Planning and Control of Construction Projects

Introduction

Dr. Ling Ma

National Building Research Institute

Technion - Faculty of Civil and Environmental Engineering

© Dr. Ling Ma

Preceding courses

  • Introduction to Construction Management
  • Engineering Economics
  • Statistics and Probability 

© Dr. Ling Ma

Indicators of success or failure in construction project management?

Discussion

What does a project manager do in his or her everyday routine?

When would you advice the use of software tools?

Typical construction project process

© Dr. Ling Ma

Course Goals

© Dr. Ling Ma

Course Goals - Skills

© Dr. Ling Ma

References

  • Russell Kenley, Olli Seppänen, Location-Based Management for Construction – Planning, Scheduling and Control, Spon Press, London and New York, 2010.

  • Chris Hendrickson. Project Management for Construction, Department of Civil and Environmental Engineering, Carnegie Mellon University, Pittsburgh, PA I5213 Copyright C. Hendrickson 1998. http://pmbook.ce.cmu.edu/

  • Chuck Eastman, Paul Teicholz, Rafael Sacks, Kathleen Liston. BIM Handbook, John Wiley 2008

© Dr. Ling Ma

Grading method

  • Tutorial - Tuesday 
  • 7 Homework + 1 Project
  • Mid-Quiz - May 9th
  • Final Exam - July 10th & July 31th
  • Answer Questions in Class - Bonus in exam score
  • SimLean Simulation group work - Bonus in final score

Questions?

lingma@technion.ac.il

© Dr. Ling Ma

To pass the course

  • A minimum of 55% in the exam 
  • Submit the final project

Planning and Control of Construction Projects

Project Delivery Methods

© Dr. Ling Ma

Dr. Ling Ma

National Building Research Institute

Technion - Faculty of Civil and Environmental Engineering

Design-Bid-Build

Features:​

  • ​Possible lowest price
  • Less political pressure
  • ​Long total time
  • Sensitive to design changes
  • Disputes

© Dr. Ling Ma

Construction Management Service

Features:​

  • ​Management team support
  • Owner's administrative burden of contracts management 
  • Duplicate management oversight and weaken the role of CM
  • Avoid the manager being a supplier

© Dr. Ling Ma

Construction Management @ Risk

Features:​

  • ​Early involvement in project
  • Lump sum contract (GMP)
  • Finger-pointing 2 vs 1

© Dr. Ling Ma

Design & Build

Features:​

  • ​Functional design in early stage
  • Lump sum contract (GMP)
  • Unified information
  • 1 vs 2
  • Less control on design
  • Faster track delivery

© Dr. Ling Ma

Integrated Project Delivery

© Dr. Ling Ma

Technology Driven

Organizational Innovation

Actual Cost

 

Actual Cost

 

Actual Cost

 

Estimated Cost

 

IPD Contingency

Fixed Profit

Full Profit Payout

Shared Saving Bonus

Partial Profit Payout

Owner pays cost only

Select a project delivery method

  • The size and complexity of the project?
  • What resources and expertise does the owner have? 
  • What influence does the owner need to exert over the design, planning? 
  • How much risks the owner can take?
  • Flexibility for design change?
  • Budget and schedule certainty?

© Dr. Ling Ma

DBB,     CM service,     CM@risk,     DB,     IPD

Discussion

  1. A 5,000 m2 sports centre building for a local municipality. The lottery is funding the project and it is located in the south of Israel, in a desert area.
  2. The infrastructure and structure for a custom-designed high-tech factory in the center of the country. The factory will use a new production method for making electronic parts. The mechanical systems that will be installed will be designed in parallel with the construction itself. The building footprint is 15,500 m2.
  3. An outpatient clinic for a private medical company. The building site is on the slopes of Mt. Carmel. The footprint of the clinic is around 20,000 m2.
  • What is the most appropriate contracting method for the owner?
  • What are the advantages of that method from the owner’s perspective?

© Dr. Ling Ma

Summary

  • The features of different project delivery methods
  • The activities in the life-cycle of a DBB project

© Dr. Ling Ma

Planning and Control of Construction Projects

Scheduling

© Dr. Ling Ma

Dr. Ling Ma

National Building Research Institute

Technion - Faculty of Civil and Environmental Engineering

Importance of Schedule

© Dr. Ling Ma

  • A Schedule is dynamic and therefore will always change
  • It must be accurate and reflect all the changes and impact
  • The schedule is a critical management tool
    • A current and accurate schedule facilitates a successful project
    • Responsively managing changing conditions
    • Stakeholders' engagement for a timely decision making

Scheduling on Three Levels

  • Master plan - milestones for the whole project
    • ​Examine Construction methods
    • General plan of resources, cash flow, etc.
    • Critical Path Method (CPM), Location-based scheduling
  • Look ahead plan - monthly
    • Reveal barriers to actual construction ​and coordination with partners
    • Notification of resource activation
    • Critical Path Method (CPM), Location-based scheduling
  • Work assignments – weekly production management
    • Notification of barriers to actual construction
    • Coordinations of actual construction plan
    • Production control
    • Last planner system

© Dr. Ling Ma

Critical Path Method - Components

  • Work

    • Specify the activities, translate the design

    • Work Method, Quantity, Space

    • Work Breakdown Structure (WBS)

  • Link

    • Work dependencies

    • Define the start and end time

    • Gantt chart and network diagram

  • Resource

    • Constraints of resource allocation

    • Resource leveling

© Dr. Ling Ma

CPM - WBS

  • 100% rule

  • Mutually exclusive elements

  • Level of detail

  • Coding scheme 

© Dr. Ling Ma

CPM - Activity and Dependency

  • Activity Duration

© Dr. Ling Ma

  • Work Dependency
  • Shortening Project?

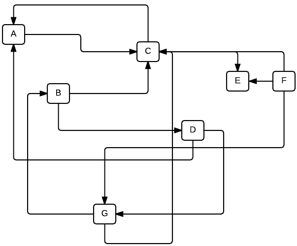
CPM - Network Method

© Dr. Ling Ma

  • Activity-on-node diagram
ES Activity EF
LS LF
TF Duration FF
ES Activity EF
LS LF
TF Duration FF

FF = Maximum delay of an activity that does not cause a delay in the start of any successor activities (ESs-EFp)

TF = Maximum delay of and activity that does not cause a delay in completion of all the project (LS-ES)

Critical path: nodes with TF = 0 

  • Algorithm
Activity A B C D E F G
Duration 1 2 1 3 2 3 2

Level Method

Predecessor activity Successor activity
A C
B D
G A
F C
B G
D A
E G
D F
  • Activity-on-arrow diagram

CPM - Example

© Dr. Ling Ma

  • Activity-on-node diagram
0 B 2
2
2 D 5
3
5 F 8
3
0 E 2
2
2 G 4
2
5 A 6
1
8 C 9
1

0

0

0

1

0

2

0

9

8

8

8

7

7

5

5

2

5

2

0

5

3

0

0

0

3

3

2

0

FF = Maximum delay of an activity that does not cause a delay in the start of any successor activities (ESs-EFp)

TF = Maximum delay of and activity that does not cause a delay in completion of all the project (LS-ES)

Critical path: nodes with TF = 0

ES Activity EF
LS LF
TF Duration FF
ES Activity EF
LS LF
TF Duration FF

CPM - Exercise

Activity code Length
(weeks)
Predecessor Type of
connection
Total float
A 7 -
B 9 -
C 12 -
D 14 A
B
C
FF=14
FS=2
SS=8
E 11 D FS=0
F 17 D SS=11
G 13 E FS=0 0
H 6 E
F
FS=3
FS=0
I ? F SS=12 0
  1. Sketch the network of activities and calculate ES and EF for each activity
  2. Calculate LS and LF for each activity
  3. Calculate TF and FF for each activity
  4. Identify the critical path
  5. How do you calculate the duration of a task I ?
  6. Is it possible to shorten the project by shortening activity D ? Explain.
  7. What will be the project duration if the length of activity D is 18 weeks instead of 14 weeks?
  8. How will the critical path change?
  9. What will be the new duration of the project?

© Dr. Ling Ma

CPM - Resource

  • Resources: workers, equipment, material, money, space
    • Consumed resource : consumed (e.g. materials).
    • Required resource: used but not consumed (e.g. equipment).
  • Allocation of resources for activities;
    • Costs, cost allocation (at start, uniform, at end)
    • Required resources
  • Resource optimization
    • Resource Allocation
    • Resource Leveling

© Dr. Ling Ma

CPM - Resource Allocation

© Dr. Ling Ma

Activity Duration Early Start Total Float
A 32 90 30
B 25 102 10

Project delay 147-137= 10

Project delay 159-152= 7

If both A and B require the same resource, and only one unit of that resource is available, and the activities must be performed continuously, which activity should be given the resource first, in order to minimize the impact on the project as a whole?

CPM - Resource Leveling

© Dr. Ling Ma

CPM - Time Cost Tradeoff

© Dr. Ling Ma

A highway project has four tasks: A, B, C and D.

Site overheads are ¥ 2,000/day, and the client has offered a bonus of ¥ 500 for every week short of the 15th week

The contractor can perform the work in two different construction methods

CPM - Summary

© Dr. Ling Ma

  • Components
    • Task, link, resource
  • Techniques
    • WBS, network diagram, resource allocation/leveling
  • Constraints
    • Task dependencies, resource, time cost tradeoff, etc.
  • Limitations?
    • Activities are represented as 'black boxes'
    • Network method does not describe the flow of workers
    • Mainly preventing task overlap rather than waiting time 

Modular Building

© Dr. Ling Ma

  • Modular Project
    • Project with similar units in which tasks repeat themselves periodically.
  • Work Section
    • A defined area in a building where some craft is performed by a trade crew.
  • ​​Tasks
    • ​Single craft performed by one crew at one work section
Work section / Floor
1
2
3
4
Trades
Structure
Plastering
Tiling
  • Empire State Building
  • 102-story
  • 200,000 m2 rental space
  • 381 m / 443 m with antenna
  • Stood as world's tallest building for 40 years
  • Construction involves 3,500 workers
  • 57,000 t of structural steel
  • 48,000 m3 of concrete
  • 10 million bricks
  • The framework rises 4 ½ stories per week
  • Construction completed in 410 days

Modular Building

© Dr. Ling Ma

Line of Balance Chart

© Dr. Ling Ma

Work section / Floor
1
2
3
4
Trades
Structure
Plastering
Tiling
  • Line of Balance Chart
  • Task Dependencies

© Dr. Ling Ma

Specialization

  • Specialization due to professionalization
  • Designed to enable improved quality
  • Professional responsibility/liability
  • Allows improvement of local productivity

Continuity in Construction - 'Rapid' Tasks

© Dr. Ling Ma

  • Continuous workflow
  • ‘Anchors’
  • Why continuity
    • A restart of work costs money
    • Maximum productivity
    • Labour availability
  • Treat the 'Rapid' tasks
    • Delay the beginning
    • Slow down by resource dilution
    • Merge with other tasks
  • Rapid tasks

Continuity in Construction - 'Slow' Tasks

© Dr. Ling Ma

How to treat the 'Slow' tasks

  • Accelerate the pace of work
  • Split plastering into ceiling plastering and walls plastering
  • Splitting the work section and adding additional teams as needed

Interim Summary

© Dr. Ling Ma

  • Reduce waiting time - waste
  • Mismatch in work rates causes discontinuities
  • To achieve a fixed rate in tasks
    • Slow down or merge the 'rapid' tasks
    • Speed up or split the 'slow' tasks
  • Limitation in determine the rhythms of cyclic tasks
    • The rate is limited by section size and the number of workers\resources that can be used in each section
    • Lower limit of construction rate: rate limited by the method of construction and minimum group size; not less than one floorer and assistant

Technical Constraints and Work Section Conflict

© Dr. Ling Ma

  • Structure work = formwork + pouring concrete
  • Task Specialization & Work Section Conflicts

Division of Work Section

© Dr. Ling Ma

1
2
3
4
A
B
C
D
E
F
G
H
  • Proper division of independent work sections on each floor .
  • Division of floors into two allows continuous progression for the formwork and pouring teams.
  • The work rate of teams in different sections is the same.

In Practice

© Dr. Ling Ma

  • Sections of work are not completely identical

Uncertainty of Production Rate

  • Production rate is a nonlinear function of:
    • Work section size
    • Team (equipment compared to workers)
    • Local variability (such as weather, learning curve)

© Dr. Ling Ma

Pouring concrete with a pump

Learning curve

Uncertainty of Task Duration

© Dr. Ling Ma

0 F 10
10
0 A 12
12
12 C 18
6

2

0

2

18

12

12

12

0

2

2

0

0

0 F
9-12
0 A
10-13
C
6

If the durations of the tasks are uncertain

  1. What is the probability curve of the earliest project completion date?
  2. What are the chances task F will be critical?
  3. When would you instruct the crew performing task C to start? Why?

Assume that:

  • Activity F will take 9-12 days (uniform distribution)
  • Activity A will take 10-13 days (uniform distribution)

Uncertainty of Task Duration

© Dr. Ling Ma

Note: Only one plaster crew is available

Suppose a uniform distribution of the probability of durations from D-1 to D+1 days

Case # 1: All minimal durations

Probability of this case: 0.5*0.5*0.5*0.5=0.125

Summery - Location Based Scheduling vs CPM

© Dr. Ling Ma

  • Clearer representation with work section and crews for modular project 
  • 'Minimum' constraint vs. 'Maximum' constraint
    • Continuity
    • 'Rapid' tasks
    • 'Slow' tasks
    • Split work section
  • Task Duration vs. Production Rate

Production in Automotive Industry

© Dr. Ling Ma

Vulcan 20 HP Tourer

Henry Ford Model T

Disassembly and Assembly Line

© Dr. Ling Ma

Disassembly line at the Chicago Meat Packing Factory

Assembly line at Ford

Construction as a Production Process

© Dr. Ling Ma

  • A process in which inputs are converted to products
  • The product of any stage is raw material for the next stage
  • Crews on site are comparable to production workstations
  • Understanding of production theory is essential for optimal planning and management of production systems on site

Production Performance Measure

Cycle Time

© Dr. Ling Ma

Throughput Rate and Process Capacity

© Dr. Ling Ma

Exercise

© Dr. Ling Ma

  1. Work begins at the machining center. Two identical lines form the heads of the hammers and place them in a buffer.
    • Set up time is 80 min. processing takes 4 min per unit in each line. Batch size: 200 in each line.
  2. Handles are attached at the assembly step.
    • Manual by two workers (no set up). Each hammer requires 40 min processing. 34 workers available.
  3. Finished hammers are sent to the next stage, where they are packed and shipped.
    • 30 min set up, 2 min per unit processing. Lot sizes of 100.
  • Throughput Rates?
  • Bottleneck Task?
  • Process Capacity?

WIP and Little's Law

© Dr. Ling Ma

Impact of WIP on Cycle Time

© Dr. Ling Ma

Exercise

© Dr. Ling Ma

2 hr

2 hr

2 hr

2 hr

X

T=0

T=2?

T=4?

T=6?

WIP=1

Station 1

Station 2

Station 3

Station 4

X X

WIP=2

Station 1

Station 2

Station 3

Station 4

WIP 1 2 3 4 5
CT
TH

Critical WIP

© Dr. Ling Ma

6 mins

6 mins

6 mins

6 mins

6 mins

6 mins

6 mins

6 mins

6 mins

6 mins

W0?

Recheck the Little's Law

© Dr. Ling Ma

Batch size

© Dr. Ling Ma

4 hr

​Impact of batch size on TH and CT?

2 hr

2 hr

2 hr

Processing time​​

Batch size

2

1

1

1

Total processing time T0 = ___

Bottleneck rate rb = ___

Critical WIP W0 = ___

WIP 2 4 5 7
CT 12
TH 2/12

WIP=2

© Dr. Ling Ma

4 hr

2 hr

2 hr

2 hr

Processing

time

Batch size

2

1

1

1

t=0 #2, #1
t=1 #2, #1
t=2 #2, #1
t=3 #2, #1
t=4 #2 #1
t=5 #2 #1
t=6 #2 #1
t=7 #2 #1
t=8 #2 #1
t=9 #2 #1
t=10 #2 #1
t=11 #2
t=12 #2
t=13
t=14

WIP=4

© Dr. Ling Ma

t=0 #4, #3 #2 #1
t=1 #4, #3 #2 #1
t=2 #4, #3 #2 #1
t=3 #4, #3 #2 #1
t=4 #4 #3 #2 #1
t=5 #4 #3 #2
t=6 #4 #3 #2
t=7 #4 #3
t=8 #4 #3
t=9 #4 #3
t=10 #4 #3
t=11 #4
t=12 #4
t=13
t=14

First, distribute the WIP to the system

It takes 12 days for the last two items - #3 and #4  to complete

The cycle time = 12 days

TH=WIP/12=4/12

WIP=5

© Dr. Ling Ma

t=0 #4, #5 #3 #2 #1
t=1 #4, #5 #3 #2 #1
t=2 #4, #5 #3 #2 #1
t=3 #4, #5 #3 #2
t=4 #5 #4 #3 #2
t=5 #5 #4 #3
t=6 #5 #4 #3
t=7 #5 #4
t=8 #5 #4
t=9 #5 #4
t=10 #5 #4
t=11 #5
t=12 #5
t=13
t=14

First, distribute the WIP to the system

  • The system is fully loaded when WIP=5. min(CT)=12, max(TH)=5/12, rb=5/12
  • When WIP>5, the items needs to stay outside the line, e.g., #6 and #7 need to wait for 4 days. Therefore, it will take 16 days to complete them. so CT = 16 days and TH=WIP/12=7/16
  • If WIP>5, then CT>12 and TH<5/12, this follows Little's law

Conclusion - Batch Size

© Dr. Ling Ma

  • Increasing batch size increases cycle time
  • Increasing batch size increases WIP
  • In a project, increasing batch size extends the project duration

Unbalanced Line

© Dr. Ling Ma

2 hr

4 hr

3 hr

3 hr

  • Total processing time T0 = ___
  • Bottleneck rate rb = ___
  • Critical WIP W0 = ___
  • The unfinished units are usually located in which workstations?
  • Utilization of the process = W0/Number of operators = ___

Variations and 'Parade of Trades'

© Dr. Ling Ma

2 hr

4 hr

3 hr

3 hr

Software simulation – the ‘Parade of Trades’

http://www.ce.berkeley.edu/~tommelein/parade.htm

A three-round experiment in which production rates vary.

The average production rate at each workstation will be 5 units/ round, but the actual instantaneous rate will depend on the throw of a dice.

Summary - Fundamental Concepts

© Dr. Ling Ma

Push Production vs. Pull Production

© Dr. Ling Ma

Minimum inventory - Just in Time (JIT)

Traditional Scheduling in Construction

© Dr. Ling Ma

As the Project Manager

  • I divide the project into activities, which are ordered according to technological constraints
  • The schedule is set according to the Critical Path (the longest path in a CPM network)
  • All the activities are scheduled for earliest possible start
  • I dictate and push the schedule to the trades and ensure they follow the schedule

Problems?

  • No input from the trades
  • Work conflict in the field
  • Costly delays and waste
  • Due-date driven

PUSH

Design Change?

PULL

Pull Scheduling in Construction

© Dr. Ling Ma

Pull scheduling meeting 

  • Planning backwards along the time
  • Each trade uses a distinct color
  • The post notes specify the duration and handoff of the activity

Pull Scheduling in Construction

© Dr. Ling Ma

Design

White paper and post notes

  • Reference to the design
  • Colored notes on white paper
  • Keep track of the constraints
  • Big room

White sheets

Planning backwards

Pull Scheduling in Construction

© Dr. Ling Ma

Scheduling Reliability

© Dr. Ling Ma

Scheduling Reliability

© Dr. Ling Ma

Variability in CPM

Variability in LBS

Variability in Production Line

0 F
9-12
0 A
10-13
C
6

Scheduling Reliability

© Dr. Ling Ma

  • Schedule is dynamic
  • Crash the system when an activity is not completed
  • Improving planning reliability can improve project performance

Good Schedule?

Construction Preconditions

© Dr. Ling Ma

Many more ...

Construction Preconditions Game

© Dr. Ling Ma

Build a 4-story concrete structure

  • Tie the rebar
  • Formwork
  • Pour the concrete

Preconditions (Roll the dice)

  • Drawing
  • Equipment
  • Material
  • Crew

Look Ahead Plan

© Dr. Ling Ma

  • Six week look ahead plan
  • Project manager, owner, subcontractors, key vendors, etc.
  • Resolve constraints

Last Planner System

© Dr. Ling Ma

Weekly Work Plan

© Dr. Ling Ma

Which one will you choose?

Weekly Work Plan

© Dr. Ling Ma

The "Physics" of Coordination

Last Planner System

© Dr. Ling Ma

Percentage of Plan Complete (PPC)

© Dr. Ling Ma

  • Percentage of Plan Complete or PPC is the number of actual completions divided by the number of assignments for a given week.
  • PPC assesses the extent to which the Last Planner was able to anticipate what work would get done in the upcoming week. It measures if WILL matches DID.
    • PPC thus reflects the reliability of planning system.
    • The higher PPC, the higher the planning reliability.
    • The higher PPC, the higher workflow predictability.

Percentage of Plan Complete (PPC)

© Dr. Ling Ma

When an assignment is not completed by the end of the plan week, the Last Planner must record the reasons for non-completion (RNC). Reasons for plan failure fall into categories pertaining to directives, prerequisite work, resources, and process or output failures.

Percentage of Plan Complete (PPC)

© Dr. Ling Ma

PPC Evolution

Record of PPC

Last Planner System

© Dr. Ling Ma

Summary - Scheduling Principles

© Dr. Ling Ma

  • Identify the critical path
    • Critical Path Method
      • Technological constraints
      • Network diagram
  • Reduce batch size and balance the production system
    • Location based scheduling
      • Treat the 'rapid' tasks and 'slow' tasks
      • Continuous workflow
      • Split workspace
  • Stabilize the environment and reduce the uncertainty
    • Last planner system (Should -> Can -> Will -> Did)
      • Pull scheduling (reduce WIP)
      • Look ahead plan
      • Weekly work plan
      • Percentage of plan complete (PPC)

Planning and Control of Construction Projects

Design Management

© Dr. Ling Ma

Dr. Ling Ma

National Building Research Institute

Technion - Faculty of Civil and Environmental Engineering

 Contents - Day 1

  • Building programming content
  • Conceptual design (Expo 2020)
  • Detail design (clinic example)
  • Impact of product information on construction process

© Dr. Ling Ma

Programing Content

© Dr. Ling Ma

Conceptual Design Example

© Dr. Ling Ma

  • Primary objectives
  • Visions
  • Principles

Design Content

Building Composition Spaces

Functional Spaces

© Dr. Ling Ma

Programming and Design - Clinic Example

© Dr. Ling Ma

Detail Design - Clinic Example

© Dr. Ling Ma

Detail Design - Clinic Example

Example project - Structural Engineering from National Institute of Building Sciences

© Dr. Ling Ma

Detail Design - Clinic Example

Example project - Mechanical Engineering from National Institute of Building Sciences

© Dr. Ling Ma

Detail Design - Clinic Example

Example project - Electrical Engineering from National Institute of Building Sciences

© Dr. Ling Ma

Detail Design - Clinic Example

© Dr. Ling Ma

Detail Design - Clinic Example

© Dr. Ling Ma

Design Process

© Dr. Ling Ma

Chracteristics of Design

© Dr. Ling Ma

  • Programming guides the design
  • Design is a complex process to fulfill the client's requirements and resolve the conflict
  • Collaboration is highly required in design process
  • Impact of production information on construction process?

Technion LEAPCON™ Game

© Dr. Ling Ma

Technion LEAPCON™ Game

© Dr. Ling Ma

  • The goal of the general contractor is to earn as much as possible. $1,500 will be paid for each complete apartment delivered, but $1,000 will be charged for all apartments whose construction has begun. Project manager designate appropriate subcontractors to work on standard design or changed design. Quality controller ensure the the work is completed correctly
  • The goal for each of the subcontractors is to complete as many products of their kind as possible in the time allotted for play. Only one subcontractor may be present on any floor of the building at any one time. No work may be done on any apartment on a floor until the preceding subcontractor has completed.
  • The options selector will select design changes, at random, for random apartments (one each) and will provide them to the project manager. The first design change order will be delivered after the first minute of play, after which an additional design change order will be delivered every 15 seconds. Only the appropriate subcontractor is permitted to perform the required change.
  • The receiver will only accept complete floors (of four apartments) after he conform the blocks are built correctly according to the standard design or new design (if design change is triggered). 
  • If a design change order is delivered after the relevant apartment has been formally accepted, the change order has arrived too late and the apartment should not be changed
  • General Contractor
    • Project manager
    • Quality controller
  • Owner's Representatives
    • Options selector
    • Receiver
  • Subcontractors
    • Flooring subcontractor
    • Partition subcontractor
    • HVAC duct subcontractor
    • Ceiling subcontractor

Technion LEAPCON™ Game Timer

© Dr. Ling Ma

Technion LEAPCON™ Game

© Dr. Ling Ma

Design Change Effect

© Dr. Ling Ma

Building Information Modeling

© Dr. Ling Ma

Meet the Requirements in Program 

Energy analysis

Structural analysis

© Dr. Ling Ma

Design Process Characteristics

  • Information intensive
  • Unique projects
  • Changing teams, multiple independent designers
  • Iterations (loops) are an inherent and essential feature 
  • Very long cycle times

© Dr. Ling Ma

IDEF0 Model

Design Iterations

Iteration in Design

  • Iteration in design is essential and inevitable
    • Designers from multiple professions need an artifact for their collaboration.
    • A designer must set parameter values in a system of interdependent parameters.
    • A decision about any one parameter allows evaluation of other parameters and consideration of the design performance and constraints.
    • When constraints are violated, the designer returns to the beginning, but with new knowledge.
  • Iteration is negative when it does not converge to a solution that satisfies all constraints.

© Dr. Ling Ma

An Example of Negative Iteration in Design

Constraint-Based Support for Collaboration in Design and Construction Lottaz, C., Clément, D., Faltings, B., and Smith, I. Journal of Computing in Civil Engineering 1999 13:1, 23-35

© Dr. Ling Ma

Example: designing a hole for HVAC ducts in a steel beam

a: chord height above hole

b: intermediary value

d: hole diameter

e: center-to-center hole spacing

L: beam span

nd: number of ducts

t: flange thickness

x: distance from support to first hole

Bv: floor volume

h: total beam height

x>=1.5d

Minimum Iteration

Constraint-Based Support for Collaboration in Design and Construction Lottaz, C., Clément, D., Faltings, B., and Smith, I. Journal of Computing in Civil Engineering 1999 13:1, 23-35

© Dr. Ling Ma

  • 'Strong' links & 'Weak' links
  • Better negotiation plan
  • Fix 'hot' variables first
  • Independent subsequent variables

Design Planning

  • Repetitive tasks that have closed cycles
  • Technical relationships are not known in advance
  • No modeling of decision nodes or critical path
  • Difficulty of modeling leads to difficulty in controlling
  • Network method is not applicable

© Dr. Ling Ma

Design Structure Matrix (DSM)

© Dr. Ling Ma

  • Who supplies the information (left column)
  • Who requires the information (top row)
  • Design change propagation
  • Better workflow
    • Work sequence
    • Clear information flow

Arrows represent 

data dependencies

DSM Algorithm

© Dr. Ling Ma

DSM Result

© Dr. Ling Ma

Rearrange the design process to minimize the impact of repetitive process

DSM Another Example

© Dr. Ling Ma

Summary

  • Information flows in the design process are complex and repetitive
  • Repetition can add value or lead to waste
  • There are tools for planning and control of the design process, e.g. DSM
  • Information management is essential to the design process productivity
  • Design change has very negative effects on construction

© Dr. Ling Ma

Technion LEAPCON™ Game

© Dr. Ling Ma

  • 16 apartments in 4 floors 
  • Only one subcontractor may be present on any floor of the building at any one time, and he needs to follow the project manager's order of work. Only the appropriate subcontractor is permitted to perform the required change.
  • Quality controller ensures the work is done correctly.
  • The option selector selects the design change. First design change will be delivered after 30 seconds of play, after which an additional design change order will be delivered every 15 seconds
  • The receiver will write down the design change order and dictate to GC without taking the cards from the owner. If a design change order is delivered after the relevant apartment has been formally accepted, the change order has arrived too late and the apartment should not be changed. The receiver will only accept complete floors (of four apartments) after he conform the blocks are built correctly. But, the receiver will write the time when each apartment is completed. 
  • The goal of the Project Manager is to earn as much as possible in 6 mins. $1,500 will be paid for each complete apartment delivered, but $1,000 will be charged for all apartments whose construction has begun. 
  • General Contractor
    • Project manager
    • Quality controller
  • Owner's Representatives
    • Options selector
    • Receiver
  • Subcontractors
    • Flooring subcontractor
    • Partition subcontractor
    • HVAC duct subcontractor
    • Ceiling subcontractor

Technion LEAPCON™ Game

© Dr. Ling Ma

Technion LEAPCON™ Game Timer

© Dr. Ling Ma

Planning and Control of Construction Projects

Cost Estimate

© Dr. Ling Ma

Dr. Ling Ma

National Building Research Institute

Technion - Faculty of Civil and Environmental Engineering

Cost Estimate in Project Management

© Dr. Ling Ma

Client's Perspective

Contractor's Perspective

DBB

Cost Estimation

Levels of Development

Level of Development (LOD)

© Dr. Ling Ma

UK - Construction Industry Council (CIC) BIM Protocol

Schematic Design

(SD)

Design Development

(DD)

Construction Document

(CD)

Facility Management

(FM)

The LOD of the estimate is highly related with LOD of design.

Initial Estimate

© Dr. Ling Ma

  • Compare previous price
    • Price list of local construction market
    • Owner's database
  • Calculate the measures
    • Quantity survey
  • Correction
    • Interpolation
    • Site location
    • Economic conditions 

3 NIS

Initial Estimate

© Dr. Ling Ma

  • Total floor area (gross area) = 30+50
  • Building area = 50
  • Site area (plot/land area) = 100
  • Building coverage ratio = 50/100
  • Floor coverage ratio = 80/100

Single price rate method

Basic Measures

Design and Cost

© Dr. Ling Ma

  • Plan shape
  • Height and number of storeys
  • Orientation and footprint
  • Choice of elements/materials

Area-perimeter ratio?

The design of a building can have a major impact on costs.

The amount of external envelope is important as it is one of the cost significant groups of elements, containing external walls and fenestration.

Design and Cost

© Dr. Ling Ma

The design of a building can have a major impact on costs.

  • Height and number of storeys
    • Single-storey structures are comparatively expensive, as the substructure required for a two or three-storey structure is often only marginally bigger than for a single storey
    • Buildings with more than three storeys will require a lift installation
    • Generally, multi-storey buildings require a large substructure - pile foundation
    • Tall buildings require areas devoted to circulation space such as lifts, escape staircases, service floors and plant rooms. These areas have to be deducted from the gross floor area
    • Maintenance costs will be greater for high rise buildings Fire protection will be at a high level.

Design and Cost

© Dr. Ling Ma

The design of a building can have a major impact on costs.

  • Orientation and footprint​
  • Choice of elements/materials
    • Initial, running and maintenance costs, as well as adaptation and disposal cost

Price Levels Adjustment in Cost Estimate

© Dr. Ling Ma

Measures of changes in items such as location, building costs or  tender prices are performed using index numbers. Index numbers are a means of expressing data relative to a base year.

  • Location indices
    • Location factor of Tel-aviv = 1
    • Location factor of Haifa = 0.8
  • Building cost indices
    • Building cost index January 2005 = 100
    • Building cost index January 2009 = 135
  • Tender price indices
    • Adjustment for potential increases in cost between the date of the preparation of the cost plan and the actual date the project goes to tender (fluctuation in the tender market)

Example

© Dr. Ling Ma

Cost adjustment

© Dr. Ling Ma

Tender Estimate - Bill of Quantities

© Dr. Ling Ma

  • Standard libraries of a government office/public client

  • Libraries of construction companies

  • Drafting a new line item

Define the line items

Construction Specifications Institute (CSI) - UniFormat

© Dr. Ling Ma

LOD200

LOD300

LOD350

LOD400

Steel Framing Column

Generic column element

  • Sizes
  • Materials
  • Painted
  • Connections
  • Steel member
  • Reinforcement
  • Welds
  • Cap plate
  • Assembly
  • Sizes
  • Materials
  • Painted
  • Bond Beam
  • Member
  • Jamb region
  • Jamb
  • Reinforcing
  • Lintels
  • Fabrications

Generic wall element

Masonry Framing

  • Detailed calculation
    • Material
    • Manpower
  • Sub's price + GC's fee

Calculate unit price

Tender Estimate - Bill of Quantities

LOD - American Institute of Architects (AIA)

Tender Estimate - Bill of Quantities

© Dr. Ling Ma

  • Quantity type
  • Measures

Calculate quantities

© Dr. Ling Ma

Line Item - Example

Line Item - Excercise

© Dr. Ling Ma

  • Labour
    • Work hours per unit
  • Materials
    • Waste
  • Formwork 
    • Area

Direct Cost

© Dr. Ling Ma

Amount of resource consumption units type j needed to produce one unit of product i

Cost of resource consumption unit j

Direct cost of all resource consumption units needed to produce one unit of product i

Total direct cost needed produce all quantity of product “i”

Direct cost of all project items

Resource Consumption 

Products

Production Process

Work items in bill of quantities

i1,i2,i3,i4,i5

Flowchart - Contractor's Calculation

© Dr. Ling Ma

Cost Breakdown

© Dr. Ling Ma

Cost Breakdown

© Dr. Ling Ma

Cost Breakdown

© Dr. Ling Ma

Cost Breakdown

© Dr. Ling Ma

Bid Price

 

© Dr. Ling Ma

Cost Distribution

© Dr. Ling Ma

Even distribution: multiplying each  price by same loading factor.

Distribution by items: multiplying all item prices  in each chapter by a consistent factor for chapter. (Why do this?) Total cost of the project should be maintained.
Distribution by resource consumption : addition to each item price according to the weight of the resource consumption at the item price. Total cost of the project should be maintained.

Distribution by sections: multiplying each item price by a separate factor . Total cost of the project should be maintained.

Cost Distribution

© Dr. Ling Ma

Cost Distribution

© Dr. Ling Ma

Tender vs Bill

© Dr. Ling Ma

Summary

© Dr. Ling Ma

  • Cost estimate at different stage of a project's life-cycle
    • Estimator
    • LOD
  • Initial estimate
    • Comparing with previous price
    • Single price rate
    • Square foot model
  • Tender estimate
    • Line items
    • LOD
    • Quantity takeoff
    • Cost distribution

© Dr. Ling Ma

Budget 

  • The Budget details allocation of resources to the project.
    • Client budget is based on estimate and contract
    • Contractor's construction budget based on costs calculation
  • The budget is divided into items of different levels of detail
  • Planning the total cost.
  • Maintaining the outcome frame.
  • The budget provides the basis for project control.
    • Preparing means of funding.
    • Planning cash flow and project construction process (money is a resource)

© Dr. Ling Ma

Budget Preparation

Schedule Baseline

Based on the Project Scope, the work activities in the WBS are scheduled to establish the Schedule Baseline

© Dr. Ling Ma

Budget Preparation

Cost Baseline

Based on the Project Scope and available resources, the project cost is allocated across the scheduled activities

© Dr. Ling Ma

Budget Preparation

Budget (Integrated) Baseline

The project budget is allocated across the scheduled activities and across time. The time phased allocation of resources.

© Dr. Ling Ma

Example Project

Specific for Building Projects of ACME House Corporation

© Dr. Ling Ma

Cost Estimate

Direct Costs – Costs applicable to, and identified specifically with, the program contract Statement of Work.

Example of Indirect Costs:   Overhead, General & Administrative (G&A), Cost of Money (COM),etc.

Indirect Costs – Charges that cannot be consistently or economically identified against a specific contract.  These are typically calculated by applying rates and factors to the cost base.

Examples of Direct Costs:  Labor, Equipment, Material, etc.

© Dr. Ling Ma

Cost Proposal

Total Proposed Price $231,894

© Dr. Ling Ma

Cost Proposal Negotiations

The proposed price is $231,894; however, the buyer of the house can only afford to pay $220,000.  The ACME house builder has agreed to build the ACME house for $219,999, but some revisions had to be made to the plans to utilize less expensive materials.

Total Negotiated Price

$219,999

© Dr. Ling Ma

The Budgeting Process

The Negotiated Total Cost, without Profit/Fee, for the House equals $183,852. This will be the basis for developing the Contract Budget Baseline (CBB).

© Dr. Ling Ma

The Budgeting Process

Program Manager establishes a Management Reserve (MR) prior to distributing budgets to the performing organizations. The purpose of MR is to have a budget for the Program Manager to allocate for unforeseen problems. MR is held at the program level. Transactions into and out of MR are approved by the Program Manager.

In the case of this House, MR amount equal to 10% of the Contract Budget Base.

Undistributed budget (UB) applies to contractually authorized efforts not yet allocated to WBS elements. The UB consists of a budget for authorized changes for which there has not been adequate time to plan the change at the control account level.  Undistributed budget is an element of the Performance Measurement Baseline, but it is not time-phased.  

© Dr. Ling Ma

The Budgeting Process

Now that the Management Reserve has been established by the Program Manager, target budgets are developed and distributed to the Control Account Managers. 

Establishing the target budgets will often be accomplished through a joint effort by the Program Manager, Team Leaders, and the Control Account Managers.

© Dr. Ling Ma

The Budgeting Process

Distributed Budget

$165,467

Control Account Level

For monitoring the cost and schedule performance of a significant element of the work.  

Detailed Budgeting Level

Once the budgets have been allocated to the Control Accounts, the Control Account budgets are further subdivided into work packages and planning packages.

© Dr. Ling Ma

The Budgeting Process

The time-phased budget for the project

© Dr. Ling Ma

Detailed Budget Preparation

Concrete budget

for March

© Dr. Ling Ma

Direct Project Cost

  • Amount of resource consumption units type “j” needed to produce one unit of product “i”

This beam needs 3 m3 concrete

  • Cost of resource consumption unit “j”

Concrete price

  • Direct cost of all resource consumption units needed to produce one unit of product “i”

Unit price of this type of beam

  • Total direct cost needed to produce the whole quantity of product “i”

Cost of all the beams of this type

  • Total direct cost of all project items

© Dr. Ling Ma

Budget Preparation

  • Time interval (a day).
  • Total amount of product ”i“ produced by Pk  activities along time
  • Total amount of product ”i“ produced by all the activities per day
  • Direct cost of all resource consumption “j” needed to produce one unit of product “i”

Direct cost of all the concrete needed to produce one unit of 20/40 columns.

Task ‘floor A structure’ being done at week 9.

Every day some amount of 20/40 columns is produced.

Total amount of 20/40 columns produced by ‘floor A structure’, ‘floor B structure’, etc. per day

  • Total direct cost of the project

© Dr. Ling Ma

Budget Preparation

  • Total budget of ready-mix concrete at week 9 composed of the cost of all concrete amount at that week being consumed at ‘foundations asks and ‘floor A structure’ for ‘foundations 60/80 and 20/40 columns

  • Total budget for week 9 composed from all resource consumption budgets: concrete, reinforcement, workers, pump for that week

  • Project total cost = Total budget over the construction period

© Dr. Ling Ma

Indirect cost:

Site overhead & Company overheads: static budgeting, usually uniformly distributed. For example, “communication costs” same budget every month.

Allocate Direct Costs to Activities:

Depends on how the expense is generated:

  • Labor consumption,  equipment – uniform over time.

  • Materials: expense at the beginning of the task, uniform or at the end.

  • Subcontracting - some in advance, some ongoing, some at the end.

Budget Distribution

© Dr. Ling Ma

Goal: to know the cost of the project from existing data

What data changes during the project?

  • Quantities
  • Prices

Budget Update

The “living budget” principle

  • Raising the level of budget certainty as a function of project progress

Updated budget = work done so far + remaining budget

Remaining budget update:

  • Update quantities
  • Update prices
  • Update resource consumption

Baseline budget

  • Will always show the initial data on which the tender was submitted or  on which the construction was planned 

© Dr. Ling Ma

Cost Flow

© Dr. Ling Ma

  • The flow of money from the owner to the contractor is in the form of progress payments.

  • Because of the delay in payment of billings by the owner and the Retainage withheld, the revenue profile lags behind the cost flow S-curve

Income Flow

Retainage or Retention

  • A percentage of the payment to the contractor that is withheld each month
  • Usually is 10%
  • Owner may reduce below 10% after SUBSTANTIAL COMPLETION
  • Paid by owner to contractor after FINAL COMPLETION of the project
  • Serves as an incentive for contractor to complete ALL work per contract

© Dr. Ling Ma

Income Flow

© Dr. Ling Ma

Retainage

© Dr. Ling Ma

Summary

  • Purpose: avoid overrun and ensure profit
  • Time-phased
  • Multiple dimensions
  • Requires continuous update
  • Relation with cash flow planning

Planning and Control of Construction Projects

Monitoring & Control

© Dr. Ling Ma

Dr. Ling Ma

BSCPM

© Dr. Ling Ma

Why & What to Control

Why?

  • Detecting and correcting irregularities during construction
  • Identifying successes and failure during construction, in order to allow organizational 'learning'

What?

  • Duration

  • Cost

  • Quality

  • Safety.

© Dr. Ling Ma

How to Control

© Dr. Ling Ma

How to Control

Duration Cost
Basis (desired) Schedule Budget
Measure (reality) PPC Actual cost
Quality Safety
Basis (desired) Plans and technical specifications
Safety procedures
Measure (reality) Physical condition and function
Accidents

A Good Basis for Schedule Control?

© Dr. Ling Ma

Graphics by exigo

Revisit the CPM

© Dr. Ling Ma

Graphics by exigo

Revisit the CPM

© Dr. Ling Ma

Graphics by exigo

Comparing LBS and CPM

© Dr. Ling Ma

Graphics by exigo

LBS & Production System

© Dr. Ling Ma

Graphics by exigo

Comparing LBS and CPM

© Dr. Ling Ma

Graphics by exigo

  • A clearer project overview
  • Continuous optimized workflow

Comparing CPM and LOB

© Dr. Ling Ma

1 task in flow line = 8 tasks in Gantt chart

Production Control

© Dr. Ling Ma

"Last Planner"™ is the name for the LCI's system of production control. Production control governs execution of plans and extends throughout a project. "Control" first of all means causing a desired future rather than identifying variances between plan and actual.

 

Production control consists of work flow control and production unit control. Work flow control is accomplished primarily through the lookahead process. Production unit control is accomplished primarily through weekly work planning.

 

LCI - Lean Construction Institute

Production Control

© Dr. Ling Ma

Master Schedules are prepared in front end planning, which belongs to the project definition and design phase. Master schedules serve specific purposes; e.g., demonstrating the feasibility of project completion by target end date. Those purposes do not require a high level of detail, which most often is inappropriate because of uncertainty regarding the future. Master schedules are expressed at the level of milestones, typically by phase.

Phase schedules are produced by cross functional teams using pull techniques near in time to the scheduled start of the phase. Phase schedules feed into lookahead windows, usually 3 to 12 weeks in duration. Lookahead processes make scheduled tasks ready for assignment. Such tasks are placed in Workable Backlog.

Production Control

© Dr. Ling Ma

Tasks are allowed to maintain their scheduled starts only if the planner is confident they can be made ready in time. Scheduled tasks are made ready by screening for constraints, then by assigning make-ready actions to remove those constraints. The lookahead process generates early warning of problems so there is more time to resolve them.

Weekly work plans are formed by selection of tasks from Workable Backlog. Every effort is made to to make only quality assignments; i.e., those that are well defined, sound, in the proper sequence, and sized to capacity.

The percentage of planned assignments completed (PPC) is tracked and reasons for non-completions are identified and analyzed to root causes. Action is taken on root causes to prevent repetition.

Measure and Control

© Dr. Ling Ma

Weekly Work Planning

© Dr. Ling Ma

  • Meetings on the “production floor
  • Run by the work supervisor
  • Visual aids to control and manage: project state is clear to all
  • Closer relationships with subcontractors and suppliers
    • Active participants in every meeting
    • Partners in creating the plan
    • Responsible for each other
  • New working culture
  • Schedule tasks at the last responsible moment to enable flow and early finish

  • Steady work rate for each subcontractor and allocation of  resources to ensure it

  • Collaboration with the subcontractors in planning

  • Moving to Location Based Scheduling

Discussion

© Dr. Ling Ma

  • Who are the right employees to be the ‘Last Planner’?

  • What, in your opinion, are the effects of using the PPC, including publicizing the PPC ?

  • Traditional management methods in design and construction divide the project and ignore the production process aspects.

  • What are the units of production in construction projects?

  • There is waste in construction (the ‘fat’): therefore, using appropriate (lean) management – with no addition of production capacity or materials – one can reduce costs and durations. True or false ?

© Dr. Ling Ma

A Good Basis for Cost Control ?

Apartment, 1-3 Story Construction Cost Assumptions
Location: US National Average
Stories: 3
Story Height (L.F.): 10.00
Floor Area (S.F.): 22500
Basement Included: No
Data Release: Year 2013
Cost Per SF: $$113.96
Total Cost: $2,564,000

© Dr. Ling Ma

A Good Basis for Cost Control ?

Chapter Description Unit Quantity Price [NIS]
10.01.020 Flooring with white marble tiles 30/60 cm, including the initial filling of the base with gravel of depth 10 cm m2 2,880
Resource Code Resource Description Unit Cost [NIS] Notes
10 Gravel m3 100 Waste factor of 8%
20 White marble tiles of size 30/60 cm m2 200 Waste factor of 3%
30 Flooring crew day 2,000 300m2/day
40 Gravel pump m3 30

© Dr. Ling Ma

Budget and Cash Flow

© Dr. Ling Ma

Retension

© Dr. Ling Ma

A Good Basis for Cost Control

This beam needs 3 m3 concrete

Concrete price

Static budget

Every day some amount of 20/40 columns is produced in Task ‘floor A structure’

Time phased budget

Budget of ready-mix concrete at week 9:

Direct cost of all the concrete needed to produce one unit of 20/40 columns.

© Dr. Ling Ma

Traditional Management

In Traditional management, there are two data sources:

 

But how much work has been produced?

This approach does not indicate:

  • What has actually been produced for the amount of money spent
  • Whether it is being produced at the rate, or according to the schedule, originally planned.

© Dr. Ling Ma

Earned Value Management

Earned Value takes three data sources and is able to compare the budgeted value of work scheduled and compare it to the “earned value of physical work completed” and the actual value of work completed.

  • The budget (or planned) value of work scheduled (PV)
    • The budgeted amount through the current reporting period
  • The actual value of work completed (AC)
    • Actual costs to date
  • The “earned value” of the physical work completed (EV)
    • Total project budget multiplied by the % complete of the project.
    • If the PV is $1,000 and the project is actually 20% complete: 

      EV = PV x % = 1,000 x 20/100 = $200

© Dr. Ling Ma

Earned Value Management

By comparing the budget line (in red) to the earned value line (in black), the project is producing more than it was budgeted to produce to date.

By comparing the actual expenditures (in blue) to the earned value line (in black), the project is spending more then it was budget to date.

© Dr. Ling Ma

Earned Value Management

Schedule Variance - the project is experiencing a schedule variance of 15. This is derived from comparing the Earned (45) to the Budget (30). SV=EV-PV

Cost Variance - the project is experiencing a cost variance of -15. This is derived from comparing the Earned (45) to the Actual expenditures (60). CV=EV-AC

© Dr. Ling Ma

Earned Value Management

Schedule Variance - the project is ahead/behind of schedule in comparison to what was supposed to be done in the frame time measured.

Cost Variance - the project is saving/overrunning budget. Notice: overruns in cost do not correct themselves and need management intervention

Along with the schedule and cost results discussed, earned value management enables you to forecast the final results of the project (blue dashed line).

© Dr. Ling Ma

EVM - More Measures

Cost Performance Index (CPI) = EV/AC

CPI measures the value of work completed against the actual cost. A CPI value < 1.0 indicates that costs were higher than budgeted. CPI > 1.0 indicates that costs were less than budgeted.

Schedule Performance Index (SPI) = EV/PV

SPI measures progress achieved against progress planned. An SPI value < 1.0 indicates less work was completed than was planned. SPI > 1.0 indicates that more work was completed than was planned.

For both SPI and CPI, >1 is good and <1 is bad.

Estimated at Completion (EAC) = (Total Project Budget) / CPI

EAC is a forecast of how much the total project will cost.

© Dr. Ling Ma

Earned Value

PV EV AC
Foundation $15,394 $15,394 $15,850
Patio $8,166 $8,166 $7,200
Exterior Walls $8,748 $6,608 $6,250
Stairway $5,961 $2,981 $3,100
Project Total $38,269 $33,149 $32,400

What does this tell you?

  • Cost Variance (CV)
  • Schedule Variance(SV)
  • Cost Performance Index (CPI)
  • Schedule Performance Index (SPI)

© Dr. Ling Ma

Earned Value Management

Earned Value Management (EVM) is a systematic approach to the integration and measurement of cost, schedule, and technical (scope) accomplishments on a project or task

Traditional management provides you with…

How much money and time a particular job is likely to require prior to starting and once stated, how much money was spent at any given time.

Earned Value Management additionally provides you with…

Once started, what work has been accomplished to date for the funds expended (what you got for what you spent)

Once started, what the total job will cost at completion, and how long it will take to complete

© Dr. Ling Ma

Summary - Control Principles

  1. Planning (desired)
    • Lookahead & Weekly Work Plan
    • Detailed Cost Estimate & Budget
  2. Construction
  3. Measurement (in reality)
    • Plan Percent Complete
    • Cashflow & Earned Value
  4. Results analysis
    • Risk analysis
    • SPI, CPI and EAC
  5. Decision making
    • Is there a need to assign additional resources/work hours?

    • Is there a need to change construction methods or the resource assignments?

  6. Corrective action when necessary
    • Update task data, resources and allocations
    • Set a new planned state (baseline)
    • And back to construction……

Good Luck!

© Dr. Ling Ma

Final Exam:

10/7/2016

9:00AM-12:00AM

Robin:404+405

Copy of Planning and Control of Construction Projects

By Ling Ma (Lorin)

Copy of Planning and Control of Construction Projects

  • 1,373