中国物理学会引力与相对论天体物理分会 · 2022 年学术年会

Exploring Gravitational-Wave Detection & Parameter Inference using Deep Learning

He Wang (王赫)

Institute of Theoretical Physics, CAS

Beijing Normal University

on behalf of the KAGRA collaboration

Collaborators:

  • Zhoujian Cao (BNU)
  • Yue Zhou (PCL)
  • Zong-Kuan Guo (ITP-CAS)
  • Zhixiang Ren (PCL)
  • Wenhong Ruan (ITP-CAS)
  • Chang Liu (UCAS)
  • Opportunity in Gravitational-Wave (GW) Data Analysis
  • Ground-based GW data analysis
  • Space-based GW data analysis
  • Summary

Content

Motivation

  • It's necessary to speed up...
  • It has the potential to discover more...

From: LIGO-G2102497

Binary detection rates

  • O3 ~ 1/5 days
  • O4 ~ 1/2 days
  • O5 ~ 3 / day

Simulated Event Stream for a one year duration O4 run

  • The current Matched filtering technique is computationally expansive.
  • More GW events are coming...

Gravitation wave data analysis with machine learning

Ground-based GW data analysis

with machine learning

  • We proposed a brand-new architecture, called matched-filtering convolutional neural network (MFCNN), as a GW trigger generator
  • Advantages combined:
    • Matched filtering (weak signal extraction) + AI (pattern recognition)
  • Earth-based GW detection
    • Recovering the three GW events in O1.
    • Recovering all GW events in O2, even including GW170817 event.
    • With 33 events (H1+L1) in O3a (39 events in total), it has 87.9% sensitivity detection rate, only 4 of them are misclassified.
    • Efficiency: ~ ms
  • Although it has an extraordinary sensitivity to GW detection, the FAR is embarrassing. (FAR: > 1/ day)
GW170817
GW190412
GW190814

Ref: He Wang, Shichao Wu, Zhoujian Cao, Xiaolin Liu, and Jian-Yang Zhu. Physical Review D 101, no. 10 (May 2020): 104003.

Ground-based GW data analysis

with machine learning

    Q: How can we build up detection statistics for AI-based algorithm?
    A: Try ensemble learning first!

  • An ensemble model is capable of processing 1-month of LIGO data from O2 identifying all coalescences of CBC with no false alarms.
  • False alarms could be reduced dramatically with the ensemble learning.
  • FAR: ~ 1 / (0.3 month)

Ref: CunLiang Ma, Wei Wang, He Wang, and Zhoujian Cao. Physical Review D 105, no. 8 (April 25, 2022): 083013.

Ground-based GW data analysis

with machine learning

Ref: He Wang, Zhoujian Cao, Yue Zhou, Zong-Kuan Guo, and Zhixiang Ren. Big Data Mining and Analytics 5, no. 1 (2022): 53–63.

A diagram of prior sampling between feature space and physical parameter space

  • “Prior Sampling”
    • Due to the curse of dimensionality, we are thinking how to effectively sample the feature space.

    • This is essentially equivalent to incorporating the physical domain knowledge into the high-dimensional training data.

    • In our case, we use the interim distribution (\(\alpha\)=1) that is derived from the Monte Carlo method using SMOTETomek technique as a representation of the prior physical knowledge.

    • It implies that roughly 10% of physical prior knowledge incorporated is enough for accurate Bayesian inference of the high-dimensional gravitational-wave data.

 

  • While existing machine learning based approaches [Gabbard et al. (2021), Green & Gair (2020), Dax et al. (2021)] for earth-based have focused more on parameter estimation, they are so fast that they can be used as low latency searches.

  • Trends:
    \(\rightarrow\) Proof-of-principle studies: ~ simulated
    \(\rightarrow\) Production search studies: ~ real LIGO recordings
    \(\rightarrow\) Applications for beyond: lensed [Kim et al. (2022)], mass-asymmetric...

~8s for 50,000 posterior samples

Ground-based GW data analysis

with machine learning

Ref: He Wang, Zhoujian Cao, Yue Zhou, Zong-Kuan Guo, and Zhixiang Ren. Big Data Mining and Analytics 5, no. 1 (2022): 53–63.

A diagram of prior sampling between feature space and physical parameter space

  • “Prior Sampling”
    • Due to the curse of dimensionality, we are thinking how to effectively sample the feature space.

    • This is essentially equivalent to incorporating the physical domain knowledge into the high-dimensional training data.

    • In our case, we use the interim distribution (\(\alpha\)=1) that is derived from the Monte Carlo method using SMOTETomek technique as a representation of the prior physical knowledge.

    • It implies that roughly 10% of physical prior knowledge incorporated is enough for accurate Bayesian inference of the high-dimensional gravitational-wave data.

 

  • While existing machine learning based approaches [Gabbard et al. (2021), Green & Gair (2020), Dax et al. (2021)] for earth-based have focused more on parameter estimation, they are so fast that they can be used as low latency searches.

  • Trends:
    \(\rightarrow\) Proof-of-principle studies: ~ simulated
    \(\rightarrow\) Production search studies: ~ real LIGO recordings
    \(\rightarrow\) Applications for beyond: lensed [Kim et al. (2022)], mass-asymmetric...

~8s for 50,000 posterior samples

with machine learning

Space-based GW data analysis

  • More exotic or long lived sources, instrument noise, gaps and disturbances in the data:
    • Massive Black Hole Binaries (MBHBs) —— 10 to 100 sources / year
    • Galactic Binaries
    • Extreme Mass Ratio Inspirals
    • Stellar Origin Black Hole Binaries
  • In the case of LISA data, the total number of parameters of resolvable sources will be of the order 100,000 that is much higher than the order of 10 in the case of ground based data.

Credit: LISA Data Challenge (LDC) - Sangria

Credit: ESA, K. Holley-Bockelmann

with machine learning

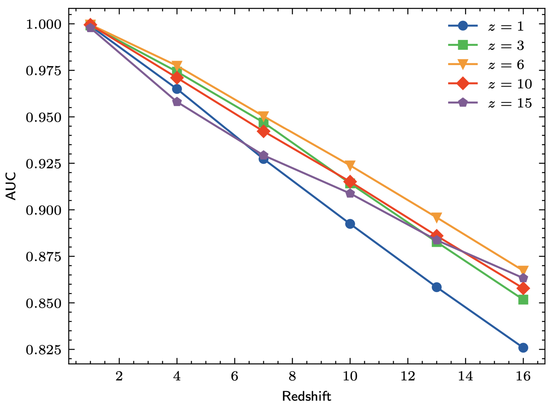
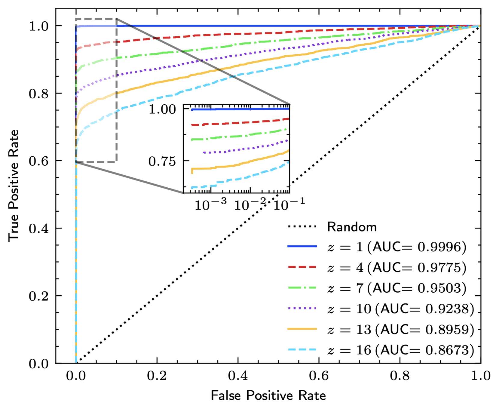
Space-based GW data analysis

  • To overcome the problem, our work pointed out a solution by quickly determining the merger location and the number of resolvable signals as a priori known for the global space-based data analysis.
  • Massive Black Hole Binaries (MBHBs) search
    • MBHB mergers are expected to occur in gas rich environments that can result in the production of electromagnetic counterpart signals
    • Low latency detection of MBHB signals is crucial for finding electromagnetic counterparts. [Cornish 2022]

Credit: LISA Data Challenge (LDC) - Sangria

  • Data curation (sampling rate: 15 Hz)
    • redshifted total mass: \(10^{5.4}M_\odot \leq M_z \leq 10^8M_\odot\)
    • mass ratio: \(1\leq q\leq15\)
    • redshift: \(1\leq z\leq15\)
    • waveform family: IMRPhenomD
    • coalescence time: \(3d\leq t_c\leq365.25d\)
    • dimensionless spins: \(-0.9 \leq\left(s_{1 z}, s_{2 z}\right) \leq 0.9\)
  • Gaussian and stationary background:
    • Gaussian instrumental noise
    • foreground noise of Galactic binaries using the PSD estimated from LDC noiseless data
  • We choose the uncorrelated TDI observables A and E as two channels of the data passed through our neural network.
  • Training data use TDI-1.0 codes provided in LDC-1.

with machine learning

Space-based GW data analysis

  • Massive Black Hole Binaries (MBHBs) search
    • Robust search sensitivity to numerous GW sources and modulation of MBHBs waveform family.
    • Our model is capable of processing 1-year of LDC data in several seconds only, while identifying all coalescences of MBHBs with no false alarms.
    • The generalization ability of the supervised learning approach can be extended to various TDI configurations and can also be greatly useful for future space-based GW detectors.

Ref: Wen-Hong Ruan*, He Wang*, Chang Liu, and Zong-Kuan Guo. ArXiv Preprint ArXiv:2111.14546, November 2021.

Summary

  • Ground-based GW data analysis
    • While existing machine learning based approaches [Gabbard et al. (2021), Green & Gair (2020), Dax et al. (2021)] have focused more on parameter estimation, they are so fast that they can be used as low latency searches.

    • Trends:
      \(\rightarrow\) Proof-of-principle studies: ~ simulated
      \(\rightarrow\) Production search studies: ~ real LIGO recordings
      \(\rightarrow\) Applications for beyond: lensed [Kim et al. (2022)], mass-asymmetric...

      • To achieve the goal of an objective characterization of machine learning GW search capabilities, a common ground for comparison is required. [MLGWSC-1]

  • Space-based GW data analysis
    • The straightforward application of existing template-based methods is unlikely to meet the science requirements of the ongoing LISA/Taiji/Tianqin mission.
    • To alleviate the problem, we propose a supervised learning method as a first effort for LISA data analysis capable of rapidly searching for and counting gravitational wave signals.
    • Our approach could be used as a first step to identify gravitational waves before a global fit analysis.

Summary

  • Ground-based GW data analysis
    • While existing machine learning based approaches [Gabbard et al. (2021), Green & Gair (2020), Dax et al. (2021)] have focused more on parameter estimation, they are so fast that they can be used as low latency searches.

    • Trends:
      \(\rightarrow\) Proof-of-principle studies: ~ simulated
      \(\rightarrow\) Production search studies: ~ real LIGO recordings
      \(\rightarrow\) Applications for beyond: lensed [Kim et al. (2022)], mass-asymmetric...

      • To achieve the goal of an objective characterization of machine learning GW search capabilities, a common ground for comparison is required. [MLGWSC-1]

  • Space-based GW data analysis
    • The straightforward application of existing template-based methods is unlikely to meet the science requirements of the ongoing LISA/Taiji/Tianqin mission.
    • To alleviate the problem, we propose a supervised learning method as a first effort for LISA data analysis capable of rapidly searching for and counting gravitational wave signals.
    • Our approach could be used as a first step to identify gravitational waves before a global fit analysis.
for _ in range(num_of_audiences):
    print('Thank you for your attention! 🙏')

Exploring Gravitational-Wave Detection & Parameter Inference using Deep Learning

By He Wang

Exploring Gravitational-Wave Detection & Parameter Inference using Deep Learning

中国物理学会引力与相对论天体物理分会 · 2022 年学术年会 (Domestic Session)

  • 1,543