Everything is Quantum Channel
sections 4.5 and 4.6
Ludmila Botelho
Before we start...
$$\rho_A \longmapsto \rho_B=\sum_i E_i \rho E_i^{\dagger}$$
Kraus representation
$$\sum_i E_i E_i^{\dagger} = \mathbb{I}_A$$
-
Noisy Evolution as the Loss of a Measurement Outcome



Kraus Operators!
\(=\mathcal{N}(\rho)\)
Interpretation of quantum channels


Environment

System

Unitary Operator

-
Noisy Evolution from a Unitary Interaction

-
Noisy Evolution from a Unitary Interaction
Interpretation of quantum channels



-
Noisy Evolution from a Unitary Interaction
Interpretation of quantum channels

Preparation Channel
Everything is a quantum channel




Kraus operators:


Kraus operators:
-
Appending Channel
Preparation Channel
parallel concatenation
-
Trace-out
Everything is a quantum channel
-
Discarding Channel




Kraus operators:
Kraus operators:


-
Unitary and Isometric Channels
Everything is a quantum channel





-
Unitary and Isometric Channels
Everything is a quantum channel




-
Reversing Unitary channel
Everything is a quantum channel

-
Reversing isometric channel



Everything is a quantum channel
-
Reversing isometric channel


Completely positive and trace preserving
Everything is a quantum channel



Everything is a quantum channel
-
Classical-to-Classical Channels

$$\rho$$
Krauss Operators
Everything is a quantum channel
-
Classical-to-Classical Channels



Everything is a quantum channel
-
Classical-to-Quantum Channels





preparation + trace-out?
Everything is a quantum channel
-
Quantum-to-classical Channels



Klaus operators?

(measurement channel)
Everything is a quantum channel
-
Quantum-to-classical Channels




Completeness?
Everything is a quantum channel
-
Entanglement-Breaking Channels


Everything is a quantum channel
-
Entanglement-Breaking Channels


Completeness?



Proof of "if" part
Everything is a quantum channel
-
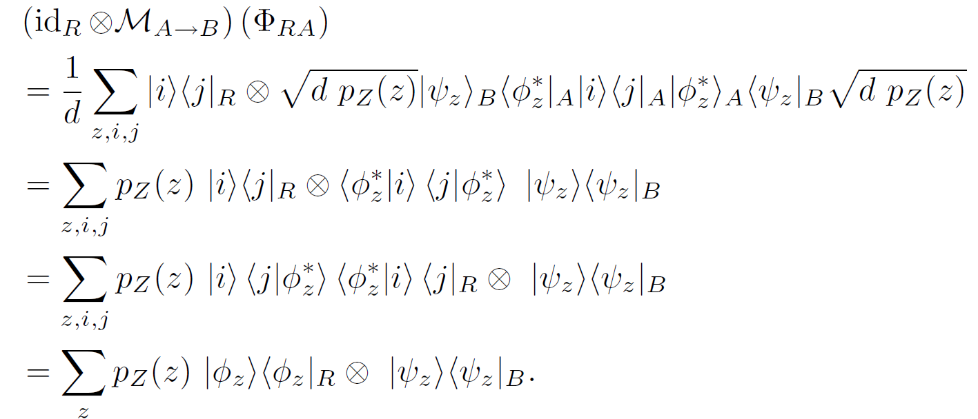
Entanglement-Breaking Channels
Proof of "only if" part


unit-rank

Completeness?


Everything is a quantum channel
-
Entanglement-Breaking Channels



Everything is a quantum channel
-
Entanglement-Breaking Channels




Everything is a quantum channel
-
Quantum Instruments

Everything is a quantum channel
-
Quantum Instruments


Everything is a quantum channel
-
Quantum Instruments





Everything is a quantum channel
-
Quantum Instruments








independent!
Thank you!
Dziękuję!
Obrigada!
धन्यवाद!
Teşekkür ederim!
Quantum Channels
By ludmilaasb
Quantum Channels
- 788