Sucesiones y Series

Matemáticas Especiales

2017

Sucesiones numericas

Las sucesiones numéricas son un conjunto ordenado de números. Todas las sucesiones tienen una ley de formación de sus elementos, que puede ser infinita o finita según a la propiedad que obedezcan. Las sucesiones numéricas pueden ser aritméticas, y se obtienen cuando a cada término se le agrega una constante.

Sucesiones numéricas Ejemplos

Series numéricas

Una serie es un tipo particular de sucesión, que denotaremos con S[n] construida a partir de otra sucesión que denotamos con a[n] del siguiente modo: S[n] es la suma de los términos de la sucesión a[n] desde k=1 hasta k=n.

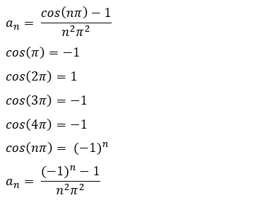
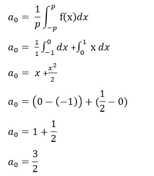
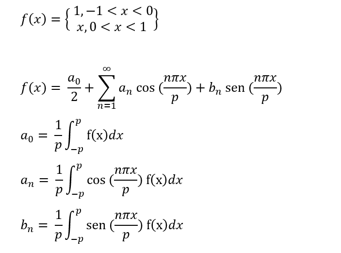
Serie de Fourier  Ejemplo

Serie de Fourier  Ejemplo

Serie de Fourier  Ejemplo

Serie de Fourier  Ejemplo

Gracias! 

Sucesiones y Series

By Häzël PG

Sucesiones y Series

  • 970