Ti Complexes

Stereochemistry and Lability of Dihalobis(p-diketonato)titanium(IV) Complexes

Robert C. Fay and R. Neil Lowry

by Nchinda Nchinda

acetyleacetone (keto)

Ti (IV) Chloride

Methyl Exchange

Stereochemistry

Mechanism

Summary

Previous Work

1

Rosenheim

Mehrotra, Cox,  Lewis, Nyholm

X=Cl, Br, F

Dithey

Fay and Lowry

Methyl Exchange

Stereochemistry

Mechanism

Summary

Previous Work

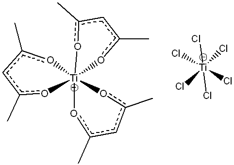
Ti(acac) 2Cl 2

2

Outline

conclusions and open questions

Methyl Exchange

Stereochemistry

Mechanism

Summary

Previous Work

proposed molecule shapes

methyl exchange rates

predicted mechanisms

?

3

NMR

Methyl Exchange

Stereochemistry

Mechanism

Summary

Previous Work

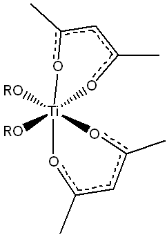
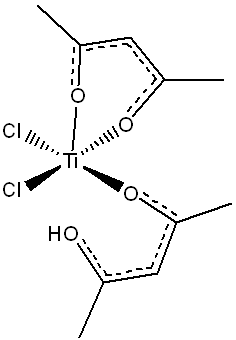
Methanol

4

Methyl Exchange

Stereochemistry

Mechanism

Summary

Previous Work

5

6

Methyl Exchange

Stereochemistry

Mechanism

Summary

Previous Work

Methanol

Ethanol

7

Methanol

Methyl Exchange

Stereochemistry

Mechanism

Summary

Previous Work

8

Ethanol

Methyl Exchange

Stereochemistry

Mechanism

Summary

Previous Work

9

Methyl Exchange

Stereochemistry

Mechanism

Summary

Previous Work

10

  1. below a certain temperature
    • dual environments

Methyl Exchange

Stereochemistry

Mechanism

Summary

Previous Work

11

Methyl Exchange

Stereochemistry

Mechanism

Summary

Previous Work

Chemical Shift Theory

ppm

upfield

downfield

12

  1. below a certain temperature
    • dual environments
  2. above a certain temperature
    • no chemical shift

Methyl Exchange

Stereochemistry

Mechanism

Summary

Previous Work

13

Predicted Structure

X=Cl, Br, F

Methyl Exchange

Stereochemistry

Mechanism

Summary

Previous Work

14

Methyl Exchange

Methyl Exchange

Stereochemistry

Mechanism

Summary

Previous Work

15

Methyl Exchange

Methyl Exchange

Stereochemistry

Mechanism

Summary

Previous Work

16

Determination of Reaction Rate Constants and T2 Relaxation Times Using Integrated NMR Power Spectra

by Dr. Lennartz and Dr. Strehlow

Rate Result

Methyl Exchange

Stereochemistry

Mechanism

Summary

Previous Work

17

Potential Mechanisms

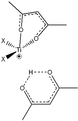
dissociation of one acetylacetonate ligand

Methyl Exchange

Stereochemistry

Mechanism

Summary

Previous Work

18

rupture of one Ti-O bond

dissociation of a halide ion

twist mechanisms

Halide Dissociation - unlikely

Methyl Exchange

Stereochemistry

Mechanism

Summary

Previous Work

19

Complete ligand dissociation - unlikely

Methyl Exchange

Stereochemistry

Mechanism

Summary

Previous Work

20

Twisting mechanisms - unlikely

Methyl Exchange

Stereochemistry

Mechanism

Summary

Previous Work

21

Rupture on one Ti-O bond - probably

Methyl Exchange

Stereochemistry

Mechanism

Summary

Previous Work

22

Conclusion

  1. Conclusively determined the stereochemistry
  2. Ruled out three hypothesis for the mechanism
  3. Proposed a hypothesis for the mechanism

Methyl Exchange

Stereochemistry

Mechanism

Summary

Previous Work

23

References

  • Metal Acetylacetonates- http://www.wikiwand.com/en/Metal_acetylacetonates

  • Methyl Exchange - https://www.sciencedirect.com/science/article/pii/S0022328X00864657

  • Jahn Teller - https://en.wikipedia.org/wiki/Jahn–Teller_effect

  • Kinetics - https://pdfs.semanticscholar.org/ddb6/b4f4744a1a44b9b2704e19d2753bb6e98784.pdf

  • TAs - Onyu Jung, Nathan Hikaru Faialaga

24

Ti Complex Stereochemistry and Lability

By Nchinda Nchinda

Ti Complex Stereochemistry and Lability

  • 607