GW Data Analysis

& Deep Learning:
Advanced

2023 Summer School on GW @TianQin

He Wang (王赫)

2023/08/22

ICTP-AP, UCAS

Deep Generative Model

GAN

Transformer

Flow

# GWDA: GAN

Generative Adversarial Networks

  • McGinn, J, C Messenger, M J Williams, and I S Heng. “Generalised Gravitational Wave Burst Generation with Generative Adversarial Networks.” Classical and Quantum Gravity 38, no. 15 (June 30, 2021): 155005. 

  • Lopez, Melissa, Vincent Boudart, Kerwin Buijsman, Amit Reza, and Sarah Caudill. “Simulating Transient Noise Bursts in LIGO with Generative Adversarial Networks.” arXiv:2203.06494, March 12, 2022.

  • Lopez, Melissa, Vincent Boudart, Stefano Schmidt, and Sarah Caudill. “Simulating Transient Noise Bursts in LIGO with Gengli.” arXiv:2205.09204, May 18, 2022.

  • Yan, Jianqi, Alex P Leung, and C Y Hui. “On Improving the Performance of Glitch Classification for Gravitational Wave Detection by Using Generative Adversarial Networks.” Monthly Notices of the Royal Astronomical Society, July 27, 2022, stac1996.

  • Dooney, Tom, Stefano Bromuri, and Lyana Curier. “DVGAN: Stabilize Wasserstein GAN Training for Time-Domain Gravitational Wave Physics.” arXiv:2209.13592, September 29, 2022.

  • Powell, Jade, Ling Sun, Katinka Gereb, Paul D Lasky, and Markus Dollmann. “Generating Transient Noise Artefacts in Gravitational-Wave Detector Data with Generative Adversarial Networks.” Classical and Quantum Gravity 40, no. 3 (January 13, 2023): 035006.

  • Jadhav, Shreejit, Mihir Shrivastava, and Sanjit Mitra. “Towards a Robust and Reliable Deep Learning Approach for Detection of Compact Binary Mergers in Gravitational Wave Data.” arXiv:2306.11797, June 20, 2023.

生成对抗网络

# GWDA: GAN

Generative Adversarial Networks

生成对抗网络

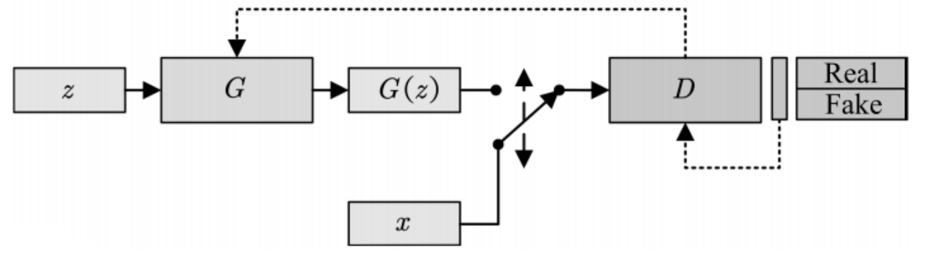
  • 作者 Ian Goodfellow 于2014年NIPS顶会首次提出了GAN的概念

\min _G \max _D V(G, D)=E_{x \sim p_{\text {data }}}[\log D(x)]+E_{z \sim p_z}[\log (1-D(G(z)))]
  • 模型

  • 目标函数

# GWDA: GAN

Generative Adversarial Networks

生成对抗网络

图像着色

图像超像素

人脸生成

卡通图像生成

# GWDA: GAN

Generative Adversarial Networks

生成对抗网络

  • 生成模型

# GWDA: GAN

Generative Adversarial Networks

生成对抗网络

  • 生成模型

# GWDA: GAN

Generative Adversarial Networks

生成对抗网络

  • 生成模型

# GWDA: GAN

Generative Adversarial Networks

生成对抗网络

  • GAN 训练逻辑

# GWDA: GAN

Generative Adversarial Networks

生成对抗网络

  • GAN 训练逻辑:Step 1

# GWDA: GAN

Generative Adversarial Networks

生成对抗网络

  • GAN 训练逻辑:Step 2

# GWDA: GAN

Generative Adversarial Networks

生成对抗网络

  • GAN 训练逻辑:Iteration

# GWDA: GAN

Generative Adversarial Networks

生成对抗网络

  • conditional GAN(CGAN)

# GWDA: GAN

Generative Adversarial Networks

生成对抗网络

  • conditional GAN(CGAN)

# GWDA: GAN

Generative Adversarial Networks

生成对抗网络

  • conditional GAN(CGAN)

# GWDA: GAN

Generative Adversarial Networks

生成对抗网络

  • 生成式对抗网络(GAN)

# GWDA: GAN

Generative Adversarial Networks

生成对抗网络

  • 生成器

# GWDA: GAN

Generative Adversarial Networks

生成对抗网络

  • 判别器

# GWDA: GAN

Generative Adversarial Networks

生成对抗网络

  • GAN

# GWDA: GAN

Generative Adversarial Networks

生成对抗网络

  • 对抗训练

# GWDA: Flow

Flow Model

  • Green, Stephen Roland, and Jonathan Gair. “Complete Parameter Inference for GW150914 Using Deep Learning.” Machine Learning: Science and Technology 2, no. 3 (June 16, 2021): 03LT01.

  • Dax, Maximilian, Stephen R. Green, Jonathan Gair, Jakob H. Macke, Alessandra Buonanno, and Bernhard Schölkopf. “Real-Time Gravitational Wave Science with Neural Posterior Estimation.” Physical Review Letters 127, no. 24 (December 2021): 241103.

  • Shen, Hongyu, E A Huerta, Eamonn O’Shea, Prayush Kumar, and Zhizhen Zhao. “Statistically-Informed Deep Learning for Gravitational Wave Parameter Estimation.” Machine Learning: Science and Technology 3, no. 1 (November 30, 2021): 015007.

  • Khan, Asad, E.A. Huerta, and Prayush Kumar. “AI and Extreme Scale Computing to Learn and Infer the Physics of Higher Order Gravitational Wave Modes of Quasi-Circular, Spinning, Non-Precessing Black Hole Mergers.” Physics Letters B 835 (December 10, 2022): 137505.

  • Williams, Michael J., John Veitch, and Chris Messenger. “Nested Sampling with Normalizing Flows for Gravitational-Wave Inference.” Physical Review D 103, no. 10 (May 2021): 103006. 

  • Cheung, Damon H. T., Kaze W. K. Wong, Otto A. Hannuksela, Tjonnie G. F. Li, and Shirley Ho. “Testing the Robustness of Simulation-Based Gravitational-Wave Population Inference.” ArXiv Preprint ArXiv:2112.06707, December 2021.

  • Karamanis, Minas, Florian Beutler, John A. Peacock, David Nabergoj, and Uros Seljak. “Accelerating Astronomical and Cosmological Inference with Preconditioned Monte Carlo.” arXiv:2207.05652, July 12, 2022.

  • Chatterjee, Chayan, and Linqing Wen. “Pre-Merger Sky Localization of Gravitational Waves from Binary Neutron Star Mergers Using Deep Learning.” arXiv:2301.03558, December 30, 2022.

  • Langendorff, Jurriaan, Alex Kolmus, Justin Janquart, and Chris Van Den Broeck. “Normalizing Flows as an Avenue to Studying Overlapping Gravitational Wave Signals.” Physical Review Letters 130, no. 17 (April 2023): 171402.

  • ...

流模型

\begin{aligned} & \because \int_z P_z(z) d z=1=\int_x P_x(x) d x \\ & \therefore\left|P_z(z) \cdot d z\right|=\left|P_x(x) d x\right| \\ & \because P_x(x)=\left|\frac{d z}{d x}\right| \cdot P_z(z) \\ & \because x=f(z), f \text { is invertible. } \\ & \therefore z=f^{-1}(x) \\ & \therefore P_x(x)=\left|\frac{\partial f^{-1}(x)}{\partial x}\right| \cdot P_z(z) \end{aligned}

Assuming: \(x=f(z), z, x \in \mathbb{R}^p\), \(z \sim P_z(z), x \sim P_x(x)\).

\(f\) is continuous, invertible.

p_{\mathrm{y}}(\mathbf{y})
p_{\mathrm{z}}(\mathbf{z})
\mathbf{z}
\mathbf{y}
T
T^{-1}

base density

target density

Flow Model

流模型

# GWDA: Flow
p_{\mathrm{y}}(\mathbf{y})=p_{\mathrm{z}}\left(T^{-1}(\mathbf{y})\right)\left|\operatorname{det} J_{T^{-1}}(\mathbf{y})\right|

The main idea of flow-based modeling is to express \(\mathbf{y}\in\mathbb{R}^D\) as a transformation \(T\) of a real vector \(\mathbf{z}\in\mathbb{R}^D\) sampled from \(p_{\mathrm{z}}(\mathbf{z})\):

\mathbf{y}=T(\mathbf{z}) \quad \text { where } \quad \mathbf{z} \sim p_{\mathrm{y}}(\mathbf{z})

Note: The invertible and differentiable transformation \(T\) and the base distribution \(p_{\mathrm{z}}(\mathbf{z})\) can have parameters \(\{\boldsymbol{\phi}, \boldsymbol{\psi}\}\) of their own, i.e. \(T_\boldsymbol{\phi} \) and \(p_{\mathrm{z},\boldsymbol{\psi}}(\mathbf{z})\).

Change of Variables:

p_{\mathrm{y}}(\mathbf{y})=p_{\mathrm{z}}(\mathbf{z})\left|\operatorname{det} J_{T}(\mathbf{z})\right|^{-1} \quad \text { where } \quad \mathbf{u}=T^{-1}(\mathbf{x}) .
J_{T}(\mathbf{z})=\left[\begin{array}{ccc} \frac{\partial T_{1}}{\partial \mathrm{z}_{1}} & \cdots & \frac{\partial T_{1}}{\partial \mathrm{z}_{D}} \\ \vdots & \ddots & \vdots \\ \frac{\partial T_{D}}{\partial \mathrm{z}_{1}} & \cdots & \frac{\partial T_{D}}{\partial \mathrm{z}_{D}} \end{array}\right]

Equivalently,

The Jacobia \(J_{T}(\mathbf{u})\) is the \(D \times D\) matrix of all partial derivatives of \(T\) given by:

Flow Model

流模型

(Based on 1912.02762

# GWDA: Flow

Flow Model

流模型

(Based on 1912.02762

  • Data: target data \(\mathbf{y}\in\mathbb{R}^{15}\) with condition data \(\mathbf{x}\).
  • Task:
    • Fitting a flow-based model \(p_{\mathrm{y}}(\mathbf{y} ; \boldsymbol{\theta})\) to a target distribution \(p_{\mathrm{y}}^{*}(\mathbf{y})\)
    • by minimizing KL divergence with respect to the model’s parameters \(\boldsymbol{\theta}=\{\boldsymbol{\phi}, \boldsymbol{\psi}\}\),
    • where \(\boldsymbol{\phi}\) are the parameters of \(T\) and \(\boldsymbol{\psi}\) are the parameters of \(p_{\mathrm{z}}(\mathbf{z})=\mathcal{N}(0,\mathbb{I})\).
  • Loss function:




     
  • Assuming we have a set of samples \(\left\{\mathbf{y}_{n}\right\}_{n=1}^{N}\sim p_{\mathrm{y}}^{*}(\mathbf{y})\),



    Minimizing the above Monte Carlo approximation of the KL divergence is equivalent to fitting the flow-based model to the samples \(\left\{\mathbf{y}_{n}\right\}_{n=1}^{N}\) by maximum likelihood estimation.
\begin{aligned} \mathcal{L}(\boldsymbol{\theta}) &=D_{\mathrm{KL}}\left[p_{\mathrm{y}}^{*}(\mathbf{y}) \| p_{\mathrm{y}}(\mathbf{y} ; \boldsymbol{\theta})\right] \\ &=-\mathbb{E}_{p_{\mathbf{y}}^{*}(\mathbf{y})}\left[\log p_{\mathbf{y}}(\mathbf{y} ; \boldsymbol{\theta})\right]+\text { const. } \\ &=-\mathbb{E}_{p_{\mathbf{y}}^{*}(\mathbf{y})}\left[\log p_{\mathrm{z}}\left(T^{-1}(\mathbf{y} ; \boldsymbol{\phi}) ; \boldsymbol{\psi}\right)+\log \left|\operatorname{det} J_{T^{-1}}(\mathbf{y} ; \boldsymbol{\phi})\right|\right]+\mathrm{const} . \end{aligned}
\mathcal{L}(\boldsymbol{\theta}) \approx-\frac{1}{N} \sum_{n=1}^{N} \log p_{\mathrm{z}}\left(T^{-1}\left(\mathbf{y}_{n} ; \boldsymbol{\phi}\right) ; \boldsymbol{\psi}\right)+\log \left|\operatorname{det} J_{T^{-1}}\left(\mathbf{y}_{n} ; \boldsymbol{\phi}\right)\right|+\mathrm{const.}
\mathbb{E}_{p_{\mathbf{y}}^{*}(\mathbf{y})}\left[\log p_{\mathbf{y}}^{*}(\mathbf{y} ; \boldsymbol{\theta})\right]

Rational Quadratic Neural Spline Flows
(RQ-NSF)

# GWDA: Flow

Flow Model

流模型

Rational Quadratic Neural Spline Flows
(RQ-NSF)

# GWDA: Flow

Green, Stephen Roland, and Jonathan Gair. “Complete Parameter Inference for GW150914 Using Deep Learning.” Machine Learning: Science and Technology 2, no. 3 (June 16, 2021): 03LT01. 

p_{\mathrm{z}}(\mathbf{z})
T
T^{-1}

base density

target density

Flow Model

流模型

# GWDA: Flow
  • 進撃のnflow model in GW inference area.

    • 2002.07656: 5D toy model [1] (PRD)

    • 2008.03312: 15D binary black hole inference [1] (MLST)

    • 2106.12594: Amortized inference and group-equivariant neural posterior estimation [2] (PRL)

    • 2111.13139: Group-equivariant neural posterior estimation [2]

    • 2210.05686: Importance sampling [2]

    • 2211.08801: Noise forecasting [2]

 

  1. https://github.com/stephengreen/lfi-gw  (2020)

  2. https://github.com/dingo-gw/dingo   (2023.03)

Flow Model

流模型

# GWDA: Flow

Neural Posterior Estimation with guaranteed exact coverage: the ringdown of GW150914

Normalizing Flows as an Avenue to Studying Overlapping Gravitational Wave Signals

LIGO-P2300197

Rapid neutron star equation of state inference with Normalising Flows

# GWDA: Transformer

Transformer

  • Khan, Asad, E. A. Huerta, and Huihuo Zheng. “Interpretable AI Forecasting for Numerical Relativity Waveforms of Quasicircular, Spinning, Nonprecessing Binary Black Hole Mergers.” Physical Review D 105, no. 2 (January 2022): 024024. 

  • Jiang, Letian, and Yuan Luo. “Convolutional Transformer for Fast and Accurate Gravitational Wave Detection.” In 2022 26th International Conference on Pattern Recognition (ICPR), 46–53, 2022.

  • Ren, Zhixiang, He Wang, Yue Zhou, Zong-Kuan Guo, and Zhoujian Cao. “Intelligent Noise Suppression for Gravitational Wave Observational Data.” arXiv:2212.14283, December 29, 2022.

Transformer

# GWDA: Transformer

Transformer

Transformer

  • 背景

# GWDA: Transformer

Transformer

Vanilla Transformer: attention

注意力机制通过注意力池化 (包括 queries (volitional cues) 和 keys (nonvolitional cues) ) 对 values (sensory inputs) 进行 bias selection。

# GWDA: Transformer

Transformer

Vanilla Transformer: attention

为了简单起见,让我们考虑下面的回归问题: 给定一个输入输出对的数据集 \(\left\{\left(x_{1}, y_{1}\right), \ldots,\left(x_{n}, y_{n}\right)\right\}\),如何学习 \(f\) 对 任意的新输入 \(x\), 去预测输出 \(\hat{y}=f(x)\) ?

f(x)=\frac{1}{n} \sum_{i=1}^{n} y_{i}
y_{i}=2 \sin \left(x_{i}\right)+x_{i}^{0.8}+\epsilon
\begin{aligned} f(x) &=\sum_{i=1}^{n} \alpha\left(x, x_{i}\right) y_{i} \\ &=\sum_{i=1}^{n} \operatorname{softmax}\left(-\frac{1}{2}\left(x-x_{i}\right)^{2}\right) y_{i} \end{aligned}

Case 1: Average Pooling

Case 2: Nonparametric Attention Pooling

\begin{aligned} f(x) &=\sum_{i=1}^{n} \alpha_\omega\left(x, x_{i}\right) y_{i} \\ &=\sum_{i=1}^{n} \operatorname{softmax}\left(-\frac{1}{2}\left(x-x_{i}\right)^{2}\omega^2\right) y_{i} \end{aligned}

Case 3: Parametric Attention Pooling

f(x)=\sum_{i=1}^n \alpha\left(x, x_i\right) y_i

注意力汇聚(attention pooling)公式

# GWDA: Transformer

Transformer

Vanilla Transformer: attention

用 \(\alpha\) 表示 attention scoring function,说明了如何将注意力池化的输出计算为各值的加权和。因为注意力的权重是一个概率分布,加权和本质上是一个加权平均。

  • 数学上,假设我们有 query \(q \in \mathbb{R}^{q}\) 以及 \(m\) key-value 对 \(\left(k_{1}, v_{1}\right), \ldots,\left(k_{m}, v_{m}\right)\), 对所有的 \(k_{i} \in \mathbb{R}^{k}\) 和 \(v_{i} \in \mathbb{R}^{v}\)。 注意力池化 \(f\) 实例化为 values 的加权和:

 

 

其中, query \(q\) 和 key \(k_{i}\) 的注意力权重(标量)是通过 注意力评分函数 \(a\) 的softmax操作计算的, 该函数将两个向量映射为一个标量:


 

 

  • Scaled Dot-Product Attention

queries \(Q \in \mathbb{R}^{n \times d}\), keys \(K \in \mathbb{R}^{m \times d}\) 和 values \(V \in \mathbb{R}^{m \times v}\) :

f\left(q,\left(k_{1}, v_{1}\right), \ldots,\left(k_{m}, v_{m}\right)\right)=\sum_{i=1}^{m} \alpha\left(q, k_{i}\right) v_{i} \in \mathbb{R}^{v}
\alpha\left(q, k_{i}\right)=\operatorname{softmax}\left(a\left(q, k_{i}\right)\right)=\frac{\exp \left(a\left(q, k_{i}\right)\right)}{\sum_{j=1}^{m} \exp \left(a\left(q, k_{j}\right)\right)} \in \mathbb{R}
a(Q, K)=\operatorname{softmax}\left(\frac{Q K^{T}}{\sqrt{d}}\right) \in \mathbb{R}^{n \times m}
f\left(Q, K, V\right)= a(Q, K) V \in \mathbb{R}^{n \times v}
Q/K/V ~ 
[batch_size, 
 len_tokens, 
 dim_features]

[5, 15, 10]

[5, 15, 13]

[5, 15, 11]

[5, 13, 10]

[5, 13, 11]

# GWDA: Transformer

Transformer

Vanilla Transformer: attention

Multi-Head Attention

Transformer 并没有简单地应用单个注意力函数,而是使用了多头注意力。通过单独计算每一个注意力头,最终再将多个注意力头的结果拼接起来作为 multi head attenttion 模块最终的输出,具体公式如下所示:

 

 

 

 

 

Multi-head attention combines knowledge of the same attention pooling via different representation subspaces of queries, keys, and values.

 

[batch_size * num_heads,
len_tokens,
dim_features / num_heads]
Q,K,V ~ [batch_size, len_tokens, dim_features]
[batch_size, len_tokens, dim_features]
\begin{aligned} \text { MultiHeadAttn }(Q, K, V) &=\text { Concat }\left(\text { head }_{1}, \cdots, \text { head }_{H}\right) \mathbf{W}^{O} \\ \text { where head }_{i} &=\text { Attention }\left(Q W_{i}^{Q}, K W_{i}^{K}, V W_{i}^{V}\right) \end{aligned}

Self-Attention

在 Transformer 的编码器中,我们设置 \(Q=K=V\)。

 

 

\text { Attention }(\mathrm{Q}, \mathrm{K}, \mathrm{V})=\operatorname{softmax}\left(\frac{\mathrm{QK}^{\top}}{\sqrt{D_{k}}}\right) \mathrm{V}=\mathrm{AV}

[2, 5, 5]

[1, 5, 10]

# GWDA: Transformer

Transformer

Vanilla Transformer: Embedding & Encoding

Positional Encoding

[batch_size, len_tokens]
[batch_size, 
 len_tokens, 
 dim_features]
[batch_size, 
 len_tokens, 
 dim_features]

Embedding

# GWDA: Transformer

Transformer

Vanilla Transformer: Modularity

Feed-Forward + Add & Norm

[batch_size, 
 len_tokens, 
 dim_features]
[batch_size, 
 len_tokens, 
 dim_features]
[batch_size, 
 len_tokens, 
 dim_features]

K

V

Q

# GWDA: Transformer

Transformer

Vanilla Transformer: train for translation task

Train Stage

[batch_size, 
 len_tokens1, 
 dim_features1]
[batch_size, len_tokens1]
[batch_size, len_tokens2]
[batch_size, 
 len_tokens2, 
 vocal_size]

K

V

Q

[batch_size, 
 len_tokens1, 
 dim_features1]
[batch_size, 
 len_tokens2,
 dim_features2]
# GWDA: Transformer

Transformer

Vanilla Transformer: test for translation task

Test Stage

[1, 
 len_tokens1, 
 dim_features1]
[1, len_tokens1]
[1, 
 1, 
 vocal_size]

K

V

Q

[1, 
 len_tokens1, 
 dim_features1]
[1, 
 len_tokens2,
 dim_features2]
[1, 1]、[1, 2]、...

Insights

  • AI serves as a valuable tool in gravitational wave astronomy:
    (Big data & Computational Complexity)
    • Enhancing data analysis,
    • Noise reduction, and
    • Parameter estimation.
    • It streamlines the research process and allows scientists to focus on the most relevant information.
  • Beyond a Tool: AI transcends its role as a mere tool by enabling scientific discovery in GW astronomy.
    • Characterization of GW signals involves
      • Exploring beyond the scope of GR ,
      • Enabling real-time inference
    • Test of GR
      • Tighter parameter constraints of variance
      • Guaranteed exact coverage
    • "Curse of Dimensionality" in inference
      • Overlapping signal
      • Hierarchical Bayesian Analysis
    • ...
GW170817
GW190412
GW190814

PRD 101, 10 (2020) 104003.

# GWDA: Insights
  • AI serves as a valuable tool in gravitational wave astronomy:
    (Big data & Computational Complexity)
    • Enhancing data analysis,
    • Noise reduction, and
    • Parameter estimation.
    • It streamlines the research process and allows scientists to focus on the most relevant information.
  • Beyond a Tool: AI transcends its role as a mere tool by enabling scientific discovery in GW astronomy.
    • Characterization of GW signals involves
      • Exploring beyond the scope of GR ,
      • Enabling real-time inference
    • Test of GR
      • Tighter parameter constraints of variance
      • Guaranteed exact coverage
    • "Curse of Dimensionality" in inference
      • Overlapping signal
      • Hierarchical Bayesian Analysis
    • ...

arXiv:2305.18528

ICML2023

Insights

# GWDA: Insights
  • AI serves as a valuable tool in gravitational wave astronomy:
    (Big data & Computational Complexity)
    • Enhancing data analysis,
    • Noise reduction, and
    • Parameter estimation.
    • It streamlines the research process and allows scientists to focus on the most relevant information.
  • Beyond a Tool: AI transcends its role as a mere tool by enabling scientific discovery in GW astronomy.
    • Characterization of GW signals involves
      • Exploring beyond the scope of GR ,
      • Enabling real-time inference
    • Test of GR
      • Tighter parameter constraints of variance
      • Guaranteed exact coverage
    • "Curse of Dimensionality" in inference
      • Overlapping signal
      • Hierarchical Bayesian Analysis
      • ...
    • ...

Combining inferences from multiple sources

Insights

# GWDA: Insights

AI for Science: GW Astronomy

# GWDA: AI4Sci
  • Exploring the importance of understanding how AI models make predictions in scientific research.
    • The critical role of generative models (生成模型是关键)
    • Quantifying uncertainty: a key aspect (不确定性量化问题)
    • Fostering controllable and reliable models (模型的可控可信问题)

Bayes

AI

Credit: 李宏毅

Text-to-image

AI for Science: GW Astronomy

# GWDA: AI4Sci
  • Exploring the importance of understanding how AI models make predictions in scientific research.
    • The critical role of generative models (生成模型是关键)
    • Quantifying uncertainty: a key aspect (不确定性量化问题)
    • Fostering controllable and reliable models (模型的可控可信问题)

Bayes

AI

Credit: 李宏毅

Text-to-image

# GWDA: ML

GWDA:

Machine Learning

引力波数据分析与机器学习

@TianQin GWML Tutorial 3

By He Wang

@TianQin GWML Tutorial 3

He Wang. (2023). Can you find the GW signals?. Kaggle. https://kaggle.com/competitions/can-you-find-the-gw-signalshttps://kaggle.com/competitions/can-you-find-the-gw-signals (引力波暑期学校 Summer School on Gravitational Waves) [Repo: https://github.com/iphysresearch/2023gwml4tianqinhttps://github.com/iphysresearch/2023gwml4tianqin

  • 1,018