Miary nierówności
Miary nierówności - oznaczenia

Miary nierówności - oznaczenia

Miary nierówności
- Wskaźnik względnej nierówności [PD; relative deviation]
- Wskaźnik bezwzględnego odchylenia od normy reprezentacji [AD; Absolute deviation]
- Współczynnik maksymalnej względnej różnicy w sile głosu [VER; Voter equivalency ratio]
- Współczynnik maksymalnego odchylenia populacji [TPD; total population deviation, maximum population deviation]
Miary nierówności
- Indeks potencjalnej kontroli (TCI; theoretical control index, występujący również jako „electoral percentage” oraz „minimum population share”)
- Indeks nierówności Loosemore’a-Hanby’ego [LHI; Loosemore-Hanby index]
Miary nierówności
- Indeks potencjalnej kontroli (TCI; theoretical control index, występujący również jako „electoral percentage” oraz „minimum population share”)
- Indeks nierówności Loosemore’a-Hanby’ego [LHI; Loosemore-Hanby index]
Wskaźnik względnej nierówności [PD]
Wartość współczynnika równa 1 oznacza zachowanie w okręgu idealnej normy reprezentacji. Wartości niższe oznaczają mniejszą liczbę mieszkańców, zatem wyższą siłę głosu względem stanu idealnej równości, zaś wyższe od 1 – większą liczbę mieszkańców i niższą siłę głosu.

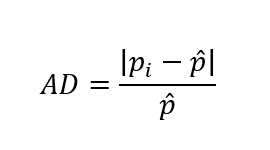
Wskaźnik bezwzględnego odchylenia od normy reprezentacji [AD]
Wartość współczynnika równa 0 oznacza zachowanie w okręgu normy reprezentacji. Wyższa wartość współczynnika oznacza większy stopień odstępstwa w okręgu od normy reprezentacji.

Współczynnik maksymalnej względnej różnicy w sile głosu [VER]
Wartość współczynnika równa 1 oznacza zachowanie idealnej równości we wszystkich okręgach (siła głosu jest równa we wszystkich okręgach). Im wyższa wartość współczynnika, tym większa jest różnica między głosami najsłabszymi a najsilniejszymi.

Współczynnik maksymalnego odchylenia populacji [TPD]
Wartość współczynnika równa 0 oznacza zachowanie normy reprezentacji. Wyższa wartość współczynnika oznacza większy stopień nierówności między okręgami o najniższej i najwyższej sile głosu.

Indeks potencjalnej kontroli [TCI]
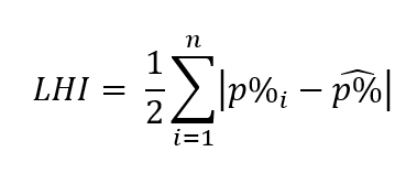
Gdzie sort(d) oznacza uporządkowanie zbioru okręgów niemalejąco pod względem liczby mieszkańców zaś p%i oznacza udział procentowy mieszkańców w okręgu i w ogólnym zbiorze mieszkańców

Indeks potencjalnej kontroli [TCI]
W przeciwieństwie do wcześniej wskazanych współczynników, TCI odnosi się do ogółu okręgów, nie ograniczając się do dwóch skrajnych. Wartość TCI równa 0,5 oznacza, że populacja okręgów pozwalających na uzyskanie większości wynosi 50% ogółu. Słabością tej formy indeksu jest fakt, że większość bezwzględna jest zróżnicowana w zależności od liczby mandatów, przy czym znaczenie ma dodatkowo fakt, czy ogólna liczba mandatów jest liczbą parzystą czy nieparzystą (np. zarówno w organach z liczbą mandatów S=14 oraz S=15 bezwzględną większość daje dopiero uzyskanie 8 mandatów). Indeks ten można poddać modyfikacji, pozwalającej na usunięcie tego mankamentu:
Indeks potencjalnej kontroli [TCI]
Gdzie ATCI oznacza Dostosowany indeks potencjalnej kontroli (Adjusted theoretical control index).
Wartość współczynnika równa 1 (lub 100%) oznacza zachowanie idealnej równości. Im niższa wartość tym większy poziom nierówności (uzyskanie większości mandatów wymaga proporcjonalnie mniejszej populacji niż wynikałoby to z zasady równości). Czysto teoretyczna wartość ATCI=0 oznaczałaby, że okręgi w liczbie pozwalającej na uzyskanie większości bezwzględnej są pozbawione populacji.

Indeks nierówności Loosemore’a-Hanby’ego [LHI]
Indeks ten przyjmuje wartości od 0 do 1.
Wartość indeksu równa 0 oznacza zachowanie idealnej równości. Im wyższa wartość tym poziom nierówności wyższy.

deck
By Maciej Onasz
deck
- 233