Towards measurement based quantum computation with multipods

Claire Benjamin1,2, Dániel Varjas3,4, Gábor Széchenyi5,6, Judit Romhányi1, László Oroszlány2,6
1Department of Physics and Astronomy, University of California, Irvine;
2Department of Physics of Complex Systems, Eötvös Loránd University;
3Department of Theoretical Physics, Institute of Physics, Budapest University of Technology and Economics;
4Institute for Theoretical Solid State Physics, IFW Dresden and Würzburg-Dresden Cluster of Excellence;
5Department of Materials Physics, Eötvös Loránd University;
6HUN-REN Wigner Research Centre for Physics






The Team




Dániel Varjas
BME & IFW
Gábor Széchenyi
ELTE & Wigner FK
Judit Romhányi
UC Irvine
Claire Benjamin
UC Irvine
Measurement based quantum computing



Raussendorf, Briegel Phys. Rev. Lett. 86, 5188 (2001)
Raussendorf
Looking for resource states
Wei, Affleck, Raussendorf Phys. Rev. Lett. 106, 070501 (2011)

Tzu-Chieh Wei
Ian Affleck




Looking for higher spins




Lieb Phys. Rev. Lett. 62, 1927 (1989)
Elliott Lieb
Stars are quite resilient!

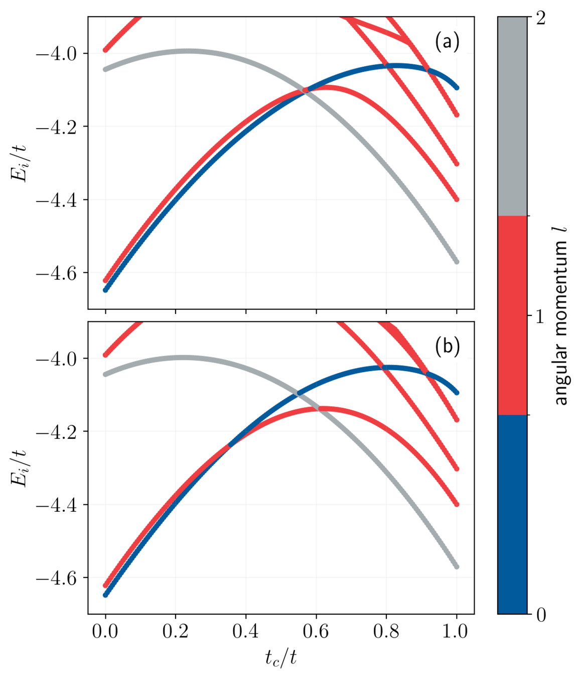
S=1 AKLT: How to couple two stars?

AFM
AFM
FM



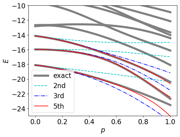
Effective model for spins from QDPT!
Day, et al. Phys. Codebases 50 (2025)
pymablock.readthedocs.io


S=1 AKLT: How to couple two stars, PT


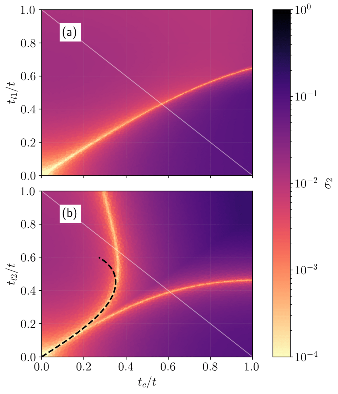
S=1 AKLT: How to couple many stars?
This is
promising!





We do not want:
\( \vec{S}_1\cdot\vec{S}_3 \Rightarrow \) long range
\( (\vec{S}_1\cdot\vec{S}_2) (\vec{S}_2\cdot\vec{S}_3) \) \(\Rightarrow\) multi spin
S=3/2 AKLT: How to couple two stars?


What about measurment?

Experimental realization

V. John et al. Nat. Commun. 16, 10560 (2025)
Thanks!



C. Benjamin, D. Varjas, G. Széchenyi, J. Romhányi, L. Oroszlány
AKLT Hamiltonian from Hubbard tripods
https://arxiv.org/abs/2603.06455





multipods
By László Oroszlány
multipods
- 112