Presentations
Templates
Features
Teams
Pricing
Log in
Sign up
Log in
Sign up
Menu
METODO DE ITERACION PUNTO FIJO
ANÁLISIS NUMÉRICO
Feb 27th, 2017
GRAFICA DE LA FUNCION
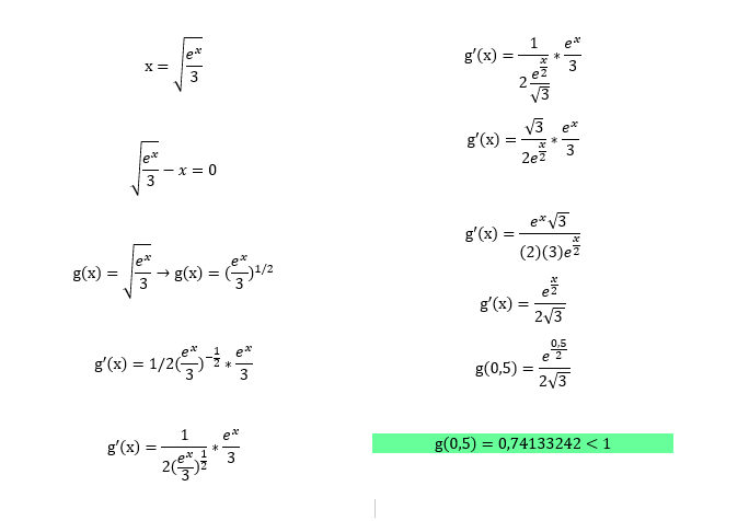
Encontrar que g'(x)<1
Modelos de Iteracion
By Häzël PG
Made with Slides.com
Modelos de Iteracion
394
Häzël PG
More from
Häzël PG