadratic equations

MATH REVIEW: quadratic equations

scribbled notes from class... sorry about my poor handwriting...

MATH REVIEW: quadratic equations

ax^2 + bx + c = 0

"quadratic" because the highest order is

x^2

it is the equation of a parabola

the "roots" (solutions) are 2 and are given by the quadratic formula

x = \frac{-b \pm \sqrt{b^2 - 4ac}}{2a}
x = \frac{-b + \sqrt{b^2 - 4ac}}{2a}
x = \frac{-b - \sqrt{b^2 - 4ac}}{2a}

coefficients

MATH REVIEW: quadratic equations

ax^2 + bx + c = 0

"quadratic" because the highest order is

x^2

it is the equation of a parabola

the "roots" (solutions) are 2 and are given by the quadratic formula

x = \frac{-b \pm \sqrt{b^2 - 4ac}}{2a}
x = \frac{-b + \sqrt{b^2 - 4ac}}{2a}
x = \frac{-b - \sqrt{b^2 - 4ac}}{2a}

second

order

first

order

zeroth

order

H&R CH2 1D motion - velocity - acceleration

motion in 1D

1. coordinates

to define quantities in the 3D space we need a frame of reference: we choose the 

origin and direction of an axis

0

positive

negative

notation+conventions

H&R CH2 1D motion - velocity - acceleration

motion in 1D

0

positive

negative

x(t)=2
x(0)=-1
x (t)

2. position

is the position of my object of interest at time t

H&R CH2 1D motion - velocity - acceleration

motion in 1D

notation+conventions

sign: once I chose the positive direction of my axis the sign will fall accordingly.

      : greek letter Delta (capital) indicates the difference between two quantities 

 

0

\Delta
\Delta x = x(t) - x(0)

3. displacement

x(t)=2
x(0)=-1
\Delta x = x_\mathrm{final} - x_\mathrm{initial} = x_1-x_0

positive

negative

H&R CH2 1D motion - velocity - acceleration

motion in 1D

0

\Delta x = 2 - (-1) = 3

3. displacement

\Delta x = x_\mathrm{final} - x_\mathrm{initial} = x_1-x_0
x(t)=2
x(0)=-1

I can define it as a vector quantity: it has a magnitude and a direction (along my 1D axis for now)

positive

negative

H&R CH2 1D motion - velocity - acceleration

motion in 1D

We often plot the 1-D motion axis vertically and the time horizontally

 

0

time

position

4. position over time

x(t=2)=2
x(0)=-1

positive

negative

H&R CH2 1D motion - velocity - acceleration

motion in 1D

\bar{v} = \frac{\Delta x}{\Delta{t}}

this is a vector quantity

H&R CH2 1D motion - velocity - acceleration

0

t

x

\Delta(x)
\Delta(t)

AVERAGE VELOCITY

5.a average velocity

H&R CH2 1D motion - velocity - acceleration

motion in 1D

5.a average velocity

\mathrm{speed :} \frac{\mathrm{total~distance~traveled}}{\Delta t}

H&R CH2 1D motion - velocity - acceleration

0

t

x

\Delta(x)
\Delta(t)

5.a average velocity

\bar{v} = \frac{\Delta x}{\Delta{t}}

AVERAGE VELOCITY

H&R CH2 1D motion - velocity - acceleration

motion in 1D

\bar{v} = \frac{\Delta x}{\Delta{t}}
\vec{v}(t) = \frac{d \vec{x}}{d{t}} =\lim_{\Delta t\to 0} \frac{\Delta \vec{x}}{\Delta{t}}

x

t

AVERAGE VELOCITY

INSTANTANEOUS VELOCITY

5.b instantaneous velocity

H&R CH2 1D motion - velocity - acceleration

motion in 1D

\bar{a} = \frac{\Delta \vec{v}}{\Delta{t}}

H&R CH2 1D motion - velocity - acceleration

AVERAGE VELOCITY

6.a average acceleration

t

0

t

v

\Delta(v)
\Delta(t)
v(t=2)=1
v(0)=-1

H&R CH2 1D motion - velocity - acceleration

motion in 1D

\bar{a} = \frac{\Delta \vec{v}}{\Delta{t}}

H&R CH2 1D motion - velocity - acceleration

AVERAGE VELOCITY

6.b instantaneous acceleration

\vec{a}(t) = \frac{d \vec{v}}{d{t}} =\lim_{\Delta t \to 0} \frac{\Delta \vec{v}}{\Delta{t}} = \frac{d^2 \vec{v}}{d{t^2}}

INSTANTANEOUS acceleration

example of motion graph: 

position

velocity

acceleration

H&R CH2 1D motion - velocity - acceleration

H&R CH2 1D motion - velocity - acceleration

KEY POINTS:

  • displacement is the distance between final and initial position
  • average velocity is displacement over time
  • average acceleration is change of velocity over time
  • instantaneous velocity is the derivative of displacement in time
  • instantaneous acceleration is the derivative of velocity in time

H&R CH2 1D motion - velocity - acceleration

motion in 1D

H&R CH2 1D motion - velocity - acceleration

Equations of motion in 1D

you do not need to memorize them necessarily but you should be extremely familiar with them and know how to use each one. 

 

When you try and remember them on the fly, think about the dimensional analysis. 

To equate to displacement, velocity needs to be multipled by time.

To equate displacement acceleration has to be multiplied by time-squared

 

In a few weeks, you should have solved enough problems that you will have them memorized without even trying!

H&R CH2 1D motion - velocity - acceleration

H&R CH2 1D motion - velocity - acceleration

  • motion in 1D can be described by a quadratic equation

KEY POINTS:

  • in the equation of motion the first order coefficient is velocity
  • in the equation of motion the second order coefficient is acceleration
  • displacement is the distance between final and initial position
  • average velocity is displacement over time
  • average acceleration is change of velocity over time
  • instantaneous velocity is the derivative of displacement in time
  • instantaneous acceleration is the derivative of velocity in time

{

{

{

H&R CH2 1D motion - velocity - acceleration

free-fall

H&R CH2 1D motion - velocity - acceleration

An exemplary case of constant acceleration

a = g = -9.8 m/s
Mass [Me] g [m/s]
Venus 0.05539 8.83
Mercury ​0.815 3.61
Earth 1 9.8
Mars 0.1075 3.38 
Jupiter 317.8 26.0 
Saturn  5.2 11.2 
Uranus 14.6 10.5
Neptune 17.2  13.3

H&R CH2 1D motion - velocity - acceleration

free-fall

H&R CH2 1D motion - velocity - acceleration

a = g = -9.8 m/s

Two identical objects are dropped from the Tower of Pisa 1 second apart. What happens to the distance between the 2 balls during the 

a) Remain the same.

b) Decrease.

c) Increase.

d) First increase, then decrease.

e) First decrease, then increase.

discuss for 8 min:

a) which is the right anwer?

b) which equation would you use to show it?

H&R CH2 1D motion - velocity - acceleration

free-fall

H&R CH2 1D motion - velocity - acceleration

Two identical objects are dropped from the Tower of Pisa 1 second apart. What happens to the distance between the 2 balls during the 

H&R CH2 1D motion - velocity - acceleration

free-fall

H&R CH2 1D motion - velocity - acceleration

Two identical objects are dropped from the Tower of Pisa 1 second apart. What happens to the distance between the 2 balls during the 

free-fall

Two identical objects are dropped from the Tower of Pisa 1 second apart. What happens to the distance between the 2 balls during the 

Because the distance is propotional to time

 

 

the distance increases linearly with time

\Delta x = \frac{1}{2} g t

HOW TO SOLVE 1D MOTION PROBLEMS

STEP 1. Put together all the information you have

STEP 2. Put the info in a frame of reference

STEP 3. Identify the unknown quantity

STEP 4. Choose the equation with gives you the unknown you need

A hot-air balloon is ascending at the rate of 12 m/s and is 80 m above the ground when a package is dropped over the side.

(a) How long does the package take

HOW TO SOLVE 1D MOTION PROBLEMS

STEP 1. Put together all the information you have

STEP 2. Put the info in a frame of reference

STEP 3. Identify the unknown quantity

STEP 4. Choose the equation with gives you the unknown you need

A hot-air balloon is ascending at the rate of 12 m/s and is 80 m above the ground when a package is dropped over the side.

(a) How long does the package take

HOW TO SOLVE 1D MOTION PROBLEMS

v_0 = 12 \frac{m}{s} ~\mathrm{upward}

A hot-air balloon is ascending at the rate of 12 m/s and is 80 m above the ground when a package is dropped over the side.

(a) How long does the package take

STEP 1. Put together all the information you have

STEP 2. Put the info in a frame of reference

STEP 3. Identify the unknown quantity

STEP 4. Choose the equation with gives you the unknown you need

a = g = 9.8 \frac{m}{s^2} ~\mathrm{downward}
x_0 = 0
x = 80m

HOW TO SOLVE 1D MOTION PROBLEMS

v_0 = -12 \frac{m}{s}

A hot-air balloon is ascending at the rate of 12 m/s and is 80 m above the ground when a package is dropped over the side.

(a) How long does the package take

STEP 1. Put together all the information you have

STEP 2. Put the info in a frame of reference

STEP 3. Identify the unknown quantity

STEP 4. Choose the equation with gives you the unknown you need

a = g = 9.8 \frac{m}{s^2}
x_0=0
x=80m
x_0 = 0
x = 80m

HOW TO SOLVE 1D MOTION PROBLEMS

x_0 = 0
v_0 = -12 \frac{m}{s}

A hot-air balloon is ascending at the rate of 12 m/s and is 80 m above the ground when a package is dropped over the side.

(a) How long does the package take

STEP 1. Put together all the information you have

STEP 2. Put the info in a frame of reference

STEP 3. Identify the unknown quantity

STEP 4. Choose the equation with gives you the unknown you need

x_0=0
x=80m
\mathbf{t = ?}
x = 80m
a = g = 9.8 \frac{m}{s^2}

HOW TO SOLVE 1D MOTION PROBLEMS

x_0 = 0
v_0 = -12 \frac{m}{s}

A hot-air balloon is ascending at the rate of 12 m/s and is 80 m above the ground when a package is dropped over the side.

(a) How long does the package take

STEP 1. Put together all the information you have

STEP 2. Put the info in a frame of reference

STEP 3. Identify the unknown quantity

STEP 4. Choose the equation with gives you the unknown you need

x_0=0
x=80m
\mathbf{t = ?}
x = 80m
a = g = 9.8 \frac{m}{s^2}

HOW TO SOLVE 1D MOTION PROBLEMS

x_0 = 0
v_0 = -12 \frac{m}{s}

A hot-air balloon is ascending at the rate of 12 m/s and is 80 m above the ground when a package is dropped over the side.

(a) How long does the package take

x_0=0
x=80m
\mathbf{t = ?}
x = 80m

STEP 1. Put together all the information you have

STEP 2. Put the info in a frame of reference

STEP 3. Identify the unknown quantity

STEP 4. Choose the equation with gives you the unknown you need

a = g = 9.8 \frac{m}{s^2}

HOW TO SOLVE 1D MOTION PROBLEMS

x_0 = 0
v_0 = -12 \frac{m}{s}

A hot-air balloon is ascending at the rate of 12 m/s and is 80 m above the ground when a package is dropped over the side.

(a) How long does the package take

STEP 1. Put together all the information you have

STEP 2. Put the info in a frame of reference

STEP 3. Identify the unknown quantity

STEP 4. Choose the equation with gives you the unknown you need

x_0=0
x=80m
\mathbf{t = ?}
x = 80m
a = g = 9.8 \frac{m}{s^2}

HOW TO SOLVE 1D MOTION PROBLEMS

x_0 = 0
v_0 = -12 \frac{m}{s}

A hot-air balloon is ascending at the rate of 12 m/s and is 80 m above the ground when a package is dropped over the side.

(a) How long does the package take

a = g = 9.8 \frac{m}{s^2}
x_0=0
x=80m
\mathbf{t = ?}
x = 80m
x - x_0 = vt + \frac{1}{2} a t^2
80 - 0 = - 12t + \frac{1}{2} 9.8 t^2

HOW TO SOLVE 1D MOTION PROBLEMS

x_0 = 0
v_0 = -12 \frac{m}{s}

A hot-air balloon is ascending at the rate of 12 m/s and is 80 m above the ground when a package is dropped over the side.

(a) How long does the package take

a = g = 9.8 \frac{m}{s^2}
x_0=0
x=80m
\mathbf{t = ?}
x = 80m
x - x_0 = vt + \frac{1}{2} a t^2
a t^2 + b t + c = 0

write it as a quadratic equation in t

\frac{1}{2} 9.8 t^2 - 12t - 80 = 0
80 - 0 = - 12t + \frac{1}{2} 9.8 t^2

HOW TO SOLVE 1D MOTION PROBLEMS

x_0 = 0
v_0 = -12 \frac{m}{s}

A hot-air balloon is ascending at the rate of 12 m/s and is 80 m above the ground when a package is dropped over the side.

(a) How long does the package take

a = g = 9.8 \frac{m}{s^2}
x_0=0
x=80m
\mathbf{t = ?}
x = 80m
x - x_0 = vt + \frac{1}{2} a t^2
a t^2 + b t + c = 0

write it as a quadratic equation in t

\frac{1}{2} 9.8 t^2 - 12t - 80 = 0
80 - 0 = - 12t + \frac{1}{2} 9.8 t^2
t = \frac{- b \pm \sqrt{b^2 - 4ac}}{2a}

HOW TO SOLVE 1D MOTION PROBLEMS

x_0 = 0
v_0 = -12 \frac{m}{s}

A hot-air balloon is ascending at the rate of 12 m/s and is 80 m above the ground when a package is dropped over the side.

(a) How long does the package take

a = g = 9.8 \frac{m}{s^2}
x_0=0
x=80m
\mathbf{t = ?}
x = 80m
x - x_0 = vt + \frac{1}{2} a t^2
a t^2 + b t + c = 0

write it as a quadratic equation in t

\frac{1}{2} 9.8 t^2 - 12t - 80 = 0
80 - 0 = - 12t + \frac{1}{2} 9.8 t^2
t = \frac{- b \pm \sqrt{b^2 - 4ac}}{2a}
=\frac{12 \pm \sqrt{144 + 4\frac{9.8}{2}80}}{2\frac{9.8}{2}}
=\frac{12 \pm \sqrt{144 + 4\frac{9.8}{2}80}}{2\frac{9.8}{2}}

5.4s

-3.0s

HOW TO SOLVE 1D MOTION PROBLEMS

x_0 = 0
v_0 = -12 \frac{m}{s}

A hot-air balloon is ascending at the rate of 12 m/s and is 80 m above the ground when a package is dropped over the side.

(a) How long does the package take

a = g = 9.8 \frac{m}{s^2}
x_0=0
x=80m
\mathbf{t = ?}
x = 80m
x - x_0 = vt + \frac{1}{2} a t^2
a t^2 + b t + c = 0

write it as a quadratic equation in t

\frac{1}{2} 9.8 t^2 - 12t - 80 = 0
80 - 0 = - 12t + \frac{1}{2} 9.8 t^2
t = \frac{- b \pm \sqrt{b^2 - 4ac}}{2a}
=\frac{12 \pm \sqrt{144 + 4\frac{9.8}{2}80}}{2\frac{9.8}{2}}
=\frac{12 \pm \sqrt{144 + 4\frac{9.8}{2}80}}{2\frac{9.8}{2}}

5.4s

-3.0s

References reg space exploration

https://justspacealliance.org/quickreads

phys207 1D motion

By federica bianco

phys207 1D motion

1D motion, coordinates, displacement, velocity, acceleration,

  • 1,636