Genotype-phenotype-like maps
in adaptive systems
Adaptive systems
Evolving systems
Learning systems
Supervised learning

Genotype-phenotype-like maps
(GP maps)

Cost
Function space
Parameter space

GP map
GP maps

-
Redundancy
-
Bias
-
Robustness
-
Evolvability
-
Neutral networks
-
etc
Properties

Redundancy & Bias


Robustness

Again, many analogies in learning theory

Algorithmic Information Theory and simplicity bias
100101010001011101110101110111010101
Kolmogorov complexity
100101010001011101110101110111010101

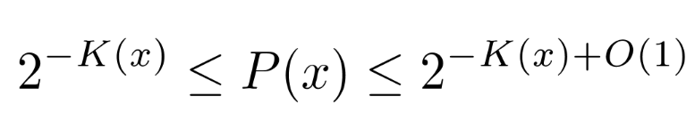
Simplicity bias
100101010001011101110101110111010101


Intuition: simpler outputs are much more likely to appear

Computable simplicity bias
100101010001011101110101110111010101
Turing machine --> Finite-state transducers
Kolmogorov complexity --> Lempel-Ziv complexity
Everything is now computable,
and can be analyzed theoretically.
Keywords: data compression, universal source coding
Can we do similar analysis for future systems we will be studying?
Other complexity measures
100101010001011101110101110111010101
- Coding theorem methods (Hector Zenil)
- Krohn-Rhodes complexity
- Entropy
- Other compression-based complexities
- ...
Universal induction
100101010001011101110101110111010101
Optimal learning
Learning theory

Supervised learning

Learn
Given
Neural networks


PAC-Bayes

Good framework to study the effect of GP map biases on successful learning/evolution
like betting on some solutions more than on others


Information bottleneck

Compressing the input could help successful learning
I'm exploring ways of connecting it to VC dimension of neural nets

Statistical physics framework

Average/typical case instead of worst case

Conclusion
Adaptive systems
GP maps
Information theory
Learning theory
depend on
studied with
studied with
Applications
- Biological GP maps
- Protein self-assembly
- Gene-regulatory networks
- Developmental models
- Neural networks
- Machine learning
- Understanding generalization in deep learning
- Universal AI?
- Artificial and natural evolution
- Sloppy systems
- Understanding a bit more how the world works:)
Genotype-phenotype-like mapsin adaptive systems
By Guillermo Valle
Genotype-phenotype-like mapsin adaptive systems
- 1,099