When Active Matters:

The Wild Wild World of Non-Equilibrium Dynamics

Feng Ling

April 18, 2018

Media Credits at the End

April 30, 2018

What is Active Matter?

Media Credits at the End

Feng Ling                                                                                                  AME 630                                                                                               04/18/2018

What is Active Matter?

Media Credits at the End

Feng Ling                                                                                                  AME 630                                                                                               04/18/2018

activities

mechanics

+

Why Is It Interesting?

Media Credits at the End

Nonequilibrium Dynamics

  • steady energy inputs

  • complex forcing

  • interactions

Things don't stay  isotropically 'random'

Feng Ling                                                                                                  AME 630                                                                                               04/18/2018

Media Credits at the End

Feng Ling                                                                                                  AME 630                                                                                               04/18/2018

What does that Mean?

Media Credits at the End

"Dry" versus "Wet"

 

Are we interested in the substrates?

short-range interactions

  • excluded volume
  • steric interactions

Feng Ling                                                                                                  AME 630                                                                                               04/18/2018

long-range interactions

  • hydrodynamic
  • electromagnetic

Key Results: Dry Active Matter

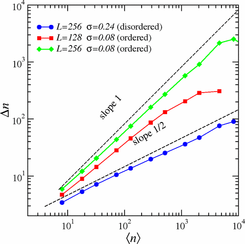
Giant Density Fluctuations

Feng Ling                                                                                                  AME 630                                                                                               04/18/2018

Media Credits at the End

Matter at thermal equilibrium

Active matter not at equilibrium

  • Box of NN particles
  • Fluctuations in the number density (std. deviation) should be N\propto\sqrt{N}
    • by central-limit theorem
  • Fluctuations in the number density can grow N\propto{N}

Key Results: Dry Active Matter

Giant Density Fluctuations

Standard deviation n\propto n instead of n\sqrt{n}

Feng Ling                                                                                                  AME 630                                                                                               04/18/2018

Media Credits at the End

Key Results: Dry Active Matter

Order Parameter and Phases

  • Phases of Matter
    • Analogous to solids, liquid, and gas
  • Order Parameter
    • a quantity that describes changes across phase boundaries
  • Field Variables:
    • Packing Density ρ\rho
    • Orientation Field pp
    • Alignment Field aAli

Feng Ling                                                                                                  AME 630                                                                                               04/18/2018

Media Credits at the End

Key Results: Dry Active Matter

Phase Separation

Feng Ling                                                                                                  AME 630                                                                                               04/18/2018

Media Credits at the End

Key Results: Dry Active Matter

Agent Motion and Alignment

Polar Motion and Apolar Motion

Feng Ling                                                                                                  AME 630                                                                                               04/18/2018

Media Credits at the End

Ferromagnetic and ​Nematic Alignment

Key Results: Dry Active Matter

Polar Order

mean motion!

traveling sound waves and splay

Feng Ling                                                                                                  AME 630                                                                                               04/18/2018

Media Credits at the End

Key Results: Dry Active Matter

Nematic Order

no mean motion :(

curvature currents

polar clusters (wtih steric interactions)

Feng Ling                                                                                                  AME 630                                                                                               04/18/2018

Media Credits at the End

Key Results: Wet Active Matter

Defects and Instabilities

Topological Defects in 2D

Feng Ling                                                                                                  AME 630                                                                                               04/18/2018

Ferromagnetic

/Polar

Nematic

Monopole

Vortex

+1/2

-1/2

Key Results: Wet Active Matter

Defects and Instabilities

Active Defects

Spontaneous Flows

  • Active Thin Films
  • Result of density/orientation
    field fluctuations

Feng Ling                                                                                                  AME 630                                                                                               04/18/2018

Media Credits at the End

Key Results: Wet Active Matter

Rheological Effects

puller swimmers increase bulk viscosity

pusher swimmers decrease viscosity

enhanced elasticity near isotropic-nematic transition

prestress in ordered matter

Feng Ling                                                                                                  AME 630                                                                                               04/18/2018

Media Credits at the End

Key Results: Applications

Cellular Dynamics

cell motility and migration

  • shape change
  • movement
  • flows and waves

Feng Ling                                                                                                  AME 630                                                                                               04/18/2018

Media Credits at the End

Media Credits at the End

How Should We Approach These Problems?

theories

simulations

experiments

Feng Ling                                                                                                  AME 630                                                                                               04/18/2018

Techniques: Hard to do, but easy to explain

Simulations and Experiments

  • Agent-based simulations
    • Simulate behavior of microscopic "agents" and give explicit "rules" on their interactions
  • Continuum simulations
    • Directly solve continuum (coarse-grained) equations of motion
  • Artificial self-propelled particles and colloids
    • Janus particles ...
  • Or just observe them in the wild!
    • ​Cell/bacteria cultures ...

Feng Ling                                                                                                  AME 630                                                                                               04/18/2018

Media Credits at the End

Techniques: Difficult to do, and hard to describe

Analytical Tools

Synchronization problems

  • interactions of limited number of "active agents"

  • separation of slow and fast variables

Kinetic theories

  • congestion theory for p

... Coarse-graining Techniques

Feng Ling                                                                                                  AME 630                                                                                               04/18/2018

Media Credits at the End

Techniques: say what?

What is Coarse-Graining?

Feng Ling                                                                                                  AME 630                                                                                               04/18/2018

Microscopic

Dynamics

Macroscopic

Dynamics

'Coarse Graining'

Funciton

"Local"

"Global"

\(\Longrightarrow\)

Techniques: say what?

What is Coarse-Graining?

Feng Ling                                                                                                  AME 630                                                                                               04/18/2018

Local Conservation Laws

(Simplified Models)

+

Uncertainties and Noises

(Brownian Motion)

Microscopic

Dynamics

Macroscopic

Dynamics

'Coarse Graining'

Funciton

Techniques: say what?

What is Coarse-Graining?

Feng Ling                                                                                                  AME 630                                                                                               04/18/2018

Microscopic

Dynamics

Macroscopic

Dynamics

'Coarse Graining'

Funciton

Probability Distribution

Correlation Functions

🡳

Global

Field Variables

"Point Spread"

functions

"moments" of pdfs

Techniques: say what?

What is Coarse-Graining?

Conservation of Mass

Momentum Balance

Energy Balance

(Entropy Balance)

🡳

Bulk Properties

Feng Ling                                                                                                  AME 630                                                                                               04/18/2018

Microscopic

Dynamics

Macroscopic

Dynamics

'Coarse Graining'

Funciton

Navier-Stokes

Irving-Kirkwood

Techniques: Analytical

Coarse-Graining of Dynamics

Start from Microscopic models of self-propelled particles / motors / filaments

Feng Ling                                                                                                  AME 630                                                                                               04/18/2018

Langevin equations

Fokker-Planck or

Smoluchowski Eqns

Hydrodynamics

project microscopic degrees of freedom to field variables

Convert microscopic equations to equations of probability distributions

Convection–diffusion

Equation for pdfs

Overdamped

Newton's Law+Noise

Techniques: Analytical

Example: Self-Propelled Particles

Start from Microscopic models of self-propelled particles / motors / filaments

Feng Ling                                                                                                  AME 630                                                                                               04/18/2018

project microscopic degrees of freedom to field variables

Convert microscopic equations to equations of probability distributions

What Don't We Know? or really...

What's Left For Me?

Tying things down to the specifics

Deeper theoretical understandings

What I Saw at the APS March Meeting

  • Chemical Signaling: Traces of Myxococcus Xanthus
  • Self-assembly of Active Particles
  • Jammed/glassy/crystalline States
  • Geometrical Effects: Substrate Curvature
  • Higher Dimensional: Fire ants moulds

Feng Ling                                                                                                  AME 630                                                                                               04/18/2018

Media Credits at the End

The Future

Other Broad Questions

  • Role of a leader and evolutionary selections?
  • Asymmetric obstacles and boundaries/substrate
  • Are order-disorder transition indeed discontinuous?
  • Very nonlinear systems Very Far from equilibrium? (fluid rich in nutrients/activity)
  • White noise is not always the realistic fluctuation in the microscopic world
  • Experimental techniques: (3D) imaging and creation of good artificial test systems
  • Determining all the coefficients

Feng Ling                                                                                                  AME 630                                                                                               04/18/2018

Media Credits at the End

Summary

Key Takeaways

  • Giant Density Fluctuation
    • Active Matter is WEIRD!
  • Phases, Defects, and Instabilities
    • Active Matter is FUN!
  • Coarse-Graining and Non-Equilibrium Thermodynamics
    • Active Matter is HARD!

Feng Ling                                                                                                  AME 630                                                                                               04/18/2018

Thanks!

Feng Ling                                                                                                  AME 630                                                                                               04/18/2018

References

Articles

  • Marchetti, M. Cristina, et al. "Hydrodynamics of soft active matter." Reviews of Modern Physics  85.3 (2013): 1143.

  • Baskaran, Aparna, and M. Cristina Marchetti. "Nonequilibrium statistical mechanics of self-propelled hard rods." Journal of Statistical Mechanics: Theory and Experiment  2010.04 (2010): P04019.

  • Klymko, Katherine, Dibyendu Mandal, and Kranthi K. Mandadapu. "Statistical mechanics of transport processes in active fluids: Equations of hydrodynamics." The Journal of chemical physics 147.19 (2017): 194109.

Websites

Figures and Movies

  • GIPHY: https://gph.is/1UBtXPZ  https://gph.is/24H7I2u

  • Sanchez, Tim, et al. "Spontaneous motion in hierarchically assembled active matter." Nature 491.7424 (2012): 431.

  • Palacci, Jeremie, et al. "Living crystals of light-activated colloidal surfers." Science (2013): 1230020.

  • Narayan, Vijay, Sriram Ramaswamy, and Narayanan Menon. "Long-lived giant number fluctuations in a swarming granular nematic." Science 317.5834 (2007): 105-108.

  • Galajda, Peter, et al. "A wall of funnels concentrates swimming bacteria." Journal of bacteriology  189.23 (2007): 8704-8707.

  • Alonso-Matilla, R., and D. Saintillan. "Microfluidic flow actuation using magnetoactive suspensions." EPL (Europhysics Letters)  121.2 (2018): 24002.

  • Thutupalli, Shashi, et al. "Directional reversals enable Myxococcus xanthus cells to produce collective one-dimensional streams during fruiting-body formation." Journal of The Royal Society Interface 12.109 (2015): 20150049

Lectures

Feng Ling                                                                                                  AME 630                                                                                               04/18/2018

Active Matter

By Feng Ling

Active Matter

Review of results in active matter

  • 2,217