Sceptre
www.Sceptre.com
Marketing Analysis & Proposal
Needs:
-
Find Brand Identity
-
Have a Consistent "Voice" / Content
-
-
Boost Online Presence Through:
- Traffic to Website
- Social Media
- Reviews & Ratings
Suggestions
-
Search Engine Optimization (SEO)
-
Online Reputation Marketing
-
Video Marketing
Website Optimization
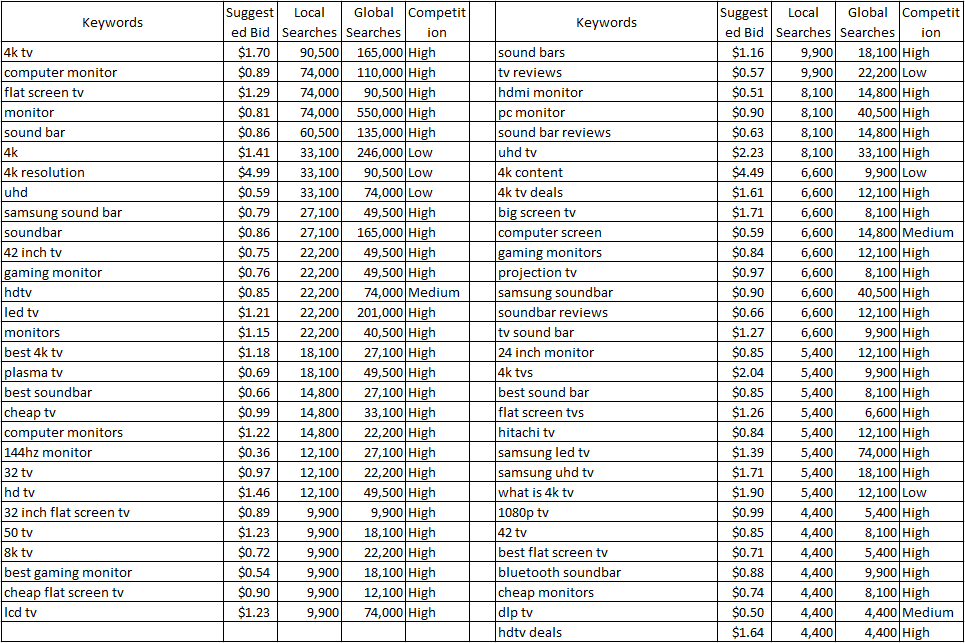
Initial Keyword Analysis:

Website Optimization
Initial Keyword Analysis:

Website Optimization
Initial Keyword Analysis:

Website Optimization
Initial Keyword Analysis:

What R&S Will Do For You!
SEO!
Website On-Page Optimization
- Make sure the website is optimized properly
- In-Depth Keyword and Competition Analysis
- All Pages' Titles, Meta Descriptions, Keywords, Headers & URLs Optimized
- Silo pages for Keyword verticals
- Manually Claim and Submit Your Business Directory Listing to Relevant AND Aggregate Directories
- Check All Directories and Remove Duplicate or Erroneous Listings
SEO (Cont.)
Off-Page Optimization (Back End):
- Utilize Safe (White Hat) & Advanced SEO Ranking Methods
- Social Media Profiles Setup, Social Media Signals + High Authority Web 2.0 links
- Back Links from High Authority Sites
- Track Rankings, Links through Google Analytics & Webmaster Tools
Reputation Marketing:
- Automated Monitoring of Top Review Sites
- Automated Feedback Loop System to Get Reviews
- Ability to Route Positive and Negative Feedbacks
- Share Positive Reviews on Your Social Sites
- Automatic Upload of Positive Reviews to Your Own Website
- Extra Micro-Site page Optimized for SEO Rankings
- Live Dashboard for Your Review
Video Marketing:
- Research For Best Keywords to Rank Your Video(s) Both On YouTube and Google
- Create an Optimized YouTube Account (If You Don't Have One)
- Optimize Your Video(s) with Proper Title Tags, Agreed Upon Keywords, Descriptions, etc...
- Upload Your Video on YouTube so That It Ranks Fast!
- Optimize the Video and Channel with SEO to Get High Ranking For It
- Give a Checklist of What to Do To Help Rank it Even Faster!
Custom Proposal:
Month to Month
-
SEO + Online Reputation: $6,997.00 / Month
-
Video Marketing: $497.00 / Video (Better Rates for Multiple Videos)
-
Marketing Consulting Included
-
Email Marketing Campaigns Available Upon Request
Custom Proposal
6 Month Agreement
-
SEO + Online Reputation: $6,497.00 / Month
-
Marketing Consulting Included
Custom Proposal
12 Month Agreement
-
SEO + Online Reputation: $5,997.00 / Month
-
Marketing Consulting Included
-
Month-to-Month Agreement (Semi-Annual or Annual Contract for better pricing!)
-
No Hidden Fees
-
Long Term SEO rankings & Branding in Mind With All Services Provided
-
Expertise and Cutting Edge Strategies, No Old/Stale Strategies that worked in 2011.
-
Reliable and Friendly Customer Service - 1 Person to Deal with All of Your Challenges/Questions.
-
Relationships & Connections That Can Help Your Business Grow Faster!
Why Choose R&S?
Sceptre
By Bob Saadai
Sceptre
Proposal
- 903