Multiscale modeling of Cilia Coordination

Feng Ling

Kanso Bio-inspired Motion Lab, USC

April 23, 2022

SoCal Fluids

Why cilia?

Motile cilia are microscopic hair-like protrusions that direct fluid flow for many Eukaryotic life.

5μm

Daghlian (2006)

K.Y. Wan (2018)

10μm

Quadflagellate

Wan (2019)

30μm

Hamel, et al. (2010)

Paramecium

Coordination for diverse functions

30μm

Squid Light Organ

Nawroth, Guo, et al. (2017)

Lechtreck (2000)

Mouse Airway

10μm

Multi-synchrony for distinct swimming gaits

Coherent coordination for specialized functions

Nawroth, et al. (unpublished)

healthy

inflamed (IL13)

structure

function

less cilia

less coherent beat pattern

more eddies

slower flow

in-vitro human airway tissue

More than scientific curiosities

Understanding tissue- and organ-level functions of cilia have direct consequences on human health and disease!

 

The key is to enable functional prediction from structural observations!

Multiscale models for multiscale physics

To obtain principled understanding of cilia requires studying them across many length scales

Multiscale models for multiscale physics

  • 1 mm\(^2\) of tissue can have a million cilia, and each driven by thousands of motor protein complexes!

 

  • Different abstraction levels are both necessary and desirable to truly understand cilia

Cilia Coordination

Guo, Man, et al., R. S. Interface (2020)

Man, Kanso, PRL (2020)

Kanale, Ling, et al., In preparation (2022)

Cilia Oscillation

Ling, Guo, Kanso, R. S. Interface (2018)

Man, Ling, Kanso, Phil. Trans. B (2020)

Ling, Kanso, In preparation (2022)

Ciliary Function

Guo, Ding, et al., JFM,PRE… (2014-2017)

Nawroth, Guo et al., PNAS (2017)

Nawroth, et al., Phil. Trans. B (2020)

Nawroth, Ling, et al., Submitted (2022)

Multiscale models for multiscale physics

  • 1 mm\(^2\) of tissue can have a million cilia, and each driven by thousands of motor protein complexes!

 

  • Different abstraction levels are both necessary and desirable to truly understand cilia

Cilia Coordination

Guo, Man, et al., R. S. Interface (2020)

Man, Kanso, PRL (2020)

Kanale, Ling, et al., In preparation (2022)

Cilia Oscillation

Ling, Guo, Kanso, R. S. Interface (2018)

Man, Ling, Kanso, Phil. Trans. B (2020)

Ling, Kanso, In preparation (2022)

Ciliary Function

Guo, Ding, et al., JFM,PRE… (2014-2017)

Nawroth, Guo et al., PNAS (2017)

Nawroth, et al., Phil. Trans. B (2020)

Nawroth, Ling, et al., Submitted (2022)

Phenomenological model of cilia oscillation 

  • Postulate: exact driving mechanism of cilia matter little when studying cilia coordination

  • e.g., symmetric cilia beats reproduced by follower force driven filament (Man 2020)

    • Condense to two non-dimensional ratios:
      \(F=\|\bm{f}\|/(B/L^3)\) \(\rightarrow\) activity level
      \(\gamma=\ln(L/h)/\ln(L/a)\) \(\rightarrow\) coupling strength
      with an emergent time scale \(t_o=\zeta L^4/B\)

Man, Kanso, PRL (2020)

\(a\)

\(h\)

\(L\)

\(\bm{f}\)

Phenomenological model of cilia oscillation 

  • Postulate: exact driving mechanism of cilia matter little when studying cilia coordination

  • e.g., symmetric cilia beats reproduced by follower force driven filament (Man 2020)

    • Condense to two non-dimensional ratios:
      \(F=\|\bm{f}\|/(B/L^3)\) \(\rightarrow\) activity level
      \(\gamma=\ln(L/h)/\ln(L/a)\) \(\rightarrow\) coupling strength
      with an emergent time scale \(t_o=\zeta L^4/B\)​

  • reveals multi-synchrony and bistability for a pair of hydrodynamically coupled cilia

initially in-phase

initially anti-phase

Man, Kanso, PRL (2020)

in-phase

anti-phase

Phenomenological model of cilia oscillation 

  • Postulate: exact driving mechanism of cilia matter little when studying cilia coordination

  • e.g., symmetric cilia beats reproduced by follower force driven filament (Man 2020)

    • Condense to two non-dimensional ratios:
      \(F=\|\bm{f}\|/(B/L^3)\) \(\rightarrow\) activity level
      \(\gamma=\ln(L/h)/\ln(L/a)\) \(\rightarrow\) coupling strength
      with an emergent time scale \(t_o=\zeta L^4/B\)​

  • reveals multi-synchrony and bistability for a pair of hydrodynamically coupled cilia

initially in-phase

initially anti-phase

Man, Kanso, PRL (2020)

in-phase

anti-phase

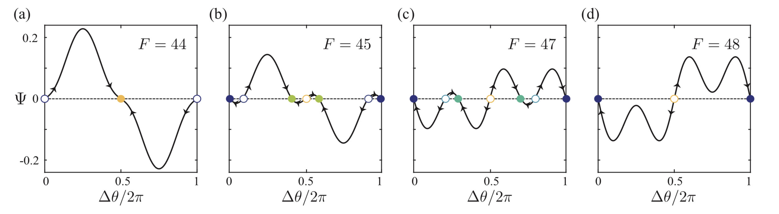
Stability analysis as phased oscillators

  • Assuming coupled filaments always follow the same trajectory but at a different phase (Kuramoto reduction*), we can write an evolution equation of the phase difference \(\Delta\theta\):\[\partial_t(\Delta\theta) = \gamma\omega\Psi(\Delta\theta)\]

Man, Kanso, PRL (2020)

Kawamura, Tsubaki, PRE (2018)

in-phase

anti-phase

non-trivial

pitchfork bifurcations

saddle-node bifurcations

(weak hydrodynamic coupling)

Stability analysis as phased oscillators

  • Assuming coupled filaments always follow the same trajectory but at a different phase (Kuramoto reduction*), we can write an evolution equation of the phase difference \(\Delta\theta\):\[\partial_t(\Delta\theta) = \gamma\omega\Psi(\Delta\theta)\]

Man, Kanso, PRL (2020)

Kawamura, Tsubaki, PRE (2018)

in-phase

anti-phase

non-trivial

pitchfork bifurcations \(\rightarrow\)

saddle-node bifurcations \(\rightarrow\)

weak hydrodynamic coupling

How much can phased oscillator theory help us in understanding synchronization of many, many cilia?

\(\theta_i\)

  • Effective strokes / rotor tilt
    \(\rightarrow\) first-harmonic forcing

  • Planar beats / rotor eccentricity
    \(\rightarrow\) second harmonic forcing

  • Planar circular rotor with first and second harmonic forcing

    • matches far-field flow

    • do not produce net flow without hydrodynamic interactions

Minimalistic description of cilia beat

\(\theta_i\)

Uchida, Golestanian, PRL (2010)

Osterman, Vilfan, PNAS (2011)

Brumley, et al., eLife (2014)

Kanale, Ling, Fuerthauer, et al., (2022)

'cilium-level' activity  

  • trajectory geometry

  • forcing coefficient

'tissue-level' organization

  • cilia spacing/density

  • structural order

  • beat coherence

can be solved with Blake tensor, regularized Stokeslet methods, and with a continuum theory!

Periodic boundary

\(\cos(\theta_i)\)

\(-1\)                                 \(1\)

no-slip boundary

\(\theta_i\)

abstraction

motor activity

Stokes' Flow

Phase oscillator for ciliary carpet

Kanale, Ling, Fuerthauer, Kanso, (2022)

ciliated patches

coverage ratio = 0.5

patch wavenumber = 2

no cilia

no cilia

Heterogeneity for metachronal order

Spherical cow of patches:

  • coverage ratio: \(\dfrac{A_{ciliated}}{A_{total}}\)
  • patch wavenumber: # of patches along one side of periodic box
  • patch disorder: standard deviation of Gaussian displacement (0 for now)

Kanale, Ling, Fuerthauer, Kanso, (2022)

coverage \(C=1\)

coverage \(C= 0.5\), patch number \(n= 4\)

coverage \(C= 0.25\), patch number \(n= 4\)

  • When fully covered, defects and grain boundaries form spontaneously

  • Gaps between patches bring intrinsic 'relief' for defects

Heterogeneity for metachronal order

Kanale, Ling, Fuerthauer, Kanso, (2022)

  • Effect is independent of forcing harmonics

  • More pronounced when rotor are spaced closer (stronger interaction)

Heterogeneity for metachronal order

coverage \(C=1\)

coverage \(C= 0.5\), patch number \(n= 4\)

coverage \(C= 0.25\), patch number \(n= 4\)

Kanale, Ling, Fuerthauer, Kanso, (2022)

22,000+ cilia

short cilia

long cilia

short cilia

long cilia

  • Effective/recovery stroke enforces unidirectional waves

  • Eccentric beating plane promotes metachronal order

\(\cos(\theta_i)\)

\(1\)

\(-1\)

2nd harmonic forcing (eccentric beat / ‘nematic')

1st harmonic forcing (effective stroke / ‘polar’)

Spontaneous metachronal order

Kanale, Ling, Fuerthauer, Kanso, (2022)

short cilia

long cilia

short cilia

long cilia

\(\cos(\theta_i)\)

\(1\)

\(-1\)

Combining the 'polar' and 'nematic' forcing term enable both net pumping and long range synchronization of ciliary carpet simultaneously!

Spontaneous metachronal order

  • Effective/recovery stroke enforces unidirectional waves

  • Eccentric beating plane promotes metachronal order

2nd harmonic forcing ('nematic' force)

1st harmonic forcing ('polar' force)

Kanale, Ling, Fuerthauer, Kanso, (2022)

theory / numerics

growth rate

\(k_x\)

\(k_y\)

2nd harmonic forcing

theory / numerics

growth rate

\(k_x\)

\(k_y\)

1st harmonic forcing

Continuum theory for cilia coordination

Linear stability analysis on isotropic initial conditions produces excellent predictions!

Kanale, Ling, Fuerthauer, Kanso, (2022)

Kuramoto order and a continuum theory

Scalar Kuramoto order parameter cannot distinguish metachronally ordered states:

  • coarse-graining local Kuramoto order parameter for a continuum theory
  • project into angular variable for wave characteristics (Radon transform)​
  • eccentricity symbolizes metachronal order quality

indistinguishable wave states

Kanale, Ling, Fuerthauer, Kanso, (2022)

Kuramoto order and a continuum theory

Scalar Kuramoto order parameter cannot distinguish metachronally ordered states:

  • coarse-graining local Kuramoto order parameter for a continuum theory
  • project into angular variable for wave characteristics (Radon transform)​
  • eccentricity symbolizes metachronal order quality

indistinguishable wave states

Kanale, Ling, Fuerthauer, Kanso, (2022)

One model to rule them all?

Data-driven parameters?

Nawroth, Ling, et al. (unpublished)

structure

flow function

\(\downarrow\) input

\(\updownarrow\) validate/predict

Measurements

Theory/Models

End-to-end cilia modeling

  • motor-driven, filament-derived phased oscillators and continuum theory

  • data-driven cilium- and tissue- level parameters

  • complex fluids / multi-physics

  • validation & prediction of tissue-level functions

Thank you!

NIH R01 Grant 1R01HL153622-01A1
NSF INSPIRE Grant 1608744
ONR Grant N00014-17-1-2062
ARO Grant W911NF-16-1-0074

 Janna Nawroth

USC / Helmholtz Pioneer Campus

PI: Eva Kanso

Hanliang Guo

University of Michigan

 Sebastian Fürthauer

Flatiron / TU Wien

 Yi Man

USC / Peking University

 Anup Kanale

USC / Medtronics

It's all about cilia (SoCal Fluids XV 2022)

By Feng Ling

It's all about cilia (SoCal Fluids XV 2022)

  • 734