Presentations
Templates
Features
Teams
Pricing
Log in
Sign up
Log in
Sign up
Menu
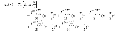
POLINOMIO DE TAYLOR
POLINOMIO DE TAYLOR
Calcular el polinomio de grado 4 que se ajusta a la función seno en el punto pi/2.
POLINOMIO DE TAYLOR
Calcular el polinomio de grado 4 que se ajusta a la función seno en el punto pi/2.
POLINOMIO DE TAYLOR
Calcular el polinomio de grado 4 que se ajusta a la función seno en el punto pi/2.
POLINOMIO DE TAYLOR
POLINOMIO DE TAYLOR
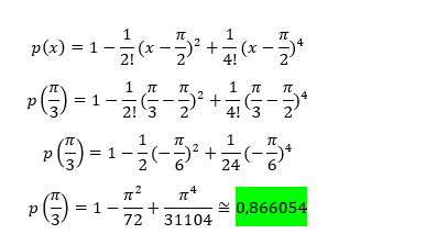
Calcular el valor de seno de pi/3 (60°)
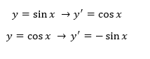
Error que se comete con respecto al valor real
Polinomio de Taylor
By Häzël PG
Made with Slides.com
Polinomio de Taylor
1,183
Häzël PG
More from
Häzël PG