PERIODIC POTENTIALS
AND THE EMERGENCE OF BAND STRUCTURES
A COLLECTION OF QUANTUM SYSTEMS
Free Particle
1D Box
Harmonic Oscillator
Hydrogen Atom
\hat{H} = -\frac{\hbar^2}{2m}\frac{\partial^2}{\partial x^2}
\hat{H} = -\frac{\hbar^2}{2m}\frac{\partial^2}{\partial x^2} +V(x)
V(x)=
\begin{dcases}
0 \, -d/2 \leq x \leq d/2 \\
\infty \; otherwise
\end{dcases}
V(x)= 0
\hat{H} = -\frac{\hbar^2}{2m}\frac{\partial^2}{\partial x^2} +V(x)
V(x)= \frac{1}{2} k x^2
\hat{H} = -\frac{\hbar^2}{2 \mu} \frac{1}{r}\frac{\partial^2}{\partial r^2}r + V(r)
V(r) = \frac{\hat{L}^2}{2 \mu r^2} - \frac{1}{4 \pi \varepsilon_0}\frac{e^2}{r}


E_k=\frac{\hbar^2k^2}{2m}
E_n=\frac{\pi^2 \hbar^2}{2m}n^2
E_n=\hbar \omega (n + \frac{1}{2})
E_n=-\frac{1}{4 \pi \varepsilon_0}\frac{e^2}{2 a_0}\frac{1}{n^2}
\Delta E=\frac{\pi^2 \hbar^2}{2m}(2n+1)
\Delta E=\hbar \omega
\Delta E=\frac{1}{4 \pi \varepsilon_0}\frac{e^2}{2 a_0} \frac{2n+1}{n^2(n+1)^2}
\Delta E \rightarrow 0
A COLLECTION OF QUANTUM SYSTEMS
Free Particle
1D Box
Harmonic Oscillator
Hydrogen Atom
\hat{H} = -\frac{\hbar^2}{2m}\frac{\partial^2}{\partial x^2}
\hat{H} = -\frac{\hbar^2}{2m}\frac{\partial^2}{\partial x^2} +V(x)
V(x)=
\begin{dcases}
0 \, -d/2 \leq x \leq d/2 \\
\infty \; otherwise
\end{dcases}
V(x)= 0
\hat{H} = -\frac{\hbar^2}{2m}\frac{\partial^2}{\partial x^2} +V(x)
V(x)= \frac{1}{2} k x^2
\hat{H} = -\frac{\hbar^2}{2 \mu} \frac{1}{r}\frac{\partial^2}{\partial r^2}r + V(r)
V(r) = \frac{\hat{L}^2}{2 \mu r^2} - \frac{1}{4 \pi \varepsilon_0}\frac{e^2}{r}
\langle [\hat{H},\hat{H}] \rangle = 0
E=Const.
Time Symmetry
\langle [\hat{H},\hat{H}] \rangle = 0
E=Const.
Time Symmetry
\langle [\hat{H},\hat{H}] \rangle = 0
E=Const.
Time Symmetry
\langle [\hat{H},\hat{H}] \rangle = 0
E=Const.
Time Symmetry
\langle [\hat{p},\hat{H}] \rangle = 0
p=Const.
Translational Symmetry
\langle [\hat{L}^2,\hat{H}] \rangle = 0; \,\langle [\hat{L}_z,\hat{H}] \rangle = 0
L^2,L_z=Const.
Rotational Symmetry
MATERIALS ARE (OFTEN) CRYSTALS

1D PERIODIC POTENTIALS

e
a
V(x)=V(x+na)
Symmetries
\hat{T}_a \psi(x) = \psi(x+a)
Discrete Translation Operator
\langle [\hat{H},\hat{H}] \rangle= 0
\hat{H} = -\frac{\hbar^2}{2m} \frac{\partial^2}{\partial x^2} + V(x)
\(\hat{T}_a\) Eigenfunction and Conserved Quantities
\begin{cases}
\hat{T}_a \phi(x) = e^{ika}\varphi(x) \\
\varphi(x) = e^{ikx}f(x) \\
f(x) = f(x+a)
\end{cases}
\langle [\hat{T}_a,\hat{H}] \rangle = 0
\begin{cases}
E_n=const. \\
e^{ika}; \, k=const.
\end{cases}
BLOCH THEOREM
The solutions to the Schrödinger equation in a periodic potential can be expressed as plane waves modulated by periodic functions.
\begin{dcases}
\hat{H} = -\frac{\hbar^2}{2m} \frac{\partial^2}{\partial x^2} + V(x) \\[10pt]
V(x) = V(x+na)
\end{dcases}
\begin{dcases}
\varphi_{nk}(x) = e^{ikx}f_{nk}(x) \\
f_{nk}(x) = f_{nk}(x+na)
\end{dcases}
MOMENTUM CONSERVATION AND CRYSTAL MOMENTUM
Momentum is not conserved in a periodic crystal
[\hat{p},\hat{H}] \neq 0
p \neq \hbar k
\(k\) in \(\varphi_{nk}(x) = e^{ikx}f_{nk}(x)\) is not the traditional wavevector, and takes the name of crystal momentum
RECIPROCAL LATTICE
AND UNIQUE VALUES OF CRYSTAL MOMENTUM
\begin{dcases}
\varphi_{nk}(x) = e^{ikx}f_{nk}(x) \\
f_{nk}(x) = f_{nk}(x+na)
\end{dcases}
a
-\frac{a}{2}
\frac{a}{2}
g = \frac{2 \pi}{a}
-\frac{g}{2}
\frac{g}{2}
x
k
Bravais Lattice: \(\{\vec{R}\}, \, \vec{R}=ma, \, m \in \mathbb{Z}\)
Reciprocal Lattice: \(\{\vec{G}\}, \, \vec{G}=lg, \, l \in \mathbb{Z}\)
Unit cell
Brillouin Zone
\begin{dcases}
\varphi_{nk}(x) \equiv \varphi_{nk'}(x) \\
k' = k + lg, \, l \in \mathbb{Z}
\end{dcases}
RECIPROCAL LATTICE
AND UNIQUE VALUES OF CRYSTAL MOMENTUM
\begin{dcases}
\varphi_{nk}(x) = e^{ikx}f_{nk}(x) \\
f_{nk}(x) = f_{nk}(x+na)
\end{dcases}
\varphi_{nk_1}(x) = e^{ik_{1}x}f_{nk_{1}}(x)
\varphi_{nk_2}(x) = e^{ik_{2}x}f_{nk_{2}}(x)
k_2 = k_1 + g
FOURIER SERIES OF THE PERIODIC POTENTIAL
V(x) = \sum_n V_n e^{i k_n x} = \sum_{g_n} V_{g_n} e^{i g_n x}
k
\tilde{V}(k)
0
-g
-2g
g
2g
Example: \(V(x)=V_0 \cos(gx)\)
FOURIER SERIES OF THE EIGENFUNCTION
\begin{dcases}
\varphi_{nk}(x) = \sum_k c_k e^{i k x} \\[10pt]
c_k = \tilde{\varphi}(k) \Delta k
\end{dcases}
k
\tilde{\varphi}(k)
0
-g
-2g
g
2g
\varphi_{nk}(x) = \int_{-\infty}^{\infty}\tilde{\varphi}(k) e^{i k x}dk
\varphi_{nk}(x) \simeq \sum_k \tilde{\varphi}(k) e^{i k x} \Delta k
PERIODIC SCHRODINGER EQUATION
\varphi_{nk}(x) = \sum_k c_k e^{i k x}
\left(-\frac{\hbar^2}{2 m} \frac{d^2}{d x^2}+V(x)\right) \varphi_{nk}(x)=E_n \varphi_{nk}(x)
V(x) = \sum_{g_n} \tilde{V}_{g_n} e^{i g_n x}
\left(-\frac{\hbar^2}{2 m} \frac{d^2}{d x^2}+\sum_{g_n} V_{g_n} e^{i g_n x}\right) \sum_k c_k e^{i k x}=E_n \sum_k c_k e^{i k x}
\frac{\hbar^2}{2 m} \sum_k c_k k^2 e^{i k x}+\sum_{g_n} \sum_k V_{g_n} c_k e^{i(g_n+k) x}=E_n \sum_k c_k e^{i k x}
PERIODIC SCHRODINGER EQUATION
\frac{\hbar^2}{2 m} \sum_k c_k k^2 e^{i k x}+\sum_{g_n} \sum_k V_{g_n} c_{k-g_n} e^{i k x}=E_n \sum_k c_k e^{i k x}
\sum_k\left(\frac{\hbar^2}{2 m} k^2 c_k+\sum_{g_n} V_{g_n} c_{k-g_n}\right) e^{i k x}=\sum_k E_n c_k e^{i k x}
\sum_k\left(\left(\frac{\hbar^2}{2 m} k^2-E_n\right) c_k+\sum_{g_n} V_{g_n} c_{k-g_n}\right) e^{i k x}=0
PERIODIC SCHRODINGER EQUATION
\left(\frac{\hbar^2}{2 m} k^2-E_n\right) c_k+\sum_{g_n} V_{g_n} c_{k-g_n}=0
\frac{\hbar^2}{2 m} k^2 c_k+\sum_{g_n} V_{g_n} c_{k-g_n}=E_n c_k, \; \forall k
Central Equation
AN EXAMPLE OF CENTRAL EQUATION
k
0
-g
g
V(x) = 2V_0 \cos(gx) = V_0e^{igx}+V_0e^{-igx}
0
-g
g
V_0
V_0
\begin{align*}
& V_0 c_{k-3 g}+ \frac{\hbar^2}{2 m}(k-2 g)^2 c_{k-2 g}+V_0 c_{k-g}=E_n c_{k-2 g} \\
& V_0 c_{k-2 g}+ \frac{\hbar^2}{2 m}(k-g)^2 c_{k-g}+V_0 c_k=E_n c_{k-g} \\
& \textcolor{blue}{V_0 c_{k-g}+ \frac{\hbar^2}{2 m} k^2 c_k+V_0 c_{k+g}=E_n c_k} \\
& V_0 c_k+ \frac{\hbar^2}{2 m}(k+g)^2 c_{k+g}+V_0 c_{k+2 g}=E_n c_{k+g} \\
& V_0 c_{k+g}+\frac{\hbar^2}{2 m}(k+2 g)^2 c_{k+2 g}+V_0 c_{k+3 g}=E_n c_{k+2 g}
\end{align*}
AN EXAMPLE OF CENTRAL EQUATION
\bgroup
\def\arraystretch{2.0}
\left[
\begin{array}{ccccc}
\frac{\hbar^2}{2 m}(k-2 g)^2 & V_0 & 0 & 0 & 0 \\
V_0 & \frac{\hbar^2}{2 m}(k-g)^2 & V_0 & 0 & 0 \\
0 & V_0 & \frac{\hbar^2}{2 m} k^2 & V_0 & 0 \\
0 & 0 & V_0 & \frac{\hbar^2}{2 m}(k+g)^2 & V_0 \\
0 & 0 & 0 & V_0 & \frac{\hbar^2}{2 m}(k+2 g)^2
\end{array}\right]
\egroup
\left(\begin{array}{c}
c_{k-2 g} \\
c_{k-g} \\
c_k \\
c_{k+g} \\
c_{k+2 g}
\end{array}\right)=E_n\left(\begin{array}{c}
c_{k-2 g} \\
c_{k-g} \\
c_k \\
c_{k+g} \\
c_{k+2 g}
\end{array}\right)
\varphi_{kn}(x) = \sum_{g_n}c_{k-g_n}e^{i(k-g_n) x} = e^{ikx}\sum_{g_n}c_{k-g_n}e^{-g_n x}
DRAWING THE BAND DIAGRAM
k
E



-\frac{g}{2}
\frac{g}{2}
E_g
ESTIMATING THE BAND GAP
V(x) = 2V_0 \cos(gx) = V_0e^{igx}+V_0e^{-igx}
\begin{gathered}
V_0 c_{k-g}+\left(\frac{\hbar^2}{2 m} k^2-E_n\right) c_k+V_0 c_{k+g}=0 \\
V_0 c_k+\left(\frac{\hbar^2}{2 m}(k+g)^2-E_n\right) c_{k+g}+V_0 c_{k+2 g}=0
\end{gathered}
\left(\begin{array}{cc}
\left(\frac{\hbar^2}{2 m} k^2-E_n\right) & V_0 \\
V_0 & \left(\frac{\hbar^2}{2 m}(k+g)^2-E_n\right)
\end{array}\right)\left(\begin{array}{c}
c_k \\
c_{k+g}
\end{array}\right)=\left(\begin{array}{l}
0 \\
0
\end{array}\right)
ESTIMATING THE BAND GAP
with \; k=-\frac{g}{2}
\left(\begin{array}{cc}
\left(\frac{\hbar^2}{2 m}\left(-\frac{g}{2}\right)^2-E_n\right) & V_0 \\
V_0 & \left(\frac{\hbar^2}{2 m}\left(\frac{g}{2}\right)^2-E_n\right)
\end{array}\right)\left(\begin{array}{l}
c_{-g / 2} \\
c_{g / 2}
\end{array}\right)=\left(\begin{array}{l}
0 \\
0
\end{array}\right)
An homogeneous system has a non-trivial solution only if the determinant of the coefficient matrix is zero
\left|\begin{array}{cc}
\frac{\hbar^2}{2 m}\left(\frac{g}{2}\right)^2-E_n & V_0 \\
V_0 & \frac{\hbar^2}{2 m}\left(-\frac{g}{2}\right)^2-E_n
\end{array}\right|=0
E_{\pm}=\frac{\hbar^2}{2 m}\left(\frac{g}{2}\right)^2 \pm V_0, \\[10pt]
E_{-}=E_{n}, \, E_{+}=E_{n+1}
E_g = E_{+}-E_{-} = 2V_0
NUMERICAL SOLUTION OF THE CENTRAL EQUATION
FAST FOURIER TRANSFORM
def square(x_arr, fill_f V_maximum):
dim_x = np.shape(x_arr)[0]
V = np.zeros(dim_x)
V[0:int(dim_x*fill_f)] = V_maximum
return V
dim = 256 # number sampling points in real space of for the periodic potential
x=np.linspace(-a/2,a/2,dim) # x points of unit cell in real space
dx = x[1]-x[0] # spatial sampling
V_max = 5.0 # potential amplitude
fill_fraction = 0.5 # fill fraction of the potential
V = square(x,fill_fraction,V_max)
NUMERICAL SOLUTION OF THE CENTRAL EQUATION
FAST FOURIER TRANSFORM
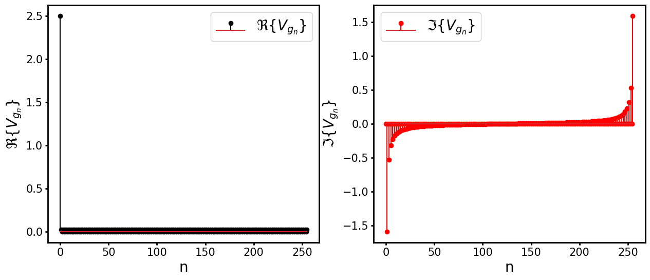
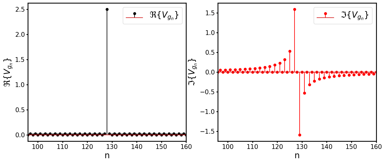
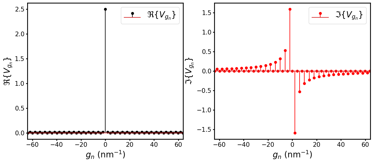
V_fft = np.fft.fft(V,norm='forward') # compute full fft
V(x) = \sum_{g_n} V_{g_n} e^{i g_n x}
NUMERICAL SOLUTION OF THE CENTRAL EQUATION
FAST FOURIER TRANSFORM
V_fft = np.fft.fft(V,norm='forward') # compute full fft
V_fft_shift = np.fft.fftshift(V_fft) # shift fftV(x) = \sum_{g_n} V_{g_n} e^{i g_n x}

NUMERICAL SOLUTION OF THE CENTRAL EQUATION
FAST FOURIER TRANSFORM
V_fft = np.fft.fft(V,norm='forward') # compute full fft
V_fft_shift = np.fft.fftshift(V_fft) # shift fft
k_fft = np.fft.fftshift(np.fft.fftfreq(len(V),dx*1e9)) # compute spatial fft frequenciesV(x) = \sum_{g_n} V_{g_n} e^{i g_n x}

NUMERICAL SOLUTION OF THE CENTRAL EQUATION
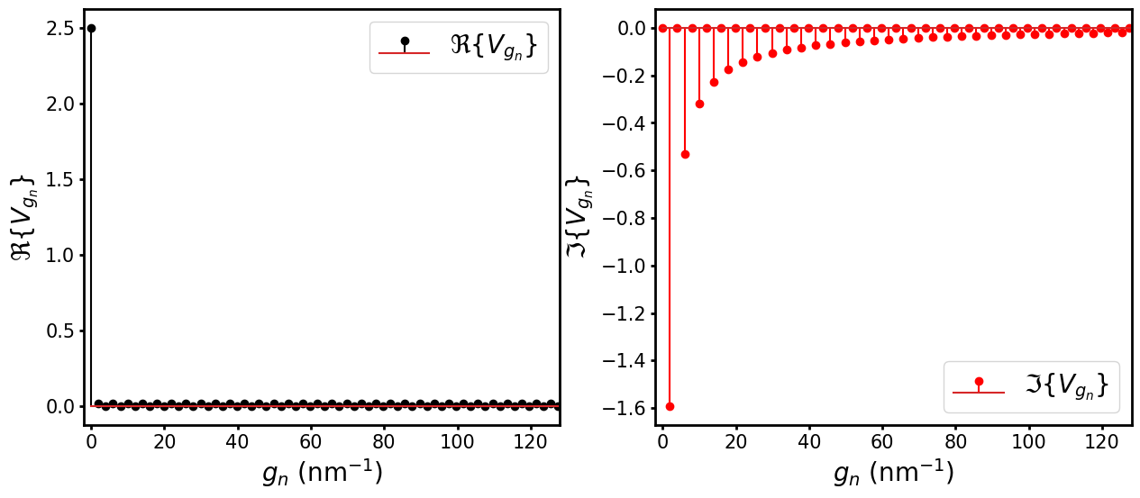
FAST FOURIER TRANSFORM
V_fft_r = np.fft.rfft(V,norm='forward') # compute fft
k_fft_r = np.fft.rfftfreq(len(V),dx*1e9) # compute fft spatial frequenciesV(x) = \sum_{g_n} V_{g_n} e^{i g_n x}

NUMERICAL SOLUTION OF THE CENTRAL EQUATION
FAST FOURIER TRANSFORM

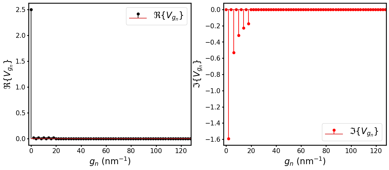
We select the \(2 n_{max}+1\) orders, to correctly fill the central equation matrix
NUMERICAL SOLUTION OF THE CENTRAL EQUATION
FAST FOURIER TRANSFORM
We check the reconstructed periodic potential with the \(2 n_{max}+1\) orders.

NUMERICAL SOLUTION OF THE CENTRAL EQUATION
COFFICIENT MATRIX
\bgroup
\def\arraystretch{2.0}
\left[
\begin{array}{ccccc}
\frac{\hbar^2}{2 m}(k-2 g)^2 & V_{g_{1}} & V_{g_{2}} & V_{g_{3}} & V_{g_{4}} \\
V_{g_{-1}} & \frac{\hbar^2}{2 m}(k-g)^2 & V_{g_{1}} & V_{g_{2}} & V_{g_{3}} \\
V_{g_{-2}} & V_{g_{-1}} & \frac{\hbar^2}{2 m} k^2 & V_{g_{1}} & V_{g_{2}} \\
V_{g_{-3}} & V_{g_{-2}} & V_{g_{-1}} & \frac{\hbar^2}{2 m}(k+g)^2 & V_{g_{1}} \\
V_{g_{-4}} & V_{g_{-3}} & V_{g_{-2}} & V_{g_{-1}} & \frac{\hbar^2}{2 m}(k+2 g)^2
\end{array}\right]
\egroup
NUMERICAL SOLUTION OF THE CENTRAL EQUATION
COFFICIENT MATRIX
\bgroup
\def\arraystretch{2.0}
\left[
\begin{array}{ccccc}
\frac{\hbar^2}{2 m}(k-2 g)^2 & V_{g_{1}} & V_{g_{2}} & V_{g_{3}} & V_{g_{4}} \\
V_{g_{1}}^* & \frac{\hbar^2}{2 m}(k-g)^2 & V_{g_{1}} & V_{g_{2}} & V_{g_{3}} \\
V_{g_{2}}^* & V_{g_{1}}^* & \frac{\hbar^2}{2 m} k^2 & V_{g_{1}} & V_{g_{2}} \\
V_{g_{3}}^* & V_{g_{2}}^* & V_{g_{1}}^* & \frac{\hbar^2}{2 m}(k+g)^2 & V_{g_{1}} \\
V_{g_{4}}^* & V_{g_{3}}^* & V_{g_{2}}^* & V_{g_{1}}^* & \frac{\hbar^2}{2 m}(k+2 g)^2
\end{array}\right]
\egroup
NUMERICAL SOLUTION OF THE CENTRAL EQUATION
COFFICIENT MATRIX
\bgroup
\def\arraystretch{2.0}
\left[
\begin{array}{ccccc}
0 & V_{g_{1}} & V_{g_{2}} & V_{g_{3}} & V_{g_{4}} \\
V_{g_{1}}^* & 0 & V_{g_{1}} & V_{g_{2}} & V_{g_{3}} \\
V_{g_{2}}^* & V_{g_{1}}^* & 0 & V_{g_{1}} & V_{g_{2}} \\
V_{g_{3}}^* & V_{g_{2}}^* & V_{g_{1}}^* & 0 & V_{g_{1}} \\
V_{g_{4}}^* & V_{g_{3}}^* & V_{g_{2}}^* & V_{g_{1}}^* & 0
\end{array}\right]
\egroup
+
\bgroup
\def\arraystretch{2.0}
\left[
\begin{array}{ccccc}
\frac{\hbar^2}{2 m}(k-2 g)^2 & 0 & 0 & 0 & 0 \\
0 & \frac{\hbar^2}{2 m}(k-g)^2 & 0 & 0 & 0 \\
0 & 0 & \frac{\hbar^2}{2 m} k^2 & 0 & 0 \\
0 & 0 & 0 & \frac{\hbar^2}{2 m}(k+g)^2 & 0 \\
0 & 0 & 0 & 0 & \frac{\hbar^2}{2 m}(k+2 g)^2
\end{array}\right]
\egroup
NUMERICAL SOLUTION OF THE CENTRAL EQUATION
BAND COMPUTATION
f_{bands}(k,n_{max},V) \Rightarrow
\begin{dcases}
\{E_1,E_2,...,E_{2 n_{max}+1} \} \\[10pt]
\{\mathbf{c}_k^1,\mathbf{c}_k^2,...,\mathbf{c}_k^{2 n_{max}+1} \}
\end{dcases}
Materials and Platforms for AI - Periodic Potentials and the Emergence of Band Structures
By Giovanni Pellegrini
Materials and Platforms for AI - Periodic Potentials and the Emergence of Band Structures
- 167