

Spiral - Modeling of Superchiral Surface Waves
J. Barolak, G. Pellegrini

Our Software Stack: \( S^4\)
Dipartimento di Fisica - Università di Pavia
Spiral Meeting, 30-31 October 2024, Rome, Italy

\(S^4\), an RCWA code

\begin{aligned}
\mathbf{H}(\mathbf{r}, z)= & \sum_{\mathbf{G}}\left(\phi_x(\mathbf{G})\left[\hat{\mathbf{x}}-\frac{1}{q}\left(k_x+G_x\right) \hat{\mathbf{z}}\right]\right. \\
& \left.+\phi_y(\mathbf{G})\left[\hat{\mathbf{y}}-\frac{1}{q}\left(k_y+G_y\right) \hat{\mathbf{z}}\right]\right) e^{i(\mathbf{k}+\mathbf{G}) \cdot \mathbf{r}+i q z}
\end{aligned}

Our Software Stack: \( S^4\)
Dipartimento di Fisica - Università di Pavia
Spiral Meeting, 30-31 October 2024, Rome, Italy

\(S^4\), an RCWA code



Our Software Stack: chipy
Dipartimento di Fisica - Università di Pavia
Spiral Meeting, 30-31 October 2024, Rome, Italy
Chipy, a chiral transfer matrix code



Our Software Stack: DEAP + SimPyOpt
Dipartimento di Fisica - Università di Pavia
Spiral Meeting, 30-31 October 2024, Rome, Italy

DEAP: Distributed Evolutionary Algorithms in Python
SimPyOpt: A Simple Python Optimizer

Including Stability in the Optimization: an Early Attempt
Dipartimento di Fisica - Università di Pavia
Spiral Meeting, 30-31 October 2024, Rome, Italy

Pellegrini, G. & Mattei, G. High-Performance Magneto-Optic Surface Plasmon Resonance Sensor Design: An Optimization Approach. Plasmonics 9, 1457–1462 (2014).
\begin{cases}
\mathrm{obj}_1=\frac{\partial S}{\partial n}=\frac{\partial S}{\partial \theta} \frac{\partial \theta}{\partial n} \\
\mathrm{obj}_2=-\sum_{\text {layers }} \frac{1}{\Delta_{\text {layer }}} \int_{\Delta_{\text {layer }}} \frac{\left|\mathrm{obj}_{1, \text { layer }}^{\prime}(\mathrm{t})\right|}{\left.\max \left(\left|\mathrm{obj}_1\right|\right)\right|_{\Delta_{\text {layer }}}} \mathrm{dt}
\end{cases}



About me!
Dipartimento di Fisica - Università di Pavia
Spiral Meeting, 30-31 October 2024, Rome, Italy

Education:
- 2015 - 2019: BSc in Engineering Physics
- 2019 - 2024: PhD in Physics

Research Background:







Computational Imaging (CDI) + Ultrafast Optics
(Algorithms, Simulations, Optical Design, Experimental Implementations, Data Analysis)

2D to 3D Optimization
Dipartimento di Fisica - Università di Pavia
Spiral Meeting, 30-31 October 2024, Rome, Italy
2D Genetic Optimization:
3D Genetic Optimization:
How sensitive are our objective function?
\vec{\textbf{X}} = [x_1,x_2,...,x_n]
\mathcal{E_1(\vec{\textbf{X}})}
\mathcal{E_2(\vec{\textbf{X}})}

\mathcal{E_3(\vec{\textbf{X}})} = Mean(\sum{|EigenValues(H_{\mathcal{E}_1(\vec{\textbf{X}})})|},\sum{|EigenValues(H_{\mathcal{E}_2(\vec{\textbf{X}})})|})

\mathcal{E_1(\vec{\textbf{X}})}
\mathcal{E_2(\vec{\textbf{X}})}
\mathcal{E_3(\vec{\textbf{X}})}
Set of parameters to optimize:
Set of objective functions to max/min:
(\mathcal{E_1(\vec{\textbf{X}})},\mathcal{E_2(\vec{\textbf{X}})})
Measure of flatness
\mathcal{E_3(\vec{\textbf{X}})} :

FMMAX - Overview
Dipartimento di Fisica - Università di Pavia
Spiral Meeting, 30-31 October 2024, Rome, Italy
FMMAX:
- Rigorous Coupled Wave Analysis (RWCA)/ Fourier Modal Method (FMM) Solver
- Developed by the Facebook research group
- JAX: "Just Another XLA (Accelerated Linear Algebra)"

JAX
Automatic Differentiation
Stability Analysis



FMMAX - Reproduction of Reflectance Maps
Dipartimento di Fisica - Università di Pavia
Spiral Meeting, 30-31 October 2024, Rome, Italy



PRB 2017 Results
FMMAX Results

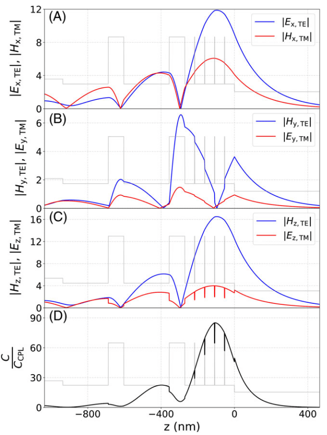
fmmax - Reproduction of Fields
Dipartimento di Fisica - Università di Pavia
Spiral Meeting, 30-31 October 2024, Rome, Italy


PRB 2017 Results
FMMAX Results

fmmax - Chirality Map
Dipartimento di Fisica - Università di Pavia
Spiral Meeting, 30-31 October 2024, Rome, Italy
C = -\frac{\epsilon_0 \omega}{2} Im(\textbf{E}^{*} \cdot \textbf{B})



PRB 2017 Results
FMMAX Results
Recreate chirality maps around 5nm above the photonic crystal:



Spiral - Modeling of Superchiral Surface Waves
J. Barolak, G. Pellegrini
Spiral Meeting 30_10_2024
By Giovanni Pellegrini
Spiral Meeting 30_10_2024
- 60