fisica per musicologia e la conservazione dei beni culturali

corso di fisica (6 cfu - 36 ore)
dott. Giovanni Pellegrini - giovanni.pellegrini@unipv.it



Tipler
halliday-resnik
walker
Programma
- Elementi di matematica - grandezze fisiche
- Cinematica e dinamica
- Proprietà dei materiali
- Fludi
- Elettromagnetismo
- Onde, suono e ottica
- Interazione radiazione materia
Esame orale
Tema da approfondire legato a problemi inerenti il corso di restauro
fisica, musica e arte
la fisica del suono e delle vibrazioni: 1
la fisica del suono e delle vibrazioni: 2
la fisica del suono e delle vibrazioni: 3
la fisica del suono e delle vibrazioni: 4
conservazione dei beni culturali
Acceleratore di particelle aglae

“Analisi non distruttiva dei rubini incastronati nella statuetta persiana rappresentante la dea Ishtar.”
conservazione dei beni culturali
AGLAE-C2RMF, Parigi 2013, Thomas Struth

elementi di matematica

un piccolo aiuto
simboli matematici: 1

simboli matematici: 2

proporzionalità
F = G \frac{m_{1}m_{2}}{r^{2}}
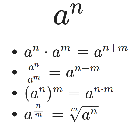
potenze

potenze di 10 e ordini di grandezza

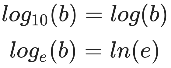
logaritmi

ancora logaritmi

logaritmi: i decibel

equazioni

sistemi di equazioni

funzioni
y=f(x)\\
y=sin(x)\\
y=e^{x}\\
y=x^2-3x+7
funzioni in più variabili

z = f(x,y) = cos(\sqrt(x^{2}+y^{2}))
funzioni trigonometriche: sin, cos

funzioni trigonometriche: tan, cot

funzioni trigonometriche e suono
f(t) = sin (2 \pi \cdot f \cdot t)
t = tempo in secondi
f = frequenza in Hertz (La = 440 Hz)
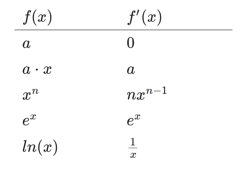
definizione di derivata

definizione di derivata




derivate fondamentali: 1

derivate fondamentali: 2

derivate: funzione di funzione

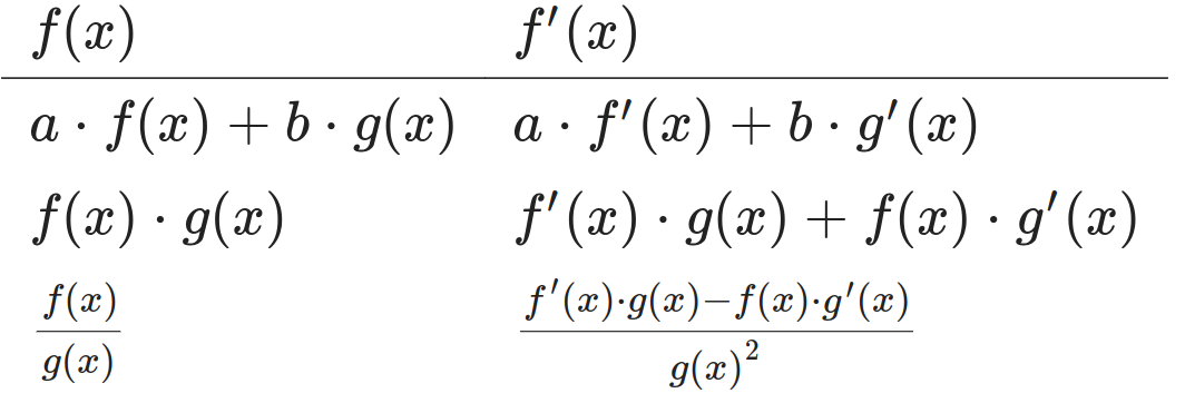
derivate: somma, prodotto e divisione

definizione di integrale definito

integrali indefiniti fondamentali

integrali indefiniti fondamentali

Musicologia: introduzione
By Giovanni Pellegrini
Musicologia: introduzione
- 33
