ESCAPE : De la conception à l'exploration de modèles d'évacuation
HPC 2025
Journée scientifique
des utilisateurs du Criann
O.Gillet, E.Daudé, P.Tranouez
03 juin 2025




Gestion des risques naturels et technologiques





Comprendre et anticiper les dangers d’une évacuation.
O. Gillet, E. Daudé, P. Tranouez (2025)
ESCAPE: Exploring by Simulation Cities Awareness on Population Evacuation





Éruption volcanique de la Soufrière de Saint-Vincent-et-les-Grenadines (2021)
O. Gillet, E. Daudé, P. Tranouez (2025)
ESCAPE: Exploring by Simulation Cities Awareness on Population Evacuation



[Daudé & al, 2019]
Comprendre et anticiper les dangers d’une évacuation en explorant diverses situations de crise
Système d'aide à la réflexion
- Efficacité
- Généricité
- Adaptabilité
- Scalabilité


O. Gillet, E. Daudé, P. Tranouez (2025)
Concevoir des scénarios d'évacuation et d'aléas




O. Gillet, E. Daudé, P. Tranouez (2025)
Simuler des évacuations selon une approche multi-agents

PDAC
[Esposti Ongaro et al, 2018]

Environnement de simulation
Gestion de crise et réponses d’urgence


Comportements individuels



O. Gillet, E. Daudé, P. Tranouez (2025)
Environnement de développement, d'exploration et de visualisation

Simulation à large échelle avec OpenMOLE et les cluster intensifs haute-performance du CRIANN
Cas d'application n°1 : Saumur et le risque d'inondation




What-if scenario : Rupture d'une digue au Nord Ouest de la ville au petit matin
Plan d'expérience : Temps de réaction des autorités, temps de préparation des individus, réplication (x100)
Résultats : 4900 simulations (≃ 2,5go de données par simulation)
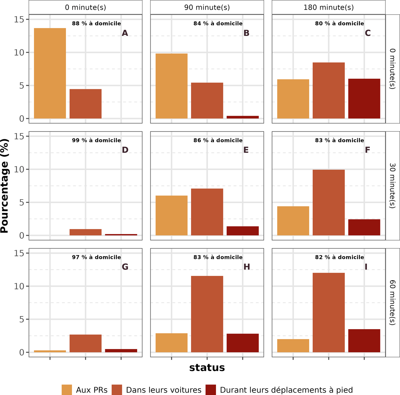
Cas d'application n°1 : Saumur et le risque d'inondation





Informations sur le trafic routier
Informations sur la situation des individus
O. Gillet, E. Daudé, P. Tranouez (2025)



How to scenario : Comment optimiser l'évacuation dans un environnement dégradé.
Plan d'expérience : Temps de préparation des individus, % d'invidus à évacuer, nb. d'arrêt de bus, nb .de bus, réplication (x30)
Résultats : 1920 simulations (≃ 4go de données par simulation)

Cas d'application n°2 : Guadeloupe et le risque volcanique
Cas d'application n°2 : Guadeloupe et le risque volcanique





Informations sur les individus non autonomes
O. Gillet, E. Daudé, P. Tranouez (2025)
Conclusion et perspectives



-
ESCAPE est un outil d'aide à la réflexion utile dans l'élaboration des plans d'évacuation.
-
Explorer une grande variété d'hypothèses concernant le comportement humain et les dynamiques d'aléas naturels comme technologiques. Le framework a été testé sur plusieurs cas d'applications (Rouen, Saumur, Guadeloupe).
-
ESCAPE évolue aussi vers un outil d'apprentissage par le développement d'un "serious game" (en développement), des applications "noCode" (aussi en développement).
-
Plusieurs projets ont été soumis sur la base des travaux mentionnés précédemment, notamment dans le cadre des PEPR - IRIMA tels que IRIVOLC et ESCAPE.
O. Gillet, E. Daudé, P. Tranouez (2025)
Merci pour votre attention :)





O. Gillet, E. Daudé, P. Tranouez (2025)
CRIANN_2025
By Gillet Olivier
CRIANN_2025
- 115