Presentations
Templates
Features
Teams
Pricing
Log in
Sign up
Log in
Sign up
Menu
Public Health Announcement
03/11/2017
Research by: Dr. R. Hayashino, Dr. C. Viret,
Dr. L. ten Cate, Dr. F. Buckley, Dr. K. El Shammaa
"Health Crises Found Through Correlational Research"
Created with Highcharts 4.1.5
Nicholas Cage
Swimming pool drownings
Number of people who drowned by falling into a pool
correlates with
Films Nicolas Cage appeared in
Nicholas Cage
Swimming pool drownings
1999
2000
2001
2002
2003
2004
2005
2006
2007
2008
2009
1999
2000
2001
2002
2003
2004
2005
2006
2007
2008
2009
0 films
2 films
4 films
6 films
80 drownings
100 drownings
120 drownings
140 drownings
tylervigen.com
correlation = 66.6 %, r = 0.666
Nicolas Cage Must be Stopped
correlation = 94.7 %, r = 0.947
Cheese is Killing
Created with Highcharts 4.1.5
Bedsheet tanglings
Cheese consumed
Per capita cheese consumption
correlates with
Number of people who died by becoming tangled in their bedsheets
Bedsheet tanglings
Cheese consumed
2000
2001
2002
2003
2004
2005
2006
2007
2008
2009
2000
2001
2002
2003
2004
2005
2006
2007
2008
2009
200 deaths
400 deaths
600 deaths
800 deaths
28.5lbs
30lbs
31.5lbs
33lbs
tylervigen.com
correlation = 99.3 %, r = 0.993
Marriage & Margarine
Created with Highcharts 4.1.5
Margarine consumed
Divorce rate in Maine
Divorce rate in Maine
correlates with
Per capita consumption of margarine
Margarine consumed
Divorce rate in Maine
2000
2001
2002
2003
2004
2005
2006
2007
2008
2009
2000
2001
2002
2003
2004
2005
2006
2007
2008
2009
2lbs
4lbs
6lbs
8lbs
3.96 per 1,000
4.29 per 1,000
4.62 per 1,000
4.95 per 1,000
tylervigen.com
Correlation
≠
Causation
"There is no correlation without causation"
Its nature saying look over here!
Correlation
≠
Causation
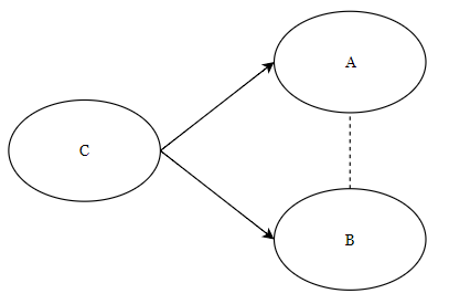
If correlation between A & B:
3. No connection between A & B, correlation is a coincidence
2. A & B caused by common variable C
1. A cause B | B causes A
Lies, damned lies, & statistics
Government
final presentation -- corr!=caus
By laurenstc
Made with Slides.com
final presentation -- corr!=caus
646
laurenstc
More from
laurenstc