PHYS 207.013

Chapter 4

motion in a plane

Instructor: Dr. Bianco

TAs: Joey Betz; Lily Padlow

 

University of Delaware - Spring 2021

motion in 2D and 3D

Now that we are familiar with vectors, and equations of motion in 1D we can put them together and move in a 3D world (tho we will start with 2D)

H&R CH4 motion in 2D and 3D

There are no new concepts in this chapter: only application of established concepts in combination 

 

So if something is not clear, go back to chapter 1, 2, and 3 

position and displacement in 2D

H&R CH4 motion in 2D and 3D

Each position (at time t) can be described by a vector. 

 

1) choose/identify the frame of reference (coordinates+origin)

2)  a vector r starts at the origin and ends a the position

r_1

x

y

position and displacement in 2D

H&R CH4 motion in 2D and 3D

Each position (at time t) can be described by a vector. 

 

1) choose/identify the frame of reference (coordinates+origin)

2)  a vector r starts at the origin and ends a the position

r_1

x

y

position and displacement in 2D

H&R CH4 motion in 2D and 3D

Each position (at time t) can be described by a vector. 

 

1) choose/identify the frame of reference (coordinates+origin)

2)  a vector r starts at the origin and ends a the position

r_2
r_1

x

y

position and displacement in 2D

H&R CH4 motion in 2D and 3D

Each position (at time t) can be described by a vector. 

 

1) choose/identify the frame of reference (coordinates+origin)

2)  a vector r starts at the origin and ends a the position

r_1
r_2

x

y

position and displacement in 2D

H&R CH4 motion in 2D and 3D

Each position (at time t) can be described by a vector. 

 

1) choose/identify the frame of reference (coordinates+origin)

2)  a vector r starts at the origin and ends a the position

r_2
\Delta x
\Delta y

x

y

r_1

position and displacement in 2D

H&R CH4 motion in 2D and 3D

Each position (at time t) can be described by a vector. 

 

1) choose/identify the frame of reference (coordinates+origin)

2)  a vector r starts at the origin and ends a the position

\Delta x
\Delta y
\Delta \vec{r}
(x_1, y_1)
(x_2, y_2)

x

y

position and displacement in 2D

H&R CH4 motion in 2D and 3D

Each position (at time t) can be described by a vector. 

 

1) choose/identify the frame of reference (coordinates+origin)

2)  a vector r starts at the origin and ends a the position

\Delta \vec{r}
\Delta \vec{r} = \vec{r_2} - \vec{r_1} = (x_2-x_1)\hat{i} + (y_2-y_1)\hat{j}
x_1
x_2
y_2
y_1
(x_1, y_1)
(x_2, y_2)

position and displacement in 3D

H&R CH4 motion in 2D and 3D

Each position (at time t) can be described by a vector. 

 

1) choose/identify the frame of reference (coordinates+origin)

2)  a vector r starts at the origin and ends a the position

\Delta \vec{r}
(x_2, y_2, z_2)
\Delta \vec{r} = \vec{r_2} - \vec{r_1} = (x_2-x_1)\hat{i} + (y_2-y_1)\hat{j} + (z_2-z_1)\hat{k}
x_1
x_2
y_2
y_1
(x_1, y_1, z_1)
z_1
z_2

x

y

z

velocity in 3D

H&R CH4 motion in 2D and 3D

The velocity vector as well can be measured along each component

\Delta \vec{v} = \frac{\Delta(\vec{r})}{\Delta t} = \frac{(x_2-x_1)}{\Delta t}\hat{i} + \frac{(y_2-y_1)}{\Delta t}\hat{j} + \frac{(z_2-z_1)}{\Delta t}\hat{k}
\Delta \vec{r}
x_1
x_2
y_2
y_1
(x_1, y_1)
(x_2, y_2)

velocity in 3D

H&R CH4 motion in 2D and 3D

The velocity vector as well can be measured along each component

\Delta \vec{v} = \frac{\Delta(\vec{r})}{\Delta t} = \frac{\vec{r_2} - \vec{r_1}}{t_\mathrm{final} - t_\mathrm{initial}}
\Delta \vec{r}
x_1
x_2
y_2
y_1
(x_1, y_1)
(x_2, y_2)

H&R CH4 motion in 2D and 3D

The velocity vector as well can be measured along each component

\Delta \vec{v} = \frac{\Delta(\vec{r})}{\Delta t} = \frac{\Delta x}{\Delta t}\hat{i} + \frac{\Delta y}{\Delta t}\hat{j} + \frac{\Delta z}{\Delta t}\hat{k}

velocity in 3D

\Delta \vec{r}
x_1
x_2
y_2
y_1
(x_1, y_1)
(x_2, y_2)

H&R CH4 motion in 2D and 3D

The velocity vector as well can be measured along each component

\vec{v}(t=t) = \lim_{\Delta t \to 0} \frac{\Delta(\vec{r})}{\Delta t}

instantaneous velocity in 3D

\Delta \vec{r}
x_1
x_2
y_2
y_1
(x_1, y_1)
(x_2, y_2)

H&R CH4 motion in 2D and 3D

The velocity vector as well can be measured along each component

instantaneous velocity in 3D

\Delta \vec{r}
x_1
x_2
y_2
y_1
(x_1, y_1)
(x_2, y_2)
\vec{v}(t=t) = \lim_{\Delta t \to 0} \frac{\Delta(\vec{r})}{\Delta t} = \frac{d \vec{r}}{dt}

H&R CH4 motion in 2D and 3D

The velocity vector as well can be measured along each component

\Delta \vec{r}
\vec{v}(t=t) = \lim_{\Delta t \to 0} \frac{\Delta(\vec{r})}{\Delta t} = \frac{d \vec{r}}{d t} = \frac{d x}{d t}\hat{i} + \frac{d y}{d t}\hat{j} + \frac{d z}{d t}\hat{k}
x_1
x_2
y_2
y_1

instantaneous velocity in 3D

(x_1, y_1)
(x_2, y_2)

H&R CH4 motion in 2D and 3D

The velocity vector as well can be measured along each component

\Delta \vec{r}
\vec{v}(t=t) = \frac{d \vec{r}}{d t} = v_x\hat{i} + v_y\hat{j} + v_z\hat{k}
x_1
x_2
y_2
y_1

instantaneous velocity in 3D

(x_1, y_1)
(x_2, y_2)

MATH REVIEW:

derivatives

  • the instantaneous velocity is described as the difference of vector (components) over an interval of time that "tends to zero" (is as small as possible)
  • that is the derivative of the position with respect to time

MATH REVIEW:

derivatives

  • the instantaneous velocity is described as the difference of vector (components) over an interval of time that "tends to zero" (is as small as possible)
  • that is the derivative of the position with respect to time
v_\mathrm{av} = \frac{\Delta r}{\Delta t}

-> slope

\Delta{r}
\Delta{t}

t

r

MATH REVIEW:

derivatives

  • the instantaneous velocity is described as the difference of vector (components) over an interval of time that "tends to zero" (is as small as possible)
  • that is the derivative of the position with respect to time
v_\mathrm{av} = \frac{\Delta r}{\Delta t}

-> slope

\Delta{y}
\Delta{x}

x

y

MATH REVIEW:

derivatives

  • the instantaneous velocity is described as the difference of vector (components) over an interval of time that "tends to zero" (is as small as possible)
  • that is the derivative of the position with respect to time
v = \frac{d r}{d t}

-> slope of tangent

tangent

x

y

MATH REVIEW:

derivatives

  • the instantaneous velocity is described as the difference of vector (components) over an interval of time that "tends to zero" (is as small as possible)
  • that is the derivative of the position with respect to time

tangent

\Delta{y}
\Delta{x}
v = \frac{d r}{d t}

-> slope of tangent

x

y

MATH REVIEW:

derivatives

  • the instantaneous velocity is described as the difference of vector (components) over an interval of time that "tends to zero" (is as small as possible)
  • that is the derivative of the position with respect to time

tangent

\Delta{y}
\Delta{x}
v = \frac{d r}{d t}

-> slope of tangent

x

y

MATH REVIEW:

derivatives

\frac{d f(t)}{d t} = \frac{f(t + dt) - f(t)}{dt}

MATH REVIEW:

derivatives

\frac{d \vec{r}(t)}{d t} = \frac{\vec{r}(t + dt) - \vec{r}(t)}{dt}

MATH REVIEW:

derivatives

MATH REVIEW:

derivatives

\frac{d \vec{r}(t)}{d t} = \frac{\vec{r}(t + dt) - \vec{r}(t)}{dt}
\vec{r}(t) - \vec{r}_0 = \vec{v}(t) + \frac{1}{2} \vec{a}(t^2)

MATH REVIEW:

derivatives

\frac{d c}{d t} = 0
\frac{d \vec{r}(t)}{d t} = \frac{\vec{r}(t + dt) - \vec{r}(t)}{dt}
\frac{d c f(t)}{d t} = c\frac{d f(t)}{d t}

MATH REVIEW:

derivatives

f(t) = t^c =>\frac{d f(t)}{d t} = c t^{c-1}
\frac{d \vec{r}(t)}{d t} = \frac{\vec{r}(t + dt) - \vec{r}(t)}{dt}
\frac{d t^2}{d t} = 2 t^{2-1}
\frac{d t}{d t} = 1

MATH REVIEW:

derivatives

r = ct => v = \frac{d(c\cdot t)}{d t} = c
a = \frac{d^2 (c\cdot t^2)}{d t^2} = \frac{d(2 c\cdot t)}{dt} = 2c
v = \frac{d (c\cdot t^2)}{d t} = 2 c\cdot t
r = c t^2 =>

{

\frac{d \vec{r}(t)}{d t} = \frac{\vec{r}(t + dt) - \vec{r}(t)}{dt}
\vec{r}(t) - \vec{r}_0 = \vec{v}(t) + \frac{1}{2} \vec{a}(t^2)
f(t) = t^c =>\frac{d f(t)}{d t} = c t^{c-1}
\frac{d c}{d t} = 0
\frac{d c f(t)}{d t} = c\frac{d f(t)}{d t}

MATH REVIEW:

derivatives

\frac{d \sin{t}}{d t} = \cos{t}
v = \frac{d(c\sin{t})}{d t} = c \cos{t}
\frac{d \cos{t}}{d t} = -\sin{t}
a = \frac{d^2(c\sin{t})}{d t^2} = \frac{d(c\cos{t})}{d t} = -c \sin{t}
r = c \sin{t}

{

\frac{d \vec{r}(t)}{d t} = \frac{\vec{r}(t + dt) - \vec{r}(t)}{dt}

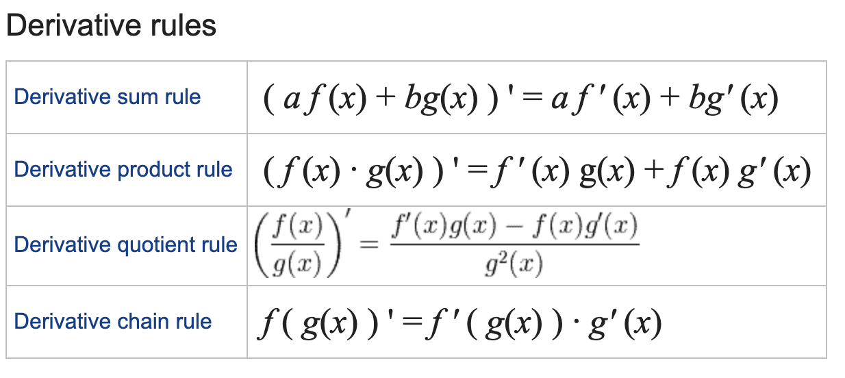
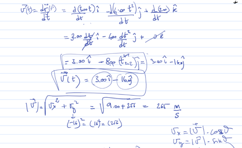
H&R CH4 motion in 2D and 3D

example

\vec{r}(t=2s)
\vec{r}(0)

2

6

x

y

z

-16

H&R CH4 motion in 2D and 3D

example

I can already tell: 

- the x components is linear in time: =>constant velocity along the x axis

- the y component has a factor t^2: =>accelerated motion along the y axis

- the z components has no factors of t: =>there is no motion along the z axis

\vec{r}(t=2s)
\vec{r}(0)

2

6

x

y

z

-16

example

x

H&R CH4 motion in 2D and 3D

\vec{r}(t=2s)
\vec{r}(0)

2

6

x

y

z

-16

example

x

y

H&R CH4 motion in 2D and 3D

\frac{d(ct)}{dt} = c
\frac{d(ct^a)}{dt} = c a t^{a-1}
\frac{d(ct)}{dt} = c
\frac{d(c)}{dt} = 0

math relations and derivatives 

\vec{r}(t=2s)
\vec{r}(0)

2

6

x

y

z

-16

example

x

z

H&R CH4 motion in 2D and 3D

-16

\theta = \arctan {\frac{v_y}{v_x}} = \arctan {\frac{v \sin\theta}{v \cos\theta}}
v = \sqrt{v_x^2 + v_y^2 + v_z^2}
v_x = v \cos(\theta) ; \\ v_y = v \sin{\theta}

geometric relations and trig 

\theta = \arctan {\frac{v_y}{v_x}} = \arctan {\frac{v \sin\theta}{v \cos\theta}}
\vec{r}(t=2s)
\vec{r}(0)

2

6

x

y

z

-16

KEY POINTS:

  • the average velocity is described as the difference of vector (components) over time
  • the instantaneous velocity is described as the difference of vector (components) over an interval of time that "tends to zero" (is as small as possible)
  • that is the derivative of the position with respect to time
  • position is described by vectors
  • displacement on each axis is described as the difference of vector components 

motion in 2D and 3D

H&R CH4 motion in 2D and 3D

Projectile motion

\theta
\theta

r

SPECIAL CASES OF MOTION IN 2D

Uniform cirular motion

Projectile motion

\theta
\vec{v_0} = v_0 \cos{\theta} \hat{i} + v_0 \sin{\theta} \hat{j}

SPECIAL CASES OF MOTION IN 2D

H&R CH4 motion in 2D and 3D

\theta

r

Uniform cirular motion

Projectile motion

\theta
\vec{v_0} = v_0 \cos{\theta} \hat{i} + v_0 \sin{\theta} \hat{j}
\vec{a} = -9.8 \hat{j} \frac{m}{s}

SPECIAL CASES OF MOTION IN 2D

H&R CH4 motion in 2D and 3D

\theta

r

Uniform cirular motion

Projectile motion

\theta
\vec{v_0} = v_0 \cos{\theta} \hat{i} + v_0 \sin{\theta} \hat{j}
\vec{v} = -v \sin{\theta} \hat{i} + v \cos{\theta} \hat{j}

SPECIAL CASES OF MOTION IN 2D

H&R CH4 motion in 2D and 3D

\theta

r

Uniform cirular motion

\vec{a} = -9.8 \hat{j} \frac{m}{s}

Projectile motion

\theta
\vec{v_0} = v_0 \cos{\theta} \hat{i} + v_0 \sin{\theta} \hat{j}
\vec{a} = \left(-\frac{v^2}{r} \cos{\theta}\right) \hat{i} + \left(-\frac{v^2}{r} \sin{\theta}\right)\hat{j}
\vec{v} = -v \sin{\theta} \hat{i} + v \cos{\theta} \hat{j}

SPECIAL CASES OF MOTION IN 2D

H&R CH4 motion in 2D and 3D

\theta

r

Uniform cirular motion

\vec{a} = -9.8 \hat{j} \frac{m}{s}

PROJECTILE MOTION

\theta
\vec{v_0} = v_0 \cos{\theta} \hat{i} + v_0 \sin{\theta} \hat{j}
\vec{a} = - 9.8 \hat{j} \frac{m}{s^2}

Think about this the same way we thought of free-fall motion in Chap2: it is just regular motion, for which I have some extra info: that v is constant and a is only on the y axis a=g

- constant motion along x

- accelerate (downward) motion along y

H&R CH4 motion in 2D and 3D

SPECIAL CASES OF MOTION IN 2D

Projectile motion

\theta
\vec{v_0} = v_0 \cos{\theta} \hat{i} + v_0 \sin{\theta} \hat{j}

Toni Stone (July 17, 1921 – November 2, 1996) was the first woman to play as a regular on an American big-league professional baseball team

they

\vec{a} = - 9.8 \hat{j} \frac{m}{s^2}

PROJECTILE MOTION

\theta
\vec{v_0} = v_0 \cos{\theta} \hat{i} + v_0 \sin{\theta} \hat{j}
R = \frac{v_0^2}{g} \sin{2\theta_0}

range motion tells me the distance traveled horizontally 

**if the motion starts and ends at y=0**

R

(note: use the trig identity                                    )

2\sin{\theta}\cos{\theta} = \sin{2\theta}

H&R CH4 motion in 2D and 3D

\vec{a} = - 9.8 \hat{j} \frac{m}{s^2}

PROJECTILE MOTION

\vec{v_0} = v_0 \cos{\theta} \hat{i} + v_0 \sin{\theta} \hat{j}

R

H&R CH4 motion in 2D and 3D

when                                =>

y = y_{\mathrm{max}}
v_y(y = y_\mathrm{max}) = 0
\theta = 0\\ v_y = v\sin{\theta}
\sin{0} = 0

}

math:

because v changes direction => changes sign => has to go through 0

physics:

\vec{a} = - 9.8 \hat{j} \frac{m}{s^2}

PROJECTILE MOTION

\theta
\vec{v_0} = v_0 \cos{\theta} \hat{i} + v_0 \sin{\theta} \hat{j}

R

H&R CH4 motion in 2D and 3D

I recommend you try solving problems like this one, where the initial motion has no upward velocity - these problems tend to be more confusing perhaps

\vec{a} = - 9.8 \hat{j} \frac{m}{s^2}

KEY POINTS:

  • the velocity along y is zero at max height
  • projectile motion is motion under some initial velocity in 2D and downward acceleration along the y axis (no acceleration in x)
  • I can calculate how far in x a projectile starting from y=0 would land (i.e. second y=0 solution) if I know the initial velocity and angle at which it was thrown (range) 

H&R CH4 motion in 2D and 3D

R = \frac{v_0^2}{g} \sin{2\theta_0}
v_x = \mathrm{const}: x - x0 = v_{0,x} t\\ v_y = \mathrm{accelerated}: y - y0 = v_{0,y} t - \frac{1}{2}a t^2

parabolic motion

UNIFORM CIRCULAR MOTION

\vec{a} = \left(-\frac{v^2}{r} \cos{\theta}\right) \hat{i} + \left(-\frac{v^2}{r} \sin{\theta}\right)\hat{j}
\vec{v} = -v \sin{\theta} \hat{i} + v \cos{\theta} \hat{j}

H&R CH4 motion in 2D and 3D

\theta

r

Uniform cirular motion

SPEED DOES NOT CHANGE - VELOCITY CHANGES!

UNIFORM CIRCULAR MOTION

\vec{v} = -v \sin{\theta} \hat{i} + v \cos{\theta} \hat{j}

H&R CH4 motion in 2D and 3D

r

Uniform cirular motion

T period - how long it takes to go around once [T] (sec)

F frequency - how many revolutions per unit time [1/T] (1/sec or Hz)

F = 1/T

SPEED DOES NOT CHANGE - VELOCITY CHANGES!

}

\theta

UNIFORM CIRCULAR MOTION

\vec{v} = -v \sin{\theta} \hat{i} + v \cos{\theta} \hat{j}

H&R CH4 motion in 2D and 3D

r

T period - how long it takes to go around once [T] (sec)

F frequency - how many revolutions per unit time [1/T] (1/sec or Hz)

F = 1/T

angular velocity: rate of change of the angle       : [angle/T] (randians / s)

\omega = \frac{2\pi}{T}

vc = circumference / period =                          [L/T] (m/s)

}

\omega = \frac{2\pi}{T}
v_c = \frac{2\pi r}{T}

}

\omega = \frac{2\pi}{T}
v_c = \frac{2\pi r}{T} = \omega r
\alpha
v_c = \frac{2\pi r}{T}

Uniform cirular motion

SPEED DOES NOT CHANGE - VELOCITY CHANGES!

\alpha

UNIFORM CIRCULAR MOTION

\vec{v} = -v \sin{\theta} \hat{i} + v \cos{\theta} \hat{j}

H&R CH4 motion in 2D and 3D

r

Uniform cirular motion

SPEED DOES NOT CHANGE - VELOCITY CHANGES!

\alpha

UNIFORM CIRCULAR MOTION

\vec{v} = -v \sin{\theta} \hat{i} + v \cos{\theta} \hat{j}

H&R CH4 motion in 2D and 3D

r

Uniform cirular motion

SPEED DOES NOT CHANGE - VELOCITY CHANGES!

\alpha
x(t) = r \cos{\omega t}
y(t) = r \sin{\omega t}

simple harmonic motion

UNIFORM CIRCULAR MOTION

\vec{a} = \left(-\frac{v^2}{r} \cos{\theta}\right) \hat{i} + \left(-\frac{v^2}{r} \sin{\theta}\right)\hat{j}
\vec{v} = -v \sin{\theta} \hat{i} + v \cos{\theta} \hat{j}

H&R CH4 motion in 2D and 3D

r

Uniform cirular motion

SPEED DOES NOT CHANGE - VELOCITY CHANGES!

acceleration:

|a| = \frac{|v_c|^2}{r}
\theta

angular velocity: rate of change of the angle       : [angle/T] (randians / s)

\omega = \frac{2\pi}{T}
\alpha

vc = circumference / period =                          [L/T] (m/s)

v_c = \frac{2\pi r}{T}
\omega = \frac{2\pi}{T}
v_c = \frac{2\pi r}{T}

}

\omega = \frac{2\pi}{T}
v_c = \frac{2\pi r}{T} = \omega r

UNIFORM CIRCULAR MOTION

\vec{a} = \left(-\frac{v^2}{r} \cos{\theta}\right) \hat{i} + \left(-\frac{v^2}{r} \sin{\theta}\right)\hat{j}
\vec{v} = -v \sin{\theta} \hat{i} + v \cos{\theta} \hat{j}

H&R CH4 motion in 2D and 3D

r

Uniform cirular motion

SPEED DOES NOT CHANGE - VELOCITY CHANGES!

\theta

what is the relationship between a and the radius?

acceleration:

\omega = \frac{2\pi}{T}
v_c = \frac{2\pi r}{T}

}

\omega = \frac{2\pi}{T}
v_c = \frac{2\pi r}{T} = \omega r
|a| = \frac{|v_c|^2}{r}
|a| \propto \frac{1}{r} |v_c|^2 = \frac{1}{r}(\omega r)^2 = \omega^2 r \\ |a| \propto r

UNIFORM CIRCULAR MOTION

\vec{a} = \left(-\frac{v^2}{r} \cos{\theta}\right) \hat{i} + \left(-\frac{v^2}{r} \sin{\theta}\right)\hat{j}
\vec{v} = -v \sin{\theta} \hat{i} + v \cos{\theta} \hat{j}

H&R CH4 motion in 2D and 3D

r

Uniform cirular motion

angular velocity: rate of change of the angle: [angle/T] (randians / s)

\omega = \frac{2\pi}{T}

v = circumference / period =                         [L/T] (m/s)

v = \frac{2\pi r}{T}

SPEED DOES NOT CHANGE - VELOCITY CHANGES!

LOOK AT THE DERIVATION OF a FROM v IN THE BOOK!

\theta

r

H&R CH4 motion in 2D and 3D

acceleration:

|a| = \frac{|v_c|^2}{r}
\omega = \frac{2\pi}{T}
v_c = \frac{2\pi r}{T}

}

\omega = \frac{2\pi}{T}
v_c = \frac{2\pi r}{T} = \omega r

UNIFORM CIRCULAR MOTION

\vec{a} = \left(-\frac{v^2}{r} \cos{\theta}\right) \hat{i} + \left(-\frac{v^2}{r} \sin{\theta}\right)\hat{j}
\vec{v} = -v \sin{\theta} \hat{i} + v \cos{\theta} \hat{j}

r

r

90 deg angles:

angles:

\theta
\theta
\theta
\theta

r

UNIFORM CIRCULAR MOTION

\vec{a} = \left(-\frac{v^2}{r} \cos{\theta}\right) \hat{i} + \left(-\frac{v^2}{r} \sin{\theta}\right)\hat{j}
\vec{v} = -v \sin{\theta} \hat{i} + v \cos{\theta} \hat{j}

Uniform cirular motion

r

\theta
\theta
\vec{a} = a \cos\theta \hat{i} + a \sin \theta \hat{j}
\theta

r

a

UNIFORM CIRCULAR MOTION

\vec{a} = \left(-\frac{v^2}{r} \cos{\theta}\right) \hat{i} + \left(-\frac{v^2}{r} \sin{\theta}\right)\hat{j}
\vec{v} = -v \sin{\theta} \hat{i} + v \cos{\theta} \hat{j}

H&R CH4 motion in 2D and 3D

r

Uniform cirular motion

at what x coordinate will the ball fall?

0   

r/2

r

3r/2

-r/2

-r

-3r/2

-2r

2r

>2r

<-2r

\theta

UNIFORM CIRCULAR MOTION

\vec{a} = \left(-\frac{v^2}{r} \cos{\theta}\right) \hat{i} + \left(-\frac{v^2}{r} \sin{\theta}\right)\hat{j}
\vec{v} = -v \sin{\theta} \hat{i} + v \cos{\theta} \hat{j}

H&R CH4 motion in 2D and 3D

r

Uniform cirular motion

0   

r/2

r

3r/2

-r/2

-r

-3r/2

-2r

2r

>2r

<-2r

\theta

Q: Where on the x axis would a particle released from circular motion at the position indicated in the diagram to the right

A: The velocity vector v at the position of release is perpendicular to the position vector r . Thus after release this problem becomes a projectile motion problem with 

v_0 = v_y \hat{j}; v_x = 0

Since                           there is no x displacement and the x position is x=r for the entire motion

v_0 = v_y \hat{j}

UNIFORM CIRCULAR MOTION

\vec{a} = \left(-\frac{v^2}{r} \cos{\theta}\right) \hat{i} + \left(-\frac{v^2}{r} \sin{\theta}\right)\hat{j}
\vec{v} = -v \sin{\theta} \hat{i} + v \cos{\theta} \hat{j}

H&R CH4 motion in 2D and 3D

r

Uniform cirular motion

\theta

UNIFORM CIRCULAR MOTION

\vec{a} = \left(-\frac{v^2}{r} \cos{\theta}\right) \hat{i} + \left(-\frac{v^2}{r} \sin{\theta}\right)\hat{j}

H&R CH4 motion in 2D and 3D

\theta

r

Uniform cirular motion

1. A centripetal acceleration pointing toward the center of the circular orbit keeps the body moving at constant speed

acceleration:

|a| = \frac{|v_c|^2}{r}

UNIFORM CIRCULAR MOTION

\vec{a} = \left(-\frac{v^2}{r} \cos{\theta}\right) \hat{i} + \left(-\frac{v^2}{r} \sin{\theta}\right)\hat{j}

H&R CH4 motion in 2D and 3D

\theta

r

Uniform cirular motion

1. A centripetal acceleration pointing toward the center of the circular orbit keeps the body moving at constant speed

acceleration:

|a| = \frac{|v_c|^2}{r}

2. By Newton's II law: F = ma if there is an acceleration there is a force!

Force:

F = m|a| = m\frac{|v_c|^2}{r}

UNIFORM CIRCULAR MOTION

\vec{a} = \left(-\frac{v^2}{r} \cos{\theta}\right) \hat{i} + \left(-\frac{v^2}{r} \sin{\theta}\right)\hat{j}

H&R CH4 motion in 2D and 3D

\theta

r

Uniform cirular motion

1. A centripetal acceleration pointing toward the center of the circular orbit keeps the body moving at constant speed

acceleration:

|a| = \frac{|v_c|^2}{r}

2. By Newton's II law: F = ma if there is an acceleration there is a force!

Force:

F = m|a| = m\frac{|v_c|^2}{r}
F \propto \frac{1}{r}

UNIFORM CIRCULAR MOTION

\vec{a} = \left(-\frac{v^2}{r} \cos{\theta}\right) \hat{i} + \left(-\frac{v^2}{r} \sin{\theta}\right)\hat{j}

H&R CH4 motion in 2D and 3D

\theta

r

Uniform cirular motion

1. A centripetal acceleration pointing toward the center of the circular orbit keeps the body moving at constant speed

acceleration:

|a| = \frac{|v_c|^2}{r}

2. By Newton's II law: F = ma if there is an acceleration there is a force!

Force:

F = m|a| = m\frac{|v_c|^2}{r}
F \propto \frac{1}{r}

UNIFORM CIRCULAR MOTION

r

F = m|a| = m\frac{|v_c|^2}{r}
F \propto \frac{1}{r}

KEY POINTS:

  • the acceleration is toward the center of the circle and constant in magnitude
  • uniform circular motion is the motion of an object with velocity v constant in magnitude and uniformly changing in direction
  • we define the period T frequency F (inverse of the period) and angular velocity omega

H&R CH4 motion in 2D and 3D

v = \frac{2\pi r}{T} = \omega r
\vec{v} = -v \sin{\theta} \hat{i} + v \cos{\theta} \hat{j}
\vec{a} = \left(-\frac{v^2}{r} \cos{\theta}\right) \hat{i} + \left(-\frac{v^2}{r} \sin{\theta}\right)\hat{j}

uniform circular motion

  • the velocity vector always points tangentially to the circle

KEY POINTS:

  • the relative motion of two objects is given by the sum of the motions along each axis

H&R CH4 motion in 2D and 3D

relative motion

MATH REVIEW:

integrals

  • the inverse operation to the derivative is the integral
  • The integral of a curve is calculated as the difference of the integral at the two extreme points
\int_a^b f^{'}(x)dx = f(b) - f(a)

MATH REVIEW:

integrals

based on the rules we learned for derivatives we can figure out what the value of the integral is for specific functions

\frac{d f(t) + g(t)}{d t} = \frac{d f(t)}{d t} + \frac{d g(t)}{d t}
\frac{d t}{d t} = 1
\frac{d t^2}{d t} = 2 t
t + \mathrm{const}
\frac{1}{2}t^2 + \mathrm{const}
\frac{d c}{d t} = 0
\int{1}{dt} =
\frac{d t^c}{d t} = c t^{c-1}
\int t {dt} =

MATH REVIEW:

integrals

based on the rules we learned for derivatives we can figure out what the value of the integral is for specific functions

\frac{d f(t) + g(t)}{d t} = \frac{d f(t)}{d t} + \frac{d g(t)}{d t}
\frac{d t}{d t} = 1
\frac{d t^2}{d t} = 2 t
t + \mathrm{const} = t(a)-t(b) + const
\frac{1}{2}t^2 + \mathrm{const} = t^2(a) - t^2(b) + const
\frac{d c}{d t} = 0
\int{1}{dt} =
\frac{d t^c}{d t} = c t^{c-1}
\int t {dt} =

MATH REVIEW:

integrals

based on the rules we learned for derivatives we can figure out what the value of the integral is for specific functions

\frac{d f(t) + g(t)}{d t} = \frac{d f(t)}{d t} + \frac{d g(t)}{d t}
\frac{d t}{d t} = 1
\frac{d t^2}{d t} = 2 t
\int t ^2{dt} = \frac{1}{3}t^3 + \mathrm{const}
\frac{d c}{d t} = 0
\frac{d t^c}{d t} = c t^{c-1}
\int t^2 {dt} =
\int t ^c{dt} = \frac{1}{c}t^c + \mathrm{const}

MATH REVIEW:

integrals

\frac{d \sin{t}}{d t} = \cos{t}
\frac{d \cos{t}}{d t} = -\sin{t}

MATH REVIEW:

integrals

based on the rules we learned for derivatives we can figure out what the value of the integral is for specific functions

\int sin(t) =
sin(t) + const
\int cos(t) =
-cos(t) + const

MATH REVIEW:

integrals

MATH REVIEW:

integrals

based on the rules we learned for derivatives we can figure out what the value of the integral is for specific functions

\vec{v} = \frac{d(\vec{x})}{dt}
\vec{a} = \frac{d(\vec{v})}{dt}
\vec{v} = \int{\vec{a}}{dt}
\vec{x} = \int{\vec{v}}{dt}

phys207 2D-3D motion

By federica bianco

phys207 2D-3D motion

vectors, vector math, trigonometry

  • 1,238