Rigid Motions on Discrete Spaces
by Kacper Pluta




Show me a Rigid Motion
Solar System Animation: https://youtu.be/gvSUPFZp7Yo
Rigid Motions on
Properties
- Do preserve distances
- Bijective
- a unit modulus complex number
- a complex number
- a rotation angle
Rigid Motions on
- a rotation matrix
- a translation vector
Properties
- 
	Isometry 
- 
	Bijective 
Show me a Discrete Object

Show me a Digitized Rigid Motion

Properties
- Non-injective
- Non-surjective
- Do not preserve distances
Digitized Rigid Motions
where
is a digitization operator
Properties
- Non-injective
- Non-surjective
- Do not preserve distances
Digitized Rigid Motions
where
is a digitization operator
Agenda
Part I: 2D Discrete Spaces
- Introduction to 2D Regular Grids
- Neighborhood Motion Maps
- Digitized Rigid Motions on Square vs. Hexagonal Grids
- Bijective Digitized Rotations on Square Grid
Part II: 3D Digital Space
- Introduction to Cubic Grid
- Quick Introduction to 3D Rigid Motions
- Spatial Rotations and Quaternions
- Bijectivity of 3D Digitized Rotations
Conclusion & Perspectives
Part I:
2D Discrete Spaces
Contributions in Short
- A general framework to study digitized rigid motions
- Comparison of the digitized rigid motions defined on the square and hexagonal grids
- 
Characterization of bijective digitized: 
	- rigid motions on the square grid
- rotations on the hexagonal grid
 
- Three algorithms to characterize if a digitized rigid motion is bijective when restricted to a finite set
I Am Going to Talk About
- A general framework to study digitized rigid motions
- Comparison of the digitized rigid motions defined on the square and hexagonal lattices
- Characterization of bijective digitized rigid motions on the square grid
Introduction to 2D Regular Grids




The Lattices
The grids are then denoted by
Eisenstein:
and Gaussian:
integers
Properties
| Property | Gaussian integers | Eisenstein integers | 
|---|---|---|
| conjugate | ||
| squared modulus | ||
| units | 
| divisibility | 
| greatest common divisor |  | 
Square grid
+ Memory addressing
+ Sampling is easy to define
Hexagonal grid
+ Uniform connectivity
+ Equidistant neighbors
+ Sampling is optimal
- Sampling is not optimal (ask bees)
- Neighbors are not equidistant
- Connectivity paradox
- Memory addressing is not trivial
- Sampling is difficult to define
Pros and Cons
Square grid
+ Memory addressing
+ Sampling is easy to define
Hexagonal grid
+ Uniform connectivity
+ Equidistant neighbors
+ Sampling is optimal
~ Memory addressing is not trivial
~ Sampling is difficult to define
Pros and Cons
- Sampling is not optimal (ask bees)
- Neighbors are not equidistant
~ Connectivity paradox
Digitization Model
A digitization cell of
denoted by
Digitization Model
The digitization operator is defined as
such that
and
From Continuous to Discrete
Neighborhood Motion Maps




Bijective Digitized Rotations on Hexagonal Lattice

Conditions for Bijectivity
Conditions for Bijectivity
A digitized rotation is bijective if and only if
such that
- a continuous rotation
- a digitization cell centered at
- the hexagonal lattice
Conditions for Bijectivity
"Double" Surjectivity Condition for Bijectivity
- a complex number
- a rotated digitization cell
Set of Remainders
The "double" surjectivity condition is then
provided that
Set of Remainders
The "double" surjectivity condition is then
provided that
Factorization of Primitive Eisenstein Integers
and
not being divisible by 3.
and
such that
Factorization of Primitive Eisenstein Integers
A bunch of facts
Set of Remainders
The "double" surjectivity condition is then
provided that
Proving Bijectivity
Proving Bijectivity
Step 1: For which s and t,
or
are in the green but not in
the black hexagonal cell.
Proving Bijectivity
Proving Bijectivity
From the equation of the green line we obtain:
Proving Bijectivity
From the equation of the green line we obtain:
Then, we substitute t with s + e to arrive at
which are violated when s = 1 or when s > 1 and e = 1.
Proving Bijectivity
There are few more things to check in this step. See the manuscript (Lemma 5.3)/article (Lemma 7).
Proving Bijectivity
Step 2: Check if for s = 1 or s > 1 and e = 1, the uncommon space of the hexagonal cells does not contain Eisenstein integers.
Proving Bijectivity
The Square Grid
The Hexagonal Grid
Neighborhood
The neighborhood of
(of squared radius
):
Neighborhood Motion Maps
and
The neighborhood motion map of
for a given rigid motion
Neighborhood Motion Maps
and
The neighborhood motion map of
for a given rigid motion
Neighborhood Motion Maps
The neighborhood motion map of
for a given rigid motion
and
Remainder Map Step-by-Step
Remainder Map step-by-step
Remainder Map Step-by-Step
Remainder Map Step-by-Step
Remainder Map Step-by-Step
Without loss of generality,
is the origin, and then
Remainder Map Step-by-Step
Without loss of generality,
is the origin, and then
Remainder Map Step-by-Step
The remainder map defined as
where the range
is called the remainder range.
Remainder Map Step-by-Step
The remainder map defined as
where the range
is called the remainder range.
Remainder Map and Critical Rigid Motions
Remainder Map and Critical Rigid Motions
Such critical cases can be observed via the relative positions of ,
That is to say
and are formulated as the translations .
Remainder Map and Critical Rigid Motions
Critical Lines
Critical Lines
Critical Line Segments
Frames
Each region bounded by the critical line segments is called a frame.
Frames
Each region bounded by the critical line segments is called a frame.
Frames
Each region bounded by the critical line segments is called a frame.
Frames
For any
if and only if
and
the same frame.
Proposition
are in
Frames
For any
if and only if
and
the same frame.
Proposition
are in
Remainder Range Partitioning
At most 25 frames per partitioning.
Remainder Range Partitioning
At most 81 frames per partitioning.
Remainder Range Partitioning
At most 49 frames per partitioning.
Neighborhood Motion Maps Graph
Neighborhood Motion Maps Graph
Neighborhood Motion Maps Graph
Neighborhood Motion Maps Graph
Neighborhood Motion Maps Graph
Neighborhood Motion Maps Graph
Neighborhood Motion Maps Graph
Neighborhood Motion Maps Graph
Neighborhood Motion Maps Graph
Neighborhood Motion Maps Graph
Preservation of Information




Non-injective and Non-surjective Digitized Rigid Motions
Non-injective and Non-surjective Digitized Rigid Motions
Non-injective and Non-surjective Digitized Rigid Motions

Loss of Information
Pythagorean Rotations
If
and
are rational numbers, then the remainder map has
a finite number of images.
Pythagorean Rotations
There exists a one-to-one relation between primitive Pythagorean
Lemma
triples:
and rational
rotations.
Pythagorean Rotations
Such primitive Pythagorean triples can be generated from:
such that
and
being odd.
Finally,
and
Pythagorean Rotations
The number of images of the remainder map is equal to
Corollary
For what kinds of parameters has the remainder map a finite number of images?
Eisenstein Rational Rotations
Eisenstein Rational Rotations
If
and
where
and
Proposition
then the remainder map has a finite number
of images equal to
Eisenstein Rational Rotations
is a primitive Eisenstein triple which can be
such that
and
not being
divisible by 3. Finally,
and
Such
generated from:
Loss of Information
Bijective Digitized Rigid Motions on Square Grid

Which Digitized Rigid Motions are Bijective?
Question 1: Can non-rational rigid motions be bijective?
Question 1: Can non-rational rigid motions be bijective?
Question 2: Can a non-bijective rational rotation followed by a translation be bijective?
Globally Bijective Digitized Rigid Motions
Globally Bijective Digitized Rigid Motions

Question 3: What are the possible translations which can be applied with a bijective digitized rotation?
What are the possible translations which can follow a bijective digitized rotation?
What are the possible translations which can follow a bijective digitized rotation?
What are the possible translations which can follow a bijective digitized rotation?
A digitized rigid motion is bijective if and only if it is composed of a rotation by an angle defined by a twin Pythagorean triple (a, b, c) and a translation
where
Proposition
Bijective Digitized Rigid Motions of Finite Subsets of The Square Grid

Is a given digitized rigid motion bijective when restricted to a finite subset of
?
Bijective Digitized Rigid Motions Are Not Dense
Forward Algorithm
Forward Algorithm
Backward Algorithm - Step 1
Backward Algorithm - Step 1
Backward Algorithm - Step 2
Backward Algorithm - Step 2
Backward Algorithm - Step 3
Backward Algorithm - Step 3
Step 1
Step 2
Step 3
Forward
Depends on the size of the finite set
Backward
Depends on the square root of the finite set size and the parameters of the rational rotations
Backward vs. Forward Algorithm
Backward vs. Forward Algorithm
When the size of the finite set is relatively low and the number of elements in the non-injective zones is relatively high, the forward algorithm is usually a better choice than the backward algorithm and vice versa.
Finding Local Bijectivity Angle Interval
Finding Local Bijectivity Angle Interval
Finding Local Bijectivity Angle Interval
What are the intervals of the parameters around the initial ones such that the corresponding transformations remain bijective when restricted to the set?
Our strategy in short: Fix the translation and then find a rotation angles interval using the notion of "hinge angles".
Finding Local Bijectivity Angle Interval
Finding Local Bijectivity Angle Interval
Finding Local Bijectivity Angle Interval
Finding Local Bijectivity Angle Interval
Finding Local Bijectivity Angle Interval
Finding Local Bijectivity Angle Interval
Finding Local Bijectivity Angle Interval
Part II:
3D Discrete Spaces
Introduction to 3D Digital Geometry

The Cubic Grid
The cubic lattice is then:
Digitization Model
A digitization cell of
denoted by
Digitization Model
The digitization operator is defined as
such that
and
Quick Introduction to 3D Rigid Motions

Rigid Motions on
Properties
- 
	Do preserve distances 
- 
	Bijective 
- rotation matrix
- translation vector
Properties
- Non-injective
- Non-surjective
- Do not preserve distances
Digitized Rigid Motions
Contributions in Short
- An algorithm to characterize bijective digitized rotations
 
- An algorithm to compute all possible images of a finite digital set under digitized rigid motions
I am Going to Talk About
An algorithm to characterize bijective digitized rotations
Spatial Rotations and Quaternions

Spatial Rotations and Quaternions
with

Properties:
- Hamilton product is not commutative
 
- Any rotation can be written as
where
- We can derive a rotation matrix
where
The figure source: http://www.3dgep.com/understanding-quaternions/
Bijectivity of 3D Digitized Rotations

Bijectivity of 3D Digitized Rotations
Remainders

3D digitized rotation is then
bijective when
Remainders
Equivalently and more computationally friendly (we will see later)
such that


Group Spanned by Values of

Proposition
If all the generators of
have only rational terms, then there exist vectors
which are the
minimal generators of
Group Spanned by Values of

Lemma
If
is dense, then the
corresponding 3D digitized rotation is not bijective.
Group Spanned by Values of
Conjecture
If
has a dense factor,
the corresponding digitized rotation is not bijective.

Lipschitz Quaternions and Rational Rotations
Proposition
There is a two-to-one correspondence between the set of Lipschitz quaternions
such that the
and the set of rational rotations.
where
Bijectivity Characterization Algorithm

Turning into Integers
Since we have
where
and
is rational, we can
multiply by
and obtain an integer lattice.
Reducing the Left Factor
We are allowed to divide on the left by q while keeping integer valued functions.
Characterization Algorithm Step 1

To check if
belongs to values
of
first verify whether
Characterization Algorithm Step 2

Then we solve the following Diophantine system:
where
and
The complexity of reducing

The final complexity is
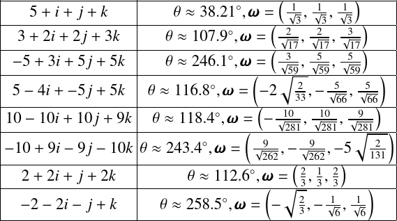
Some Experimental Results




Conclusion and Perspectives
- A general framework to study 2D digitized rigid motions
- Comparison of the digitized rigid motions defined on square and hexagonal lattices
- 
Characterization of bijective digitized: 
	- rigid motions on the square grid
- rotations on the hexagonal grid
- 3D rotations on the cubic grid
 
- Algorithms to characterize if a digitized rigid motion is bijective when restricted to a finite set
- An algorithm to compute, under 3D digitized rigid motions, all possible images of a finite digital set
Conclusion
Conclusion and Perspectives
- Analytical characterization of 3D bijective rigid motions
- Extension of the study to the triangular grid
- 
	Identification of minimal 3D sets that break 6-connectivity under digitized rigid motions 
Perspectives
Rigid Motions on Discrete Spaces
By Kacper Pluta
Rigid Motions on Discrete Spaces
Kacper Pluta's PhD defense presentation.
- 2,583
 
   
   
  